Студопедия

Главная страница Случайная страница

КАТЕГОРИИ:

АвтомобилиАстрономияБиологияГеографияДом и садДругие языкиДругоеИнформатикаИсторияКультураЛитератураЛогикаМатематикаМедицинаМеталлургияМеханикаОбразованиеОхрана трудаПедагогикаПолитикаПравоПсихологияРелигияРиторикаСоциологияСпортСтроительствоТехнологияТуризмФизикаФилософияФинансыХимияЧерчениеЭкологияЭкономикаЭлектроника






Уравнения Максвелла




Полная система уравнений Максвелла для электромагнитного поля имеет вид: Эта система уравнений справедлива для переменного электромагнитного поля…
  1. в отсутствие заряженных тел
  2. при наличии заряженных тел и токов проводимости
  3. в отсутствие токов проводимости
в отсутствие заряженных тел и токов проводимости
Полная система уравнений Максвелла для электромагнитного поля имеет вид: Следующая система уравнений справедлива для переменного электромагнитного поля…
  1. в отсутствие заряженных тел
  2. при наличии заряженных тел и токов проводимости
  3. в отсутствие токов проводимости
  4. в отсутствие заряженных тел и токов проводимости
Полная система уравнений Максвелла для электромагнитного поля имеет вид Следующая система уравнений справедлива …
  1. для переменного электромагнитного поля в отсутствие заряженных тел
  2. для стационарного электрического и магнитного полей
  3. для переменного электромагнитного поля при наличии заряженных тел и токов проводимости
для переменного электромагнитного поля в отсутствие токов проводимости
Утверждение «В любой точке пространства изменяющееся со временем магнитное поле порождает вихревое электрическое поле» раскрывает физический смысл уравнения …
0
Утверждение «Никаких источников магнитного поля, подобных электрическим зарядам (по аналогии их называют магнитными зарядами), в природе не существует» является следствием уравнения …
0
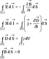
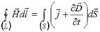
Полная система уравнений Максвелла для электромагнитного поля в интегральной форме имеет вид: , , , 0. Система распадается на две группы независимых уравнений: , ; , 0 – при условии, что …
,
,
Полная система уравнений Максвелла для электромагнитного поля в интегральной форме имеет вид: , , , 0. Следующая система уравнений: , , , – справедлива для …
1.электромагнитного поля при наличии заряженных тел и в отсутствие токов проводимости
2.электромагнитного поля в отсутствие заряженных тел и токов проводимости
3.стационарных электрических и магнитных полей
4.электромагнитного поля при наличии заряженных тел и токов проводимости

 

 


Данная страница нарушает авторские права?


mylektsii.su - Мои Лекции - 2015-2026 год. (0.892 сек.)Все материалы представленные на сайте исключительно с целью ознакомления читателями и не преследуют коммерческих целей или нарушение авторских прав Пожаловаться на материал