Студопедия

Главная страница Случайная страница

КАТЕГОРИИ:

АвтомобилиАстрономияБиологияГеографияДом и садДругие языкиДругоеИнформатикаИсторияКультураЛитератураЛогикаМатематикаМедицинаМеталлургияМеханикаОбразованиеОхрана трудаПедагогикаПолитикаПравоПсихологияРелигияРиторикаСоциологияСпортСтроительствоТехнологияТуризмФизикаФилософияФинансыХимияЧерчениеЭкологияЭкономикаЭлектроника






III. Теоретическая часть. II. Актуализация знаний.






II. Актуализация знаний.

Вся информация, которою обработает компьютер, должна быть представлена двоичным кодом с помощью двух цифр – 0 и 1. Эти два символа 0 и 1 принято называть битами (от англ. binary digit – двоичный знак).

III. Теоретическая часть.

С помощью двух цифр 0 и 1 можно закодировать любое сообщение. Это явилось причиной того, что в компьютере обязательно должно быть организованно два важных процесса:

Кодирование – преобразование входной информации в форму, воспринимаемую компьютером, т.е. двоичный код.

Декодирование – преобразование данных из двоичного кода в форму, понятную человеку.

С точки зрения технической реализации использование двоичной системы счисления для кодирования информации оказалось намного более простым, чем применение других способов. Действительно, удобно кодировать информацию в виде последовательности нулей и единиц, если представить эти значения как два возможных устойчивых состояния электронного элемента: 0 – отсутствие электрического сигнала;
1 – наличие электрического сигнала.

Способы кодирования и декодирования информации в компьютере, в первую очередь, зависит от вида информации, а именно, что должно кодироваться: числа, текст, графические изображения или звук.

Рассмотрим основные способы двоичного кодирования информации в компьютере.

Представление чисел.

Для записи информации о количестве объектов используются числа. Числа записываются с использование особых знаковых систем, которые называют системами счисления.

Система счисления – совокупность приемов и правил записи чисел с помощью определенного набора символов. Все системы счисления делятся на две большие группы: ПОЗИЦИОННЫЕ и НЕПОЗИЦИОННЫЕ.

Позиционные - количественное значение каждой цифры числа зависит от того, в каком месте (позиции или разряде) записана та или иная цифра. Непозиционные - количественное значение цифры числа не зависит от того, в каком месте (позиции или разряде) записана та или иная цифра.

Самой распространенной из непозиционных систем счисления является римская. В качестве цифр используются: I(1), V(5), X(10), L(50), C(100), D(500), M(1000). Величина числа определяется как сумма или разность цифр в числе. MCMXCVIII = 1000+(1000-100)+(100-10)+5+1+1+1 = 1998. Первая позиционная система счисления была придумана еще в Древнем Вавилоне, причем вавилонская нумерация была шестидесятеричная, т.е. в ней использовалось шестьдесят цифр. В XIX веке довольно широкое распространение получила двенадцатеричная система счисления. В настоящее время наиболее распространены десятичная, двоичная, восьмеричная и шестнадцатеричная системы счисления.

Количество различных символов, используемых для изображения числа в позиционных системах счисления, называется основанием системы счисления.

Система счисления Основание Алфавит цифр
Десятичная   0, 1, 2, 3, 4, 5, 6, 7, 8, 9
Двоичная   0, 1
Восьмеричная   0, 1, 2, 3, 4, 5, 6, 7
Шестнадцатеричная   0, 1, 2, 3, 4, 5, 6, 7, 8, 9, A, B, C, D, E, F

Соответствие систем счисления:

Десятичная                
Двоичная                
Восьмеричная                
Шестнадцатеричная                

 

Десятичная                
Двоичная                
Восьмеричная                
Шестнадцатеричная     A B C D E F

 

Двоичное кодирование текстовой информации

Начиная с 60-х годов, компьютеры все больше стали использовать для обработки текстовой информации и в настоящее время большая часть ПК в мире занято обработкой именно текстовой информации. Традиционно для кодирования одного символа используется количество информации = 1 байту (1 байт = 8 битов).
Для кодирования одного символа требуется один байт информации. Учитывая, что каждый бит принимает значение 1 или 0, получаем, что с помощью 1 байта можно закодировать 256 различных символов. (28=256).

Кодирование заключается в том, что каждому символу ставиться в соответствие уникальный двоичный код от 00000000 до 11111111 (или десятичный код от 0 до 255). Важно, что присвоение символу конкретного кода – это вопрос соглашения, которое фиксируется кодовой таблицей.

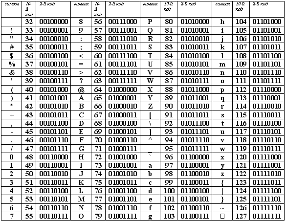
Таблица, в которой всем символам компьютерного алфавита поставлены в соответствие порядковые номера (коды), называется т аблицей кодировки. Для разных типов ЭВМ используются различные кодировки. С распространением IBM PC международным стандартом стала таблица кодировки ASCII (American Standard Code for Information Interchange) – Американский стандартный код для информационного обмена.
Стандартной в этой таблице является только первая половина, т.е. символы с номерами от 0 (00000000) до 127 (0111111). Сюда входят буква латинского алфавита, цифры, знаки препинания, скобки и некоторые другие символы. Остальные 128 кодов используются в разных вариантах. В русских кодировках размещаются символы русского алфавита.
В настоящее время существует 5 разных кодовых таблиц для русских букв (КОИ8, СР1251, СР866, Mac, ISO). В настоящее время получил широкое распространение новый международный стандарт Unicode, который отводит на каждый символ два байта. С его помощью можно закодировать 65536 (216= 65536) различных символов.

Таблица стандартной части ASCII

Таблица расширенного кода ASCII

Обратите внимание!
Цифры кодируются по стандарту ASCII в двух случаях – при вводе-выводе и когда они встречаются в тексте. Если цифры участвуют в вычислениях, то осуществляется их преобразование в другой двоичных код.
Возьмем число 57.

При использовании в тексте каждая цифра будет представлена своим кодом в соответствии с таблицей ASCII. В двоичной системе это – 00110101 00110111.

При использовании в вычислениях код этого числа будет получен по правилам перевода в двоичную систему и получим – 00111001.


Поделиться с друзьями:

mylektsii.su - Мои Лекции - 2015-2026 год. (2.264 сек.)Все материалы представленные на сайте исключительно с целью ознакомления читателями и не преследуют коммерческих целей или нарушение авторских прав Пожаловаться на материал