Студопедия

Главная страница Случайная страница

КАТЕГОРИИ:

АвтомобилиАстрономияБиологияГеографияДом и садДругие языкиДругоеИнформатикаИсторияКультураЛитератураЛогикаМатематикаМедицинаМеталлургияМеханикаОбразованиеОхрана трудаПедагогикаПолитикаПравоПсихологияРелигияРиторикаСоциологияСпортСтроительствоТехнологияТуризмФизикаФилософияФинансыХимияЧерчениеЭкологияЭкономикаЭлектроника






Будова нуклеїнових кислот. Пуринові і пиримідинові азотисті основи, нуклеотиди, мононуклеотиди.






Нуклеїнові кислоти (від лат. пикіеиз - ядро) - це особливий клас ви-сокомолекулярних сполук, які виконують функції збереження й передачі генети­чної інформації, визначають вид, форму і склад живої клітини та її функції.

Нуклеїнові кислоти — складні високомолекулярні біополімери, що складаються з ланцюжків нуклеотидів. Природні нуклеїнові кислоти — ДНК і РНК — виконують у всіх живих організмах роль передачі і експресії генетичної інформації.

Основна маса ДНК у клітині локалізована в ядрі - 97-99 %, а 1-3 % припадає на позаядерну ДНК. На відміну від ДНК РНК розподілена у клі­тині більш рівномірно.

Хімічний склад нуклеїнових кислот

Молекули нуклеїнових кислот (ДНК і РНК) складаються з великої кількості мономерів-мононуклеотидів, тобто є полімерами нуклеотидів (полінуклеотиди). Нуклеотиди утворені трьома компонентами: азотвмісною циклічною сполукою - пуриновою чи піримідиновою основою (основами їх називають тому, що вони здатні приєднувати Н+), вуглеводами (пентозами) та фосфорною кислотою.

Піримідинові основи. Ці речовини є похідними шестичленної гетеро­циклічної сполуки - піримідину. Обидві нуклеїнові кислоти містять одну й ту саму піримідинову основу - цитозин (2-окси-4-амінопіримідин)-Ц. Тимін (5-ме-тил-2, 4-діоксипіримідин)-Т переважно входить до складу ДНК, а урацил (2, 4-діо-ксипіримідин)-У - РНК. У структурі урацилу та тиміну атом вуглецю в поло­женні 4 окиснений, а в цитозині - амінований:

Пуринові основи. Пурин є похідним піримідину, гетероциклічна мо-пекула якого складається з піримідинового та імідазольного кілець, що спо­лучені зв'язками 4-5. З пуринових похідних до складу нуклеїнових кислот обох типів входять переважно дві основи - 6-амінопурин (аденін, А) та 2-амі-но-6-оксипурин (гуанін, Г):

У структурі аденіну атом вуглецю в положенні 6 амінований, а гуаніну -окиснений.

Іншими важливими природними похідними пурину є гіпоксантин, ксантин і сечова кислота:

 

(6-Оксипурин) (2, 6-Діоксипурин) (2, 6, 8-Тріоксипурин)

Вуглеводи (пентози). Вуглеводний компонент нуклеїнових кислот представлений альдопентозами. Вони є О-ізомерами і знаходяться в Р-фуранозній формі:

У нуклеїнових кислотах п'ятичленне фуранозне кільце ніколи не буває плос­ким. Воно набуває або конформації конверта, або твіст-конформації (напівкрісло). До складу РНК входить р-О-рибоза, а ДНК - р-О-2-дезоксирибоза, в якій ОН-група в положенні 2 атома вуглецю замінена атомом водню. Відсутність у положенні 2 гідроксильної групи в дезоксирибозі надає ДНК більшої стійкості до лужної деградації. Пуринові та піримідинові основи, що містять рибозу або дезоксирибозу, називаються відповідно рибонуклеозидами чи 2'-дезоксири-(юнуклеозидами.

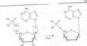
Нуклеотиди - це фосфорнокислі етери нуклеозидів, в яких фосфорна кис­лота з'єднана складноетерним зв'язком з однією з вільних гідроксильних груп пен­този. Назви нуклеотидів походять відназви основ - аденілова, гуанілова, тиміди-нова, цитидилова та уридилова кислоти. Нуклеотиди є сильними кислотами, тому що залишок фосфорної кислоти легко дисоціює. Утворення нуклеотидів із складо­вих призводить до вивільнення двох молекул води:

 

У клітині вільні нуклеотиди утворюються при синтезі або в результаті час­ткового гідролізу нуклеїнових кислот ферментами.

Нуклеотиди, що містять О-рибозу, називаються рибонуклеотидами, 2-дез-окси-О-рибозу - дезоксирибонуклеотидами.

Ферментативне фосфорилювання нуклеозид-5'-фосфатів (НМФ) у поло­женні С-5' атома вуглецю пентози призводить до утворення нуклеозиддифо-сфатів (НДФ) і нуклеозидтрифосфатів (НТФ):

У дезоксирибонуклеотидах дНМФ, дНДФ і дНТФ замість рибози міститься дезоксирибоза. Вільні нуклеотиди мають надзвичайно важливе значення, вони беруть участь у всіх метаболічних процесах. У першу чергу НТФ та дНТФ є акти­вованими попередниками під час синтезу РНК та ДНК та їх кодованими елементами. Система АТФ-АДФ-АМФ бере участь у біоенергетичних про­цесах.

Нуклеотиди можуть бути алостеричними модуляторами певних регуляторних ферментів - під час біо­синтезу пуринових нуклеотидів, гліколізу тощо. Різні похідні нуклеотидів ви­конують функції коферментів - НАД, НАДФ, ФАД, ФМН, КоА та ін. Окрему групу складають циклічні нуклеотиди (цАМФ, цГМФ, цЦМФ тощо), в яких фо­сфатний залишок утворює складноетерні зв'язки з 3'- та 5'-ОН-групами рибо­зи. Вони відіграють в організмі роль вторинних посередників при передачі сигналів гормонів.


Поделиться с друзьями:

mylektsii.su - Мои Лекции - 2015-2026 год. (3.107 сек.)Все материалы представленные на сайте исключительно с целью ознакомления читателями и не преследуют коммерческих целей или нарушение авторских прав Пожаловаться на материал