Студопедия

Главная страница Случайная страница

КАТЕГОРИИ:

АвтомобилиАстрономияБиологияГеографияДом и садДругие языкиДругоеИнформатикаИсторияКультураЛитератураЛогикаМатематикаМедицинаМеталлургияМеханикаОбразованиеОхрана трудаПедагогикаПолитикаПравоПсихологияРелигияРиторикаСоциологияСпортСтроительствоТехнологияТуризмФизикаФилософияФинансыХимияЧерчениеЭкологияЭкономикаЭлектроника






Холодильный коэффициент






Холодильный коэффициент термобатареи характеризует эконо­мичность ее работы. Он пред­ставляет собой количество получаемой холодопроизводительности при затрате еди­ницы мощ­ности, т. е.

где Qo - холодопроизводительность, Вт;

W - потребляемая мощность, Вт.

Выражение Q0 получено нами ранее из уравнения теплового баланса холодных спаев. Чтобы проанализировать функциональную зависимость холодильного коэффициента от раз­личных фак­торов, необходимо выразить W через те же известные величины.

Поскольку переносчиком тепла в термобатарее является постоян­ный электрический ток, то за­трачиваемая на холодопроизводитель­ность мощность определяется потерей мощности электри­ческого тока в термобатарее. Основная потеря мощности электрического тока, проходящего через термобатарею, слагается из двух потерь:

W1 — потери мощности в виде выделяющейся теплоты Джоуля;

W2 — потери мощности на преодоление т. э. д. с. Таким образом,

(92)

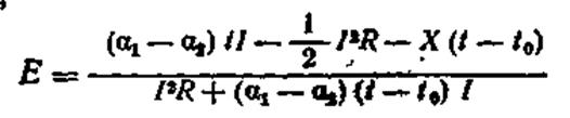
холодильный коэффициент является функцией' трех переменных: перепада темпера­тур силы тока и характеристики эффективности термоэлементов Z. Не­трудно заметить, что с увеличением перепада температур (At) холодильный коэффициент термо­батареи уменьшается. Это говорит о том, что применять термо­батарею следует, пре­жде всего, там, где по условиям эксплуатации требуется незначитель­ный перепад темпера­тур между нагреваемой средой и охлаждаемой.

Для того чтобы получить зависимость холодильного коэффициента только от двух пере­мен­ных, перепада температур и величины Z, исключим из выражения (92) силу тока /, т. е. будем все время питать термобатарею таким оптимальным током, который обеспе­чивает нам наиболь­шую экономичность. Для этого возьмем частную производную и, приравняв ее нулю, после преобразова­ний получим

(93)

Подставив полученное выражение Iопт вместо I в (92), в окончательном результате

имеем

(94)

Характер этой зависимости отражен на рис. 40, из которого видно, что экономичность работы термобатареи возрастает с умень­шением перепада температур и увеличением харак­теристики эф­фек­тивности термоэлементов. При перепадах температур холо­дильный коэффици­ент термобатареи может превышать холо­дильный коэффициент компрес­сионного холодильного агрегата.


Поделиться с друзьями:

mylektsii.su - Мои Лекции - 2015-2026 год. (1.689 сек.)Все материалы представленные на сайте исключительно с целью ознакомления читателями и не преследуют коммерческих целей или нарушение авторских прав Пожаловаться на материал