Студопедия

Главная страница Случайная страница

КАТЕГОРИИ:

АвтомобилиАстрономияБиологияГеографияДом и садДругие языкиДругоеИнформатикаИсторияКультураЛитератураЛогикаМатематикаМедицинаМеталлургияМеханикаОбразованиеОхрана трудаПедагогикаПолитикаПравоПсихологияРелигияРиторикаСоциологияСпортСтроительствоТехнологияТуризмФизикаФилософияФинансыХимияЧерчениеЭкологияЭкономикаЭлектроника






Работа 8.






Дисперсия оптического вращения в холестерических кристаллах.

 

Для холестерической фазы характерно спиральное упорядочение с шагом спирали Р. Наличие винтовой оси симметрии обуславливает высокую оптическую активность холестерика. Оптическая активность заключается в повороте плоскости поляризации, проходящего через образец света на угол φ. Вращательная способность вещества определяются как ρ =φ /d, где d – толщина образца. Например, в сахаре ρ ~ , а в холестерике ρ ~104 . Изучение оптического вращения (0В) обычно проводится в плоскостной текстуре холестерика с оптической осью, перпендикулярной стёклам ячейки. В зависимости от соотношения между шагом спирали Р и длиной волны света λ имеют место три случая.

Если λ < < P, то возможен волноводный режим, когда световое колебание “поворачивается ” в кристалле в соответствии с поворотом молекул в холестерической спирали. Число оборотов плоскости поляризации равно тогда числу шагов Р на толщине образца d.

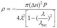
Если λ < Р, то существует оптическая активность, пропорциональная шагу спирали. Вне района селективного отражения света вращательная способность равна

Здесь Δ n=nе-n0 – двулучепреломление молекулярного слоя, λ сел=nP – длина волны селективного отражения света.

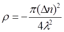
Когда λ < < λ сел, формула преобразуется к простому виду:

Последняя формула доступна экспериментальной проверке, особенно для холестерических смесей с большим шагом. Примером такой смеси является смесь нематик (90%) – холестерик (10%). Дисперсия ρ и Δ n (т.е. их зависимость от λ) может быть чрезвычайно большой.

Третий случай λ ≈ Р. Тогда наблюдается брегговское отражение света λ сел=nP; оптическое вращение испытывает аномальную дисперсию в области селективного отражения.

Целью работы является изучение дисперсии оптического вращения (0В) для смеси МББА – холестерил нонаноат. Концентрация холестерика мала (от 5% до 10%), поэтому выполнимо условие λ < P, а величину Δ n внутри холестерического слоя можно заменить Δ n нематического компонента. Толщина образца d=100мкм.

Для определения дисперсии будем использовать метод канавчатого спектра. Пусть образец помещён между скрещенными поляроидами. Белый свет от осветителя проходит через образец и падает на щель монохроматора УМ-2. спектр, наблюдаемый с помощью спектральной насадки, имеет полосы погасания в тех случаях, где для данной длины волны образец погашен в скрещенных поляроидах. Образец будет погашен только тогда, когда плоскость поляризации света повернётся при прохождении образца на угол, кратный π. Т.е. при переходе от одной длины волны погасания к другой угол меняется на величину π.

Вид канавчатого спектра.

Для канавчатого спектра можно построить график φ (λ). Неопределённость в величине φ равна φ 0. с точность до φ 0 можно определить угол поворота плоскости поляризации при данной длине волны λ i.

 

рмула доступна экспериментальной проверке, особенно для холестерических смесей с большим шагом.а на угол

Зависимость φ (λ) по результатам экспериментов. Полученные результаты можно определить в виде φ (1/λ 2).

В соответствии с теорией де ВРИ должна наблюдаться прямолинейная зависимость φ ~1/λ 2. искажение формы экспериментальной кривой объясняется дисперсией показателя преломления Δ n(λ).

Для МББА тем же методом канавчатого спектра получена зависимость Δ n(λ).

Дисперсия Δ n для МББА.

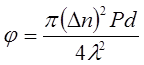
Поэтому более точная зависимость φ ~(Δ n)2 /λ.Используя экспериментальные данные, следует построить график

По тангенсу угла наклона определяется шаг спирали холестерика Р.

Выполнение работы:

1. Получить канавчатый спектр поглощения холестерической смеси. По градуировочному графику монохроматора определить длины волн поглощения.

2. Построить зависимость φ (λ), φ (1/λ 2).

3. По графику Δ n(λ) определить Δ n для ранее отмеченных длин волн поглощения.

4. Построить зависимость φ (Δ n2/ λ 2).

5. по тангенсу угла наклона прямой определить шаг холестерической

спирали Р.

Вопросы:

1. нарисуйте плоскостную холестерическую структуру, укажите ось симметрии, а направление с nII и nвнутри слоя.

2. Что такое оптическая активность?

3. Опишите различные случаи оптической активности холестериков.

4. Объясните “дисперсионный” метод определения шага спирали.

 


Поделиться с друзьями:

mylektsii.su - Мои Лекции - 2015-2026 год. (1.752 сек.)Все материалы представленные на сайте исключительно с целью ознакомления читателями и не преследуют коммерческих целей или нарушение авторских прав Пожаловаться на материал