1. Метаданные теста. 2
2. Параметры секций. 3
3. Вопросы типа «Выбор». 3
4. Вопросы типа «Упорядочение». 3
5. Вопросы типа «Соответствие». 3
6. Вопросы типа «Поле ввода». 3
1. Метаданные теста
2. Параметры секций.
| №
| Текст вопроса/варианты ответа
| Дополнительные параметры
|
|
| Шикізаттар мен материалдардың дайын ө німге айналу ү рдісіне бағ ытталғ ан жеке ең бек ү рдістерінің жиынтығ ы:
| Секция:
|
|
| +
| ө ндірістік ү рдіс
| Вес вопроса:
|
|
|
| ең бек ү рдісі
| Перемешивать ответы:
| +
|
|
| саплық ү рдіс
|
|
|
|
| қ аржылық ү рдіс
|
|
|
|
| технологиялық ү діс
|
|
|
|
| Сатуғ а арналатын ө ндірістің ө німдері:
| Секция:
|
|
| +
| Негізгі ө ндірістің ө німдері
| Вес вопроса:
|
|
|
| Кө мекші ө ндіріс ө німдері
| Перемешивать ответы:
| +
|
|
| Қ осалқ ы ө ндіріс ө німдері
|
|
|
|
| Қ ойма шаруашылығ ының ө німдері
|
|
|
|
| Материалдық қ орлар
|
|
|
|
| Ағ ын тактісі дегенiмiз не?
| Секция:
|
|
| +
| оның қ озғ алу жылдамдығ ы;
| Вес вопроса:
|
|
|
| екi кезектi бұ йымдардың арасындағ ы уақ ыт;
| Перемешивать ответы:
| +
|
|
| операцияның уақ ыт мө лшерi;
|
|
|
|
| екi жақ ын орналасқ ан жұ мыс орындарының ара қ ашық тығ ы;
|
|
|
|
| конвейердің ырғ ақ ты жұ мыс істеуі.
|
|
|
|
| Кә сiпорын шамасы келесi кө рсеткiштермен анық талады:
| Секция:
|
|
| +
| жұ мысшылардың санымен
| Вес вопроса:
|
|
|
| ең бек ақ ы қ оры шамасымен
| Перемешивать ответы:
| +
|
|
| ө ндiрiс алаң ы шамасымен
|
|
|
|
| ө ндiрiлетiн ө нiм кө лемiмен
|
|
|
|
| негiзгi ө ндiрiстiк қ орлардың қ ұ нымен
|
|
|
|
| Технологиялық цикл дегеніміз?
| Секция:
|
|
| +
| Технологиялық операцияның орындалу уақ ыты
| Вес вопроса:
|
|
|
| Дайын ө німді тұ тынушығ а жеткізу уақ ыты
| Перемешивать ответы:
| +
|
|
| Цехаралық технологиялық ү рдіс
|
|
|
|
| Тасымалдау операциясы
|
|
|
|
| Ө німді ө ндіру жолы
|
|
|
|
| Энергетика шаруашылығ ының жылу бө лімшесі - бұ л:
| Секция:
|
|
| +
| Су қ ондырғ ысы, қ азандық, компрессорлық жә не канлизациялық қ ондырғ ы
| Вес вопроса:
|
|
|
| Электр желілері, компрессорлық жә не канлизациялық қ ондырғ ы
| Перемешивать ответы:
| +
|
|
| Кө міртекті станциялар, электр желілері, газ топтары
|
|
|
|
| Электр желілері, газ топтары
|
|
|
|
| Компрессорлық жә не канлизациялық қ ондырғ ы
|
|
|
|
| Коммерциялық кә сіпорындарғ а жататындар:
| Секция:
|
|
| +
| қ ызметі пайда табуғ а бағ ытталғ ан ұ йымдар
| Вес вопроса:
|
|
|
| қ ызметі пайда табуғ а бағ ытталмағ ан ұ йымдар
| Перемешивать ответы:
| +
|
|
| мемлекеттің ү лесі жоқ ұ йымдар
|
|
|
|
| мемлекеттік ұ йымдар
|
|
|
|
| қ айырымдылық кө рсететін ұ йымдар
|
|
|
|
| Коммерциялық емес кә сіпорындарғ а жататындар:
| Секция:
|
|
| +
| қ ызметі пайда табуғ а бағ ытталмағ ан ұ йымдар
| Вес вопроса:
|
|
|
| қ ызметі пайда табуғ а бағ ытталғ ан ұ йымдар
| Перемешивать ответы:
| +
|
|
| мемлекеттің ү лесі жоқ ұ йымдар
|
|
|
|
| мемлекеттік ұ йымдар
|
|
|
|
| қ айырымдылық кө рсететін ұ йымдар
|
|
|
|
| Акционерлік қ оғ ам – бұ л:
| Секция:
|
|
| +
| ө з қ ызметін жү зеге асыруғ а қ ажетті қ аражат тарту мақ сатында акция шығ аратын заң ды тұ лғ а
| Вес вопроса:
|
|
|
| капиталды ө сіру мақ сатында ұ зақ мерзімге салымдар жасау
| Перемешивать ответы:
| +
|
|
| ө з қ ызметін жү зеге асыруғ а қ ажетті қ аражат тарту мақ сатында облигация шығ аратын заң ды тұ лғ а
|
|
|
|
| инвестициялық жобалар жиынтығ ы
|
|
|
|
| ө з қ ызметін жү зеге асыруғ а қ ажетті қ аражат тарту мақ сатында акция шығ аратын заң ды тұ лғ а
|
|
|
|
| Қ Р акционерлік қ оғ амның жарғ ылық капиталының тө менгі мө лшері:
| Секция:
|
|
| +
| 50 000 еселенген айлық есептік кө рсеткішке тең
| Вес вопроса:
|
|
|
| 60 000 еселенген айлық есептік кө рсеткішке тең
| Перемешивать ответы:
| +
|
|
| 55 000 еселенген айлық есептік кө рсеткішке тең
|
|
|
|
| 40 000 еселенген айлық есептік кө рсеткішке тең
|
|
|
|
| 325 000 еселенген айлық есептік кө рсеткішке тең
|
|
|
|
| Кә сiпорынның жалпы қ ұ рылымының ө ндiрiстiк қ ұ рылымнан айырмашылығ ы неде?
| Секция:
|
|
| +
| ө ндiрiстiк инфақ ұ рылымның болуымен
| Вес вопроса:
|
|
|
| персоналдық квалификация дең гейiмен
| Перемешивать ответы:
| +
|
|
| қ ызмет кө рсетушi бө лiмшелерiнiң болуымен
|
|
|
|
| жұ мыскерлердiң санымен
|
|
|
|
| негiзгi ө ндiрiстiк бө лiмшелердiң болмауымен
|
|
|
|
| Кә сiпорындарды топтаудың белгiлерiн тө менде аталғ ан пункттерден таң даң ыз:
| Секция:
|
|
| +
| кә сiпорындардың шамасы
| Вес вопроса:
|
|
|
| мамандардың біліктілігі
| Перемешивать ответы:
| +
|
|
| ө нiм ө ндiру кезiндегi пайдаланылатын шикiзаттардың сипаты
|
|
|
|
| ө нім кө лемі
|
|
|
|
| жұ мыскерлердiң ең бек ақ ы тө леу дең гейi
|
|
|
|
| Кә сiпорынның ө ндiрiстiк қ ұ рылымы дегенiмiз:
| Секция:
|
|
| +
| кә сiпорынның ұ йымдастырушылық нысаны
| Вес вопроса:
|
|
|
| кә сiпорынның қ ұ рылтайшыларының қ ұ рамы мен саны
| Перемешивать ответы:
| +
|
|
| кә сiпорынның бө лiмшелерiнiң байланысы мен қ ұ рамы
|
|
|
|
| кә сiпорынның орналасқ ан жерi
|
|
|
|
| кә сiпорынды басқ ару қ ұ рылым
|
|
|
|
| Ө ндiрiстi ұ йымдастырудың жеке ә дiстерiнiң белгiлерiн кө рсетiң iз:
| Секция:
|
|
| +
| ө ндiрiлетiн ө нiмнiң кө п қ айталанбайтын номенклатурасы
| Вес вопроса:
|
|
|
| ә рбiр жұ мыс орнында орындалатын жұ мыстардың бiркелкiлiгi
| Перемешивать ответы:
| +
|
|
| ө нiм ө ндiрудiң ең бек сыйымдылығ ының жоғ арылығ ы
|
|
|
|
| ө нiм ө ндiру циклының ұ зақ тығ ы
|
|
|
|
| негізгі қ орлардың сапасы
|
|
|
|
| Холдинг – бұ л:
| Секция:
|
|
| +
| басқ а компаниялардың акцияларының бақ ылау пакетін иемденетін компания немесе корпорация
| Вес вопроса:
|
|
|
| кә сіпорындардың, банктердің, фирмалардың, ұ йымдардың белгілі-бір ірі шараларды ө ткізу ү шін уақ ытша бірігуі
| Перемешивать ответы:
| +
|
|
| акциясы кө п акционерлік қ оғ ам
|
|
|
|
| акциясы жоқ акционерлік қ оғ ам
|
|
|
|
| ө нім ө ткізу, қ ызмет кө рсету немесе жұ мысты орындау ү шін қ ұ рылғ ан еншілес кә сіпорындар
|
|
|
|
| Консорциум - бұ л:
| Секция:
|
|
| +
| кә сіпорындардың, банктердің, фирмалардың, ұ йымдардың белгілі-бір ірі шараларды ө ткізу ү шін уақ ытша бірігуі
| Вес вопроса:
|
|
|
| басқ а компаниялардың акцияларының бақ ылау пакетін иемденетін компания немесе корпорация
| Перемешивать ответы:
| +
|
|
| акциясы кө п акционерлік қ оғ ам
|
|
|
|
| акциясы жоқ акционерлік қ оғ ам
|
|
|
|
| ө нім ө ткізу, қ ызмет кө рсету немесе жұ мысты орындау ү шін қ ұ рылғ ан еншілес кә сіпорындар
|
|
|
|
| Ө ндірістік ү рдістің негізгі факторлары:
| Секция:
|
|
| +
| ең бек қ ұ ралдары, ең бек заттары жә не ең бек кү ші
| Вес вопроса:
|
|
|
| негізгі капитал, айналым капиталы жә не ақ ша
| Перемешивать ответы:
| +
|
|
| материалдық емес активтер, инвестиция жә не ең бек кү ші
|
|
|
|
| айналым қ орлары, айналмалы қ орлар жә не дайын ө нім
|
|
|
|
| мамандар, басшылар жә не ө ндірістік запастар
|
|
|
|
| Негізгі капитал мыналардан тұ рады:
| Секция:
|
|
| +
| негізгі қ ұ ралдар, материалдық емес активтер, ұ зақ мерзімді инвестициялар
| Вес вопроса:
|
|
|
| айналым қ ұ ралдары, ең бек ресурстары жә не материалдық емес активтер
| Перемешивать ответы:
| +
|
|
| негізгі қ ұ ралдар, айналым қ ұ ралдары жә не ең бек ресурстары
|
|
|
|
| ұ зақ мерзімді инвестициялар, материалдық емес активтер жә не дайын ө нім
|
|
|
|
| айналым капиталы жә не кассадағ ы ақ ша-қ аражаттар
|
|
|
|
| Ө ндiрiстiк қ ұ рал-жабдық ты толық пайдалану арқ ылы бiр уақ ыт бiрлiгiнде ө ндiрiлетiн ө нiмнiң максималды мү мкiн болатын кө лемi дегенiмiз:
| Секция:
|
|
| +
| ө ндiрiстiк бағ дарлама
| Вес вопроса:
|
|
|
| ө ндiрiстiк қ орлар
| Перемешивать ответы:
| +
|
|
| ө ндiрiстiк қ уат
|
|
|
|
| ө ндiрiлетiн ө нiм кө лемi
|
|
|
|
| айналым қ аржылары
|
|
|
|
| Қ ойма ашық, жабық жә не жартылай жабық болып бө лінеді – бұ л:
| Секция:
|
|
| +
| Аумағ ына қ арай
| Вес вопроса:
|
|
|
| Орналасқ ан жеріне қ арай
| Перемешивать ответы:
| +
|
|
| Саласына қ арай
|
|
|
|
| Ө нім тү ріне қ арай
|
|
|
|
| Кө леміне қ арай
|
|
|
|
| Машиналар, қ ұ рал-жабдық тар, станоктар ө ндірістік негізгі қ ұ ралдардың қ ай бө лігіне жатады:
| Секция:
|
|
| +
| активті
| Вес вопроса:
|
|
|
| пассивті
| Перемешивать ответы:
| +
|
|
| нақ ты
|
|
|
|
| портфельді
|
|
|
|
| бастапқ ы
|
|
|
|
| Ағ ын қ арқ ыны дегеніміз не?
| Секция:
|
|
| +
| Бір уақ ыт бірлігінде шық қ ан ө нім саны
| Вес вопроса:
|
|
|
| Ағ ындық сызық тың шамасы
| Перемешивать ответы:
| +
|
|
| Бір уақ ыт бірлігінде шық қ ан сапалы ө нім саны
|
|
|
|
| Операцияның ұ зақ тығ ы
|
|
|
|
| Ө нім шығ ару мү мкіндігі
|
|
|
|
| Мұ най жә не газ скважиналары, каналдар, дамбалар негізгі қ ұ ралдардың қ ай тобына жатады:
| Секция:
|
|
| +
| қ ондырғ ылар
| Вес вопроса:
|
|
|
| транспорттық қ ұ ралдар
| Перемешивать ответы:
| +
|
|
| тарату жү йелері
|
|
|
|
| машиналар мен қ ұ рал-жабдық тар
|
|
|
|
| ө ндірістік инвентарь
|
|
|
|
| Газ, су, электр, жылыту, байланыс, канализация жү йелері негізгі қ ұ ралдардың қ ай тобына жатады:
| Секция:
|
|
| +
| тарату жү йелері
| Вес вопроса:
|
|
|
| есептеу жү йелері
| Перемешивать ответы:
| +
|
|
| транспорттық қ ұ ралдар
|
|
|
|
| машиналар мен қ ұ рал-жабдық тар
|
|
|
|
| ө ндірістік инвентарь
|
|
|
|
| Ө ндірістік негізгі қ ұ ралдардың тозуының қ андай тү рлері бар:
| Секция:
|
|
| +
| табиғ и жә не моральды
| Вес вопроса:
|
|
|
| активті жә не пассивті
| Перемешивать ответы:
| +
|
|
| тікелей жә не жанама
|
|
|
|
| нақ ты жә не ү стеме
|
|
|
|
| тез жә не баяу
|
|
|
|
| Ағ ындық сызық тар келесi белгiлермен топталады:
| Секция:
|
|
| +
| механикаландыру жә не автоматтандыру дең гейi бойынша
| Вес вопроса:
|
|
|
| жұ мыскерлердiң саны бойынша
| Перемешивать ответы:
| +
|
|
| ө нiм кө лемi бойынша
|
|
|
|
| ө ң делетiн ө нiм номенклатурасы бойынша
|
|
|
|
| бұ йымның конфигурациясы бойынша
|
|
|
|
| Қ ор сыйымдылығ ы қ алай анық талады:
| Секция:
|
|
| +
| негізгі қ ұ ралдардың орта жылдық қ ұ ны / ө ндірілген немесе ө ткізілген ө нім кө лемі
| Вес вопроса:
|
|
|
| ө ндірілген немесе ө ткізілген ө нім кө лемі / негізгі қ ұ ралдардың орта жылдық қ ұ ны
| Перемешивать ответы:
| +
|
|
| айналым қ ұ ралдарының орта жылдық қ ұ ны / ө ндірілген немесе ө ткізілген ө нім кө лемі
|
|
|
|
| ө ндірілген немесе ө ткізілген ө нім кө лемі / кә сіпорындағ ы жұ мысшылар саны
|
|
|
|
| айналым қ ұ ралдарының орта жылдық қ ұ ны / кә сіпорындағ ы жұ мысшылар саны
|
|
|
|
| Қ ормен қ арулану қ алай анық талады:
| Секция:
|
|
| +
| негізгі қ ұ ралдардың орта жылдық қ ұ ны / кә сіпорындағ ы жұ мысшылар саны
| Вес вопроса:
|
|
|
| ө ндірілген немесе ө ткізілген ө нім кө лемі / негізгі қ ұ ралдардың орта жылдық қ ұ ны
| Перемешивать ответы:
| +
|
|
| айналым қ ұ ралдарының орта жылдық қ ұ ны / ө ндірілген немесе ө ткізілген ө нім кө лемі
|
|
|
|
| ө ндірілген немесе ө ткізілген ө нім кө лемі / айналым қ ұ ралдарының орта жылдық қ ұ ны
|
|
|
|
| айналым қ ұ ралдарының орта жылдық қ ұ ны / кә сіпорындағ ы жұ мысшылар саны
|
|
|
|
| Жалпы бiр қ асиетi бар заттар, ү рдiстерде қ олданылатын объектiлер стандартизацияның қ андай қ ағ идаларымен анық талады?
| Секция:
|
|
| +
| варианттылық
| Вес вопроса:
|
|
|
| жү йелiлiк
| Перемешивать ответы:
| +
|
|
| қ айталанушылық
|
|
|
|
| бiр-бiрiн ауыстырушылық
|
|
|
|
| ұ тымдылық
|
|
|
|
| Ағ ын тактісінің анық талуы
| Секция:
|
|
| +
| Fp /N
| Вес вопроса:
|
|
|
|
| Перемешивать ответы:
| +
|
|
| Dp * m*q
|
|
|
|
|
|
|
|
|
|
|
|
|
|
| Ө ндірістік негізгі қ ұ ралдардың жаң ару коэффициенті қ алай анық талады:
| Секция:
|
|
| +
| жыл ішінде енгізілген негізгі қ ұ ралдар қ ұ ны / негізгі қ ұ ралдардың жыл соң ындағ ы қ ұ ны
| Вес вопроса:
|
|
|
| негізгі қ ұ ралдардың жыл соң ындағ ы қ ұ ны / жыл ішінде енгізілген негізгі қ ұ ралдар қ ұ ны
| Перемешивать ответы:
| +
|
|
| жыл ішінде шығ арылғ ан негізгі қ ұ ралдар қ ұ ны / негізгі қ ұ ралдардың жыл соң ындағ ы қ ұ ны
|
|
|
|
| жыл ішінде шығ арылғ ан негізгі қ ұ ралдар қ ұ ны / негізгі қ ұ ралдардың жыл басындағ ы қ ұ ны
|
|
|
|
| жыл ішінде енгізілген негізгі қ ұ ралдар қ ұ ны / негізгі қ ұ ралдардың жыл басындағ ы қ ұ ны
|
|
|
|
| Мiндеттi тү рде сертификациялау параметрлерiне қ айсы жатады:
| Секция:
|
|
| +
| тұ тынушылар мен жабдық таушылар арасындағ ы сенiмдiлiк ахуалын жақ сартады
| Вес вопроса:
|
|
|
| ө німнің бә секелестiк қ абiлеттiлiгiн арттырады
| Перемешивать ответы:
| +
|
|
| қ оршағ ан орта мен қ ауiпсiздiктi қ орғ ауды қ амтамасыз етедi
|
|
|
|
| ө нiм сапасын арттыруғ а кө мектеседi
|
|
|
|
| маркетинг бө лімі
|
|
|
|
| Ө нiм сапасын басқ ару жү йесi дегенiмiз:
| Секция:
|
|
| +
| ө нiм сапасын бақ ылау
| Вес вопроса:
|
|
|
| ө нiмдi сертификаттау
| Перемешивать ответы:
| +
|
|
| ө нiмдi унификациялау мен стандарттау
|
|
|
|
| ө нiмнiң қ ажеттi дең гейiн қ амтамасыз ету ү шiн оны жасау жә не пайдалану шараларын дайындау
|
|
|
|
| ө нiмді жинау
|
|
|
|
| Материалдық -заттай формасы жоқ, бірақ кә сіпорынғ а ә рдайым немесе ұ зақ уақ ыт бойы табыс алып келетін қ ұ ндылық:
| Секция:
|
|
| +
| материалдық емес активтер
| Вес вопроса:
|
|
|
| материалдық активтер
| Перемешивать ответы:
| +
|
|
| негізгі қ ұ ралдар
|
|
|
|
| айналым қ ұ ралдары
|
|
|
|
| ұ зақ мерзімді инвестициялар
|
|
|
|
| Тә жiрибе-конструкторлық жұ мыстардың сатылары:
| Секция:
|
|
| +
| ғ ылыми-зерттеулер
| Вес вопроса:
|
|
|
| технологиялық ү рдiстердi, бұ йым сызбаларын дайындау жә не жетiлдiру
| Перемешивать ответы:
| +
|
|
| ө ндiрiске жаң а технологияны енгiзу
|
|
|
|
| тә жiрибе ө ндiрiсi
|
|
|
|
| инновациялық жаң алық тар кө лемі
|
|
|
|
| Ө ндiрiстi конструкторлық дайындау дегенiмiз – бұ л:
| Секция:
|
|
| +
| бұ йымды дайындау жә не ө ң деу тiзбегiн анық тайтын жұ мыстар жиынтығ ы
| Вес вопроса:
|
|
|
| ө ндiрiлетiн ө нiмдi жетiлдiру немесе жаң а ө нiмдi жобалау жұ мыстарының жиынтығ ы
| Перемешивать ответы:
| +
|
|
| жаң а ө нiмдер ө ндiрiсiн жоспарлау жә не ұ йымдастыру жө нiнде жұ мыстар жиынтығ ы
|
|
|
|
| ө ндiрiске жаң а техниканы енгiзу
|
|
|
|
| ө німнің конструкциясын жасау
|
|
|
|
| Материалдық емес активтерге тө мендегілердің қ айсысы кіреді:
| Секция:
|
|
| +
| лицензия жә не ноу-хау
| Вес вопроса:
|
|
|
| патент жә не дайын ө нім
| Перемешивать ответы:
| +
|
|
| компьютерлік бағ дарламалар жә не тарату жү йесі
|
|
|
|
| жер жә не технология
|
|
|
|
| ақ ша-қ аражат жә не ғ имарат
|
|
|
|
| Ө нiм сапасының эргономикалық кө рсеткiштерi:
| Секция:
|
|
| +
| бұ йымның жө ндеудi қ ажет етушiлiгi
| Вес вопроса:
|
|
|
| мазмұ нына қ арай ө нiмдi пайдаланудың тиімділік эффектiсi
| Перемешивать ответы:
| +
|
|
| тасымалдауғ а бейiмдiлiгi
|
|
|
|
| ө нiммен адамның ө зара қ атынасы
|
|
|
|
| ө німнің денсаулық қ а зияндылығ ы
|
|
|
|
| Ағ ындық сызық тың тактысы мен ырғ ағ ының арасындағ ы байланыс:
| Секция:
|
|
| +
| тура
| Вес вопроса:
|
|
|
| байланыс жоқ
| Перемешивать ответы:
| +
|
|
| керi порпорционалды
|
|
|
|
| кө птiк
|
|
|
|
| жеке
|
|
|
|
| Синхронды ағ ындық сызық та бiр ө нiмдi жинау немесе ө ң деу уақ ыты:
| Секция:
|
|
| +
| жұ мыстағ ы ү зіліс
| Вес вопроса:
|
|
|
| тактығ а тең емес
| Перемешивать ответы:
| +
|
|
| тактке тең немесе оғ ан еселi бө лiнетiн
|
|
|
|
| конвейердiң жылдамдығ ына байланысты емес
|
|
|
|
| жұ мыс ауысымының ұ зақ тығ ына тең
|
|
|
|
| Ө ндiрiстiк қ уатты пайдалану коэффициентi:
| Секция:
|
|
| +
| жоспарлы немесе нақ ты ө нiм кө лемiн есептелiнген қ уаттың шамасына бө лiну арқ ылы есептелiнедi
| Вес вопроса:
|
|
|
| қ уаттың есептi шамасы оның жоспарлы шамасына бө лiну арқ ылы есептеледi
| Перемешивать ответы:
| +
|
|
| нағ ыз уақ ыт қ оры мен жоспарлы уақ ыт қ орының қ атынасына тең
|
|
|
|
| қ ұ рал-жабдық тардың жұ мыс уақ ыт қ орының шын жә не нақ ты шамаларының айырмасына тең
|
|
|
|
| ө ндірістік қ уатты ө нім кө леміне бө лу арқ ылы есептеледі
|
|
|
|
| Бір ө ндірістік цикл ішінде пайдаланылатын, ө зінің заттай формасын ө згерте отырып, қ ұ нын ө німнің ө зіндік қ ұ нына толық аударатын қ ұ ндылық тар қ алай аталады:
| Секция:
|
|
| +
| айналым қ ұ ралдары
| Вес вопроса:
|
|
|
| негізгі қ ұ ралдар
| Перемешивать ответы:
| +
|
|
| материалдық емес активтер
|
|
|
|
| ең бек ресурстары
|
|
|
|
| амортизация
|
|
|
|
| Ө ндірістік айналым қ орларына тө мендегілердің қ айсысы жатады:
| Секция:
|
|
| +
| ө ндірістік запастар, аяқ талмағ ан ө ндіріс жә не жартылай фабрикаттар, болашақ кезең шығ ындары
| Вес вопроса:
|
|
|
| қ оймадағ ы дайын ө нім, жө нелтілген немесе тиелген ө нім, ақ ша-қ аражаттар
| Перемешивать ответы:
| +
|
|
| кассадағ ы ақ ша-қ аражат, ө ндірістік запастар, болашақ кезең шығ ындары
|
|
|
|
| аяқ талмағ ан ө ндіріс жә не жартылай фабрикаттар, жө нелтілген немесе тиелген ө нім, қ оймадағ ы дайын ө нім
|
|
|
|
| банктің есеп-шотындағ ы ақ ша, жө нелтілген немесе тиелген ө нім, болашақ кезең шығ ындары
|
|
|
|
| Мө лшерленетін айналым қ ұ ралдарына жататындар:
| Секция:
|
|
| +
| ө ндірістік айналым қ орлары жә не дайын ө нім
| Вес вопроса:
|
|
|
| айналмалы қ орлар жә не ақ ша-қ аражаттар
| Перемешивать ответы:
| +
|
|
| жө нелтілген немесе тиелген ө нім жә не ақ ша-қ аражаттар
|
|
|
|
| айналмалы қ орлар жә не дайын ө нім
|
|
|
|
| ө ндірістік айналым қ орлары жә не ақ ша-қ аражаттар
|
|
|
|
| Айналмалы қ орларғ а тө мендегілердің қ айсысы жатады:
| Секция:
|
|
| +
| қ оймадағ ы дайын ө нім, жө нелтілген немесе тиелген ө нім, ақ ша-қ аражаттар
| Вес вопроса:
|
|
|
| ө ндірістік запастар, аяқ талмағ ан ө ндіріс жә не жартылай фабрикаттар, болашақ кезең шығ ындары
| Перемешивать ответы:
| +
|
|
| кассадағ ы ақ ша-қ аражат, ө ндірістік запастар, болашақ кезең шығ ындары
|
|
|
|
| аяқ талмағ ан ө ндіріс жә не жартылай фабрикаттар, жө нелтілген немесе тиелген ө нім, қ оймадағ ы дайын ө нім
|
|
|
|
| банктің есеп-шотындағ ы ақ ша, жө нелтілген немесе тиелген ө нім, болашақ кезең шығ ындары
|
|
|
|
| Ө нiмнiң материалдық сыйымдылығ ы дегенiмiз бұ л:
| Секция:
|
|
| +
| бiр ө нiмнiң толық ө зiндiк қ ұ ны
| Вес вопроса:
|
|
|
| материалдардың жоспарлы жә не нақ ты шығ ындарының айырмасы
| Перемешивать ответы:
| +
|
|
| кә сiпорын ө ндiретiн ө нiмдерiнiң материалдық шығ ындар қ ұ нының оның кө лемiне қ атынасы
|
|
|
|
| материалдарды қ олдану коэффициентi
|
|
|
|
| ө нім кө лемі материалдық шығ ындардың қ атынасымен есептеледі
|
|
|
|
| Кә сiпорынның энергетикалық шаруашылығ ының қ ұ рылымына мыналар байланысты емес:
| Секция:
|
|
| +
| ө ндiрiс масштабына
| Вес вопроса:
|
|
|
| технологияғ а
| Перемешивать ответы:
| +
|
|
| тұ тынылатын энергия тү рiне
|
|
|
|
| ө нiм ө ндiру мерзiмдiлiгiне
|
|
|
|
| шикізат тү рлеріне
|
|
|
|
| Кә сіпорынның ө ндірістік персоналдары келесідей жіктеледі:
| Секция:
|
|
| +
| басшылар, жұ мысшылар, мамандар, қ ызметкерлер, кіші қ ызмет кө рсетуші персонал
| Вес вопроса:
|
|
|
| бас бухгалтер, бас инженер, бас қ арауыл, кіші қ ызмет кө рсетуші персонал
| Перемешивать ответы:
| +
|
|
| негізгі жұ мысшылар, кө мекші жұ мысшылар, кассир, іс жү ргізуші жә не қ оймашы
|
|
|
|
| басшылар, қ оймашылар, жү к тиеушілер, сатушылар, қ ызметкерлер
|
|
|
|
| мамандар, сатушылар, негізгі жұ мысшылар, кө мекші жұ мысшылар, іс жү ргізуші персонал
|
|
|
|
| Қ ұ жаттарды дайындайтын жә не безендіретін, есептеумен, шаруашылық істермен айналысатын ең бек кү штері қ ай топқ а жатады:
| Секция:
|
|
| +
| қ ызметкерлер
| Вес вопроса:
|
|
|
| жұ мысшылар
| Перемешивать ответы:
| +
|
|
| мамандар
|
|
|
|
| басшылар
|
|
|
|
| кіші қ ызмет кө рсетуші персонал
|
|
|
|
| Дайын ө нiмге қ ажет кә сiпорынның айналым капиталы былай анық талады:
| Секция:
|
|
| +
| шикiзат пен материалдардың бiркү ндiк шығ ымы /Х/ө ндiрiстiк циклдың ұ зақ тығ ы /Х/ шығ ындарының арту коэффициентi/
| Вес вопроса:
|
|
|
| аяқ талмағ ан ө ндiрiс нормасы /Х/ ө ндiрiстiк циклдың ұ зақ тығ ы /Х/ шығ ындардың арту коэффициентi/
| Перемешивать ответы:
| +
|
|
| тауарлық ө нiмдi ө ндiру шығ ындары /: / жоспарлық, мерзiмiнiң ұ зақ тығ ы /Х/ ө ндiрiстiк циклдың ұ зақ тығ ы /Х/ шығ ындардың арту коэффициентi
|
|
|
|
| тауарлық ө нiмдi ө ндiру шығ ындары /: / жоспарлық мерзiм ұ зақ тығ ы /Х/ дайын ө нiмнiң қ оймадағ ы мө лшерi /Х/ дайын ө нiмдi жө нелту мө лшерi/
|
|
|
|
| тауарлық ө нiмдi ө ндiру шығ ындары /: / жоспарлық мерзiм ұ зақ тығ ы /: / дайын ө нiмнiң қ оймада болу мө лшерi/
|
|
|
|
| Техникалық тапсырма ненi кө рсетедi:
| Секция:
|
|
| +
| стандартизация жә не унификация дең гейлерiнiң кө рiнiсi бар ө нiмнiң техникалық дең гейiнiң болжанғ ан кө рсеткiштерiн
| Вес вопроса:
|
|
|
| ө нiмдi ө ткiзуден тү сетiн табыс
| Перемешивать ответы:
| +
|
|
| персоналғ а ақ ы тө леу шарттары
|
|
|
|
| ө нiмнiң сапа кө рсеткiштерi
|
|
|
|
| ө німнің сапасы
|
|
|
|
| Жабу коэффициентi тең:
| Секция:
|
|
| +
| ағ ымдағ ы активтер/ ағ ымдағ ы мiндеттемелер
| Вес вопроса:
|
|
|
| қ орлар/ ағ ымдағ ы мiндеттемелер
| Перемешивать ответы:
| +
|
|
| ағ ымдағ ы активтер + қ орлар/ /ағ ымдағ ы мiндеттемелер
|
|
|
|
| активтердің қ осындысы
|
|
|
|
| қ орлар+міндетемелер
|
|
|
|
| Жұ мысшы кү шінің бағ асы немен ө лшенеді:
| Секция:
|
|
| +
| ең бекақ ымен
| Вес вопроса:
|
|
|
| сыйақ ымен
| Перемешивать ответы:
| +
|
|
| дивидентпен
|
|
|
|
| акциямен
|
|
|
|
| аудандық коэффициентпен
|
|
|
|
| Тарифтік-квалификациялық анық тама нені кө рсетеді:
| Секция:
|
|
| +
| бюджеттік сала жұ мысшылары мен жұ мыстың разрядын
| Вес вопроса:
|
|
|
| жұ мыстың кү рделілігіне байланысты белгіленетін разрядтар мен тиісті тарифтік коэффициенттерді
| Перемешивать ответы:
| +
|
|
| жұ мыс уақ ытының бірлігіне тө ленетін ең бек ақ ының ақ шалай формасын
|
|
|
|
| кә сіпорынның орналасқ ан аймағ ының тұ ру қ олайсыздығ ын ескере отырып тө ленетін ең бек ақ ының ө су мө лшерін
|
|
|
|
| қ алыпты жұ мыс жағ дайынан ауытқ уларғ а тө ленетін ең бек ақ ыны (тү нгі уақ ыт, мереке кү ндері, т.б.) жә не ынталандырушы сипаттағ ы тө лемдерді
|
|
|
|
| Тарифтік сетка нені кө рсетеді:
| Секция:
|
|
| +
| жұ мыстың кү рделілігіне байланысты белгіленетін разрядтар мен тиісті тарифтік коэффициенттерді
| Вес вопроса:
|
|
|
| бюджеттік сала жұ мысшылары мен жұ мыстың разрядын
| Перемешивать ответы:
| +
|
|
| жұ мыс уақ ытының бірлігіне тө ленетін ең бек ақ ының ақ шалай формасын
|
|
|
|
| кә сіпорынның орналасқ ан аймағ ының тұ ру қ олайсыздығ ын ескере отырып тө ленетін ең бек ақ ының ө су мө лшерін
|
|
|
|
| қ алыпты жұ мыс жағ дайынан ауытқ уларғ а тө ленетін ең бек ақ ыны (тү нгі уақ ыт, мереке кү ндері, т.б.) жә не ынталандырушы сипаттағ ы тө лемдерді
|
|
|
|
| Жиынтық капиталдың табыстылығ ы қ алай есептеледi:
| Секция:
|
|
| +
| баланстық табыс /жиынтық капитал
| Вес вопроса:
|
|
|
| таза табыс / қ арыз капиталы
| Перемешивать ответы:
| +
|
|
| таза табыс / меншiк капиталы
|
|
|
|
| таза табыс / жиынтық капитал
|
|
|
|
| қ арыз капитал / таза табыс
|
|
|
|
| Ө ндiрiстiң ағ ындық ә дiсiнiң белгiлерi қ андай?
| Секция:
|
|
| +
| жұ мыс орындарының технологиялық ү рдістің бойымен орналасуы
| Вес вопроса:
|
|
|
| ә рбiр жұ мыс орнында операциялардың универсалдылығ ы
| Перемешивать ответы:
| +
|
|
| ә рбiр жұ мыс орнының белгiлi операцияғ а мамандануы
|
|
|
|
| жұ мыс орындарының қ атар орналасуы
|
|
|
|
| операциялардың тiзбектегi орындалуы жә не жұ мыс орындарының мамандануы
|
|
|
|
| Кә сiпорынның ө ндiрiстiк қ уатының шамасын анық таушы негiзгi элементтер:
| Секция:
|
|
| +
| қ ұ рал-жабдық тардың қ ұ рамы жә не олардың жұ мыс уақ ыт қ оры
| Вес вопроса:
|
|
|
| жыл бойғ ы жұ мыс уақ ыты
| Перемешивать ответы:
| +
|
|
| салағ а жатуы
|
|
|
|
| қ ұ рал - жабдық тарды жү ктеу коэффициентi жә не кезектiлiк коэффициентi
|
|
|
|
| операциялардың тiзбектегi орындалуы жә не жұ мыс орындарының мамандануы
|
|
|
|
| Жоғ ары сапаны талап ететiн ө нiмдерге бақ ылаудың қ андай тү рi қ олданылады:
| Секция:
|
|
| +
| таң дамалы
| Вес вопроса:
|
|
|
| мерзiмдiк
| Перемешивать ответы:
| +
|
|
| жалпы
|
|
|
|
| ұ шпалы (кө шпелi)
|
|
|
|
| ө згермелі
|
|
|
|
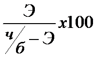
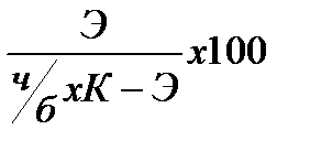
| Конвейер қ озғ алысының жылдамдығ ы неге тең?
| Секция:
|
|
| +
|
| Вес вопроса:
|
|
|
|
| Перемешивать ответы:
| +
|
|
|
|
|
|
|
|
|
|
|
|
|
|
|
|
|
| Ө ндiрiстi бiр номенклатурадан екiншi номенклатурағ а кө шiру ү шiн қ андай қ ұ рылым қ ажет?
| Секция:
|
|
| +
| технологиялық
| Вес вопроса:
|
|
|
| заттық
| Перемешивать ответы:
| +
|
|
| аралас
|
|
|
|
| универсалды
|
|
|
|
| тізбекті
|