Студопедия

Главная страница Случайная страница

КАТЕГОРИИ:

АвтомобилиАстрономияБиологияГеографияДом и садДругие языкиДругоеИнформатикаИсторияКультураЛитератураЛогикаМатематикаМедицинаМеталлургияМеханикаОбразованиеОхрана трудаПедагогикаПолитикаПравоПсихологияРелигияРиторикаСоциологияСпортСтроительствоТехнологияТуризмФизикаФилософияФинансыХимияЧерчениеЭкологияЭкономикаЭлектроника






Если поверхность жидкости не плоская, то стремление ее к сокращению приведет к дополнению давления по отношении к плоской жидкости.






В случае выпуклой поверхности это давление положительно, в случае вогнутой - отрицательно.

Вычислим для сферической поверхности жидкости.

Из- за поверхностного натяжения оба полушария притягиваются.

Эти силы прижимают оба полушария по поверхности, и они обуславливают дополнительное давление:

Кривизна поверхности:

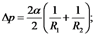
В геометрии доказано, что полусумма обратных радиусов кривизны любой пары взаимно перпендикулярных сечений имеет одно и тоже значение Н:

Для сферы: R1=R2=R:

Лаплас доказал, что формулы справедливы для поверхности любой формы, если под Н подразумевается средняя кривизна поверхности в той точке, под которой определяется дополнительное давление.

Средняя кривизна

Формула Лапласа

Добавочное давление изменяет уровень жидкости в узких трубках (капиллярах), которое иногда называют капиллярное давление.


Поделиться с друзьями:

mylektsii.su - Мои Лекции - 2015-2026 год. (1.295 сек.)Все материалы представленные на сайте исключительно с целью ознакомления читателями и не преследуют коммерческих целей или нарушение авторских прав Пожаловаться на материал