Студопедия

Главная страница Случайная страница

КАТЕГОРИИ:

АвтомобилиАстрономияБиологияГеографияДом и садДругие языкиДругоеИнформатикаИсторияКультураЛитератураЛогикаМатематикаМедицинаМеталлургияМеханикаОбразованиеОхрана трудаПедагогикаПолитикаПравоПсихологияРелигияРиторикаСоциологияСпортСтроительствоТехнологияТуризмФизикаФилософияФинансыХимияЧерчениеЭкологияЭкономикаЭлектроника






Параллельный вид движения






 

Еще большее сокращение технологического цикла можно получить при использовании параллельного вида движения партий предметов труда по операциям. Сущность параллельного вида движения заключается в том, что с операции на операцию предметы труда передаются передаточными партиями (p). Подразумевается наименьшее общее кратное числу рабочих мест. Например, при числе рабочих мест 2 и 3, p=6. При числе рабочих мест 1 и 2, p= 2. Начало обработки передаточной партии на рабочем месте начинается сразу же после поступления ее на это место. Правила построения такого цикла следующие:

а) строится технологический цикл по первой передаточной партии на всех операциях без пролеживания между ними;

б) на операции с самым продолжительным операционным циклом строится цикл проведения работ по всей партии без перерывов;

в) для всех передаточных партий, кроме первой, достраиваются операционные циклы на всех операциях, кроме самой продолжительной (рис. 4).

 

Рис. 4. Технологический цикл при параллельном виде

движения предметов труда по операциям

 

Из рис. 4 следует, что в общем случае на всех операциях, кроме максимальной по продолжительности, работа осуществляется с перерывами.

Длительность технологического цикла в часах при параллельном виде движения равна

 

Отношение разности между длительностью технологического цикла при последовательном виде движения и данного вида движения к длительности цикла при последовательном виде называется коэффициентом параллельности.

 

 

Коэффициенты параллельности и показывают, на какую относительную величину сокращается длительность технологического цикла при параллельно-последовательном и параллельном видах движения предметов труда по операциям соответственно, по сравнению с длительностью технологического цикла при последовательном виде движения.

 

3.2. Расчет длительности производственного цикла

 

Производственный цикл () включает технологический цикл, а также время естественных процессов и межоперационного пролеживания, неперекрываемых технологическим циклом.

Формулы для определения длительности производственного цикла () при различных видах движения партии деталей по операциям имеют следующий вид:

а) последовательный вид движения

 

 

б) параллельно-последовательный вид движения

 

в) параллельный вид движения

 

 

где

 

Здесь - остаток от деления на 24, – целая часть величины .

В приведенных формулах,

t – норма времени на выполнение операции, мин;

W – количество рабочих мест, занятых изготовлением партии деталей на каждой операции;

K – число технологических операций;

– время межоперационного пролеживания между двумя операциями, часов;

- длительность смены, ч ( = 8 часов);

число рабочих смен в сутки;

- длительность естественных процессов, ч;

– коэффициент для перевода рабочих дней в календарные (отношение числа рабочих дней к числу календарных дней в году, ).

В этих формулах длительность производственного цикла определяется в днях.

В курсовой работе количество рабочих мест на операциях (W) принимается равным единице.

 

3.3. Расчет параметров однопредметной непрерывной

поточной линии (ОНЛП)

 

При расчете параметров однопредметной непрерывно-поточной линии определяется:

A. Такт поточной линии.

Под тактом поточной линии r понимается период времени между запуском (выпуском) на линию данного объекта (деталь, сборочная единица, изделие) и следующего за ним. Такт является функцией заданной программы выпуска и в общем случае определяется по формуле

где – действительный фонд времени за плановый период (смена, сутки, месяц);

– число запускаемых на поточную линию объектов производства за тот же период.

С учетом регламентированных перерывов и уровня брака, %

 

где – продолжительность смены, мин;

– суточная программа выпуска, шт.;

– число рабочих смен в рабочем дне.

B. Необходимое число рабочих мест (единиц оборудования) для каждой операции.

Вначале определяется расчетное число рабочих мест () для каждой операции

где – норма времени на i -ю операцию, мин.

При полной синхронизации потока величина всегда целое число, загрузка рабочих мест полная и одинаковая на всех операциях. При неполной синхронизации на несинхронных операциях не равно целому числу. Экономически целесообразно округлить до ближайшего меньшего числа, предусмотрев при этом пользование рациональной оснастки, более рационального режима работы оборудования и т.п. При этом допустимая перегрузка рабочего места в расчетах должна быть не более 10-12% со снятием её при отладке линии;

C. Загрузка рабочих мест.

Загрузка рабочих мест определяется коэффициентом загрузки на каждой операции, %

 

 

где – расчетное число рабочих мест;

– принятое число рабочих мест.

Затем определяется средний коэффициент загрузки рабочих мест на поточной линии, %

 

 

где К – число операций на линии.

Коэффициенты и являются показателями целесообразности применение поточного производства.

Желательно иметь в массово-поточном производстве нижний предел загрузки рабочих мест 80-85%, а в серийно-поточном – 70-75%.

Распределительный конвейер – линия, оснащенная механическим транспортером, который перемещает изготовляемые объекты, направляет их рабочим местам, регламентирует ритм работы линии.

Поточные линии с распределительным конвейером применяются при обработке заготовок и деталей, а также при сборке узлов и изделий, как правило, небольших габаритов и массы на стационарных рабочих местах.

После расчета такта, числа рабочих мест для последующей планировки конвейера рассчитывается его шаг (), т.е. расстояние между осями симметрии двух рядом расположенных объектов на конвейере (в данной курсовой работе величина шага дана в приложении).

Шаг конвейера выбирается из соотношения ; определяется габаритами объектами и средним расстоянием между двумя рядом находящимися на конвейере объектами ( мм), а определяется допустимой скоростью движения конвейера;

D. Скорость движения конвейера.

Скорость движения конвейера должна соответствовать такту потока. Это соответствие достигается, если путь, равный шагу, конвейер проходит за такт:

 

 

Чаще всего применяются распределительные конвейеры со скоростями в пределах 0, 5-2 м/мин.

Если расчетная скорость конвейера не попадает в указанные пределы, требуется корректировка расчетов. Если скорость конвейера больше допустимой, необходимо увеличить число рабочих смен в рабочем дне, а если меньше – уменьшить.

 

3.4. Построение и расчет сетевых графиков

Сетевой график (сетевая модель) является основным плановым документом в системе сетевого планирования и управления подготовкой производства (СПУ), представляющей собой информационно-динамическую модель, в которой изображаются взаимосвязи и результаты всех работ, необходимых для достижения конечной цели разработки.

Наиболее разработанной в настоящее время является система СПУ, в которой в состав входной информации включаются только данные о временных параметрах и отсутствуют данные о стоимости работ и ресурсов, т.е. система, с помощью которой производится оптимизация по времени процесса выполнения комплекса работ, описываемых одной сетью.

 

 

3.4.1. Основополагающие понятия сетевого планирования

В основе сетевого планирования лежат следующие понятия:

1. Работа

Работами называются любые процессы, действия, приводящие к достижению определенных результатов (событий). Кроме работ действительных, т.е. требующих затрат времени, существуют так называемые фиктивные работы (зависимости). Фиктивной работой (зависимостью) называется связь между какими-то результатами работ – событиями, не требующими затрат времени.

Работа в сетевом графике изображается стрелкой. Каждая стрелка, кроме пунктирных, означает затрату времени, необходимого для выполнения этой работы. Затрачиваемое на работу время указывается над стрелкой (в днях или неделях). Ни длина стрелки, ни ее направление не имеют значения. Желательно только выдерживать направление стрелок так, чтобы исходное событие располагалось слева в сетевом графике, а завершающее событие – справа. Номер события у острия стрелки (событие j) должен быть больше номера у ее начала (событие i). Для отображения на графике так называемых фиктивных работ используются пунктирные стрелки, над которыми время не указывается или проставляется ноль.

2. Событие

Событиями называются результаты произведенных работ. Формулировка события всегда записывается в форме, не допускающей различного толкования. Каждое событие может быть отправным моментом для начала последующих работ. В отличие от работы, имеющей, как правило, протяженность во времени, событие представляет собой только момент окончания работы.

Любое промежуточное событие, за которым непосредственно начинаются данные работы, называется начальным (оно обозначается символом i), а работы по отношению к событию – непосредственно следующими (входящими). Любое промежуточное событие, которому непосредственно предшествуют данные работы, называется конечным (оно обозначается символом j), а работы по отношению к событиям – непосредственно предшествующими (входящими). Первоначальное событие в сети, не имеющее предшествующих ему событий и отражающее начало выполнения всего комплекса работ, включенных в данную сеть, называется исходным. Событие, которое не имеет последующих событий и отражает конечную цель комплекса работ, включенную сеть, называется завершающим.

3. Путь

Любая последовательность работ в сетевом графике, в которой конечное событие одной работы совпадает с начальным событием следующей за ней работы, называется путем. В сетевом графике различают несколько видов путей:

– от исходного события до завершающего события – полный путь;

– исходного события до данного – путь, предшествующий данному событию;

– данного события до завершающего – путь последующий за данным событием;

– между двумя какими-либо промежуточными событиями (i, j)- путь между событиями i и j;

– путь между исходным и завершающим событием, имеющий наибольшую продолжительность – критический путь.

Продолжительность критического пути определяет общую продолжительность выполнения проекта в целом. Следовательно, для сокращения сроков выполнения проекта необходимо сократить сроки выполнения работ, лежащих на критическом пути.

Пути, имеющие длительность меньше критического, но близкие к ней называются подкритическими. В общем случае, в сети может быть несколько критических и подкритических путей.

 

3.4.2. Правила построения сети

 

1. Если работы выполняются последовательно, то на графике они показываются следующим образом:

 

 

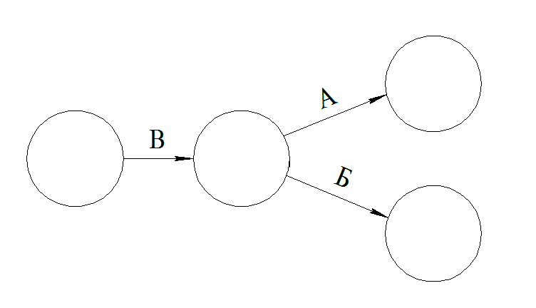
2. Если для выполнения работ А и Б необходим результат работы В, то на графике это изображается следующим образом:

3. В сети нельзя допускать «тупиков», т.е. событий, из которых не выходит ни одной работы, если эти события не являются для данной сети завершающими. Наличие «тупиков» в сети указывает либо на ошибку, либо на то, что результат работ, непосредственно предшествующих этому событию, никому из исполнителей данного проекта не нужен. Следовательно, такие работы можно исключить.

4. В сети не должно быть событий, за исключением одного, в которое не входит ни одной работы. Наличие таких событий в сети свидетельствует либо об ошибке, либо о том, что результат, необходимый одному из исполнителей данного проекта как исходное условие для начала выполняемой им работы, никому не задан и, следовательно, данное событие не может наступить.

При обнаружении такого события необходимо найти исполнителей работ, обеспечивающих достижение данного результата, и включить эти работы в сеть.

5. В сети не должно быть замкнутых контуров, т.е. путей, соединяющих некоторое событие с ним же самим. При обнаружении подобной ошибки сеть, после соответствующей проверки, необходимо исправить.

6. События следует нумеровать так, чтобы номер начального события данной работы был меньше номера конечного события этой работы.

 

3.4.3. Временные параметры детерминированных сетей

 

Основными временными параметрами сетей являются ранние и поздние сроки наступления события. Зная их, можно вычислить остальные параметры сети – сроки начала и окончания работ и резервы времени событий и работ.

Ранний срок наступления события равен наибольшей из продолжительности путей, предшествующих событию i.

Поздний срок наступления события равен разности между продолжительностью критического пути и наибольшей из продолжительности путей, следующих за событием i.

Наибольший по продолжительности путь, предшествующий событию i, обозначается как ; набольший по продолжительности путь, следующий за событием i – через .

 

Следовательно, правило определения раннего и позднего сроков наступления события математически может быть выражено:

 

Для событий, принадлежащих критическому пути:

 

Зная для всех событий сети, можно для любой работы (i, j) определить следующие параметры:

Ранний срок начала работы –

Поздний срок начала работы –

Ранний срок окончания работы –

Поздний срок окончания работы –

Эти параметры определяются по следующим формулам:

 

Для всех работ критического пути:


так как для всех событий этого пути .

В связи с тем, что критический путь является наиболее длительным путем, все остальные пути будут короче его.

Разность между продолжительностью критического пути и продолжительностью пути L называется резервом времени этого пути L и обозначается через .

 

 

Чем короче путь, тем больше у него резерв времени. Резерв времени пути показывает, на сколько в сумме могут быть увеличены продолжительности работ, принадлежащих пути L, не влияя на срок выполнения проекта. Иными словами, показывает предельно допустимое увеличение продолжительности пути L.

Поскольку резерв времени пути может быть использован для увеличения продолжительности работ, находящихся на этом пути, можно утверждать, что любая из работ пути L на его участке, не совпадающая с критическим путем, обладает резервом времени.

Конкретная работа (i, j) может одновременно принадлежать нескольким путям, т.е. через работу (i, j) может проходить несколько различных путей. Продолжительность и резерв времени у этих путей разные. В связи с этим для каждой работы сетевой модели определяются два основных резерва времени – полный резерв времени и свободный резерв времени.

Полный резерв времени работы равен разности между поздним сроком наступления события (j) и ранним сроком наступления события (i) за вычетом продолжительности работы (i, j):

 

 

Полный резерв времени работ показывает, на сколько может быть увеличена продолжительность отдельной работы или отсрочено ее начало, чтобы продолжительность проходящего через нее максимального пути не превысила продолжительности критического пути.

Полные резерв времени работы равен резерву времени наибольшего по продолжительности пути, проходящего через данную работу, поэтому использование его полностью на одной из работ аннулирует полные резервы времени всех работ, лежащих на этом пути.

Свободный резерв времени работы равен разности между ранними сроками наступления событий i и j за вычетом продолжительности работы (i, j).


 

Свободный резерв времени работы определяет величину резервов времени работ сети, образующихся в том случае, если в качестве плановых сроков начала выполнения всех работ принять ранние сроки наступления событий. Он указывает максимальное время, на которое можно увеличить продолжительность отдельной работы или отсрочить ее начало, не меняя ранних сроков начала последующих работ при условии, что непосредственно предшествующее событие наступало в свой ранний срок.

Свободный резерв времени является в этом смысле независимым резервом, так как использование его на одной из работ не меняет величины свободных резервов времени остальных работ сети.

Все события в сети, за исключением событий, принадлежащих критическому пути, имеют резервы времени. Резерв времени наступления события обозначается через и определяется как разность между поздним и ранним сроками наступления данного события.

 

 

Резерв времени наступления события показывает, на сколько предельно можно задержать наступление этого события, не вызывая при этом увеличение срока выполнения проекта. Ясно, что события критического пути не имеют резервов времени, т.к. .

 


Поделиться с друзьями:

mylektsii.su - Мои Лекции - 2015-2026 год. (1.564 сек.)Все материалы представленные на сайте исключительно с целью ознакомления читателями и не преследуют коммерческих целей или нарушение авторских прав Пожаловаться на материал