v - скорость движения;
Условия существования электрического тока.
- Наличие свободных электрических зарядов в проводнике.
- Наличие напряжения (разности потенциалов) на концах цепи. За направление тока принимают направление движения положительных частиц, которое совпадает с направлением напряженности поля, создающего этот ток.
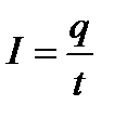
Сила тока – это скалярная величина, равная электрическому заряду, проходящему через поперечное сечение проводника в единицу времени q – заряд, проходящий через поперечное сечение проводника; t – время; I - сила тока.


q0 - заряд одной частицы;
N - концентрация частиц;
v - скорость движения;
S - площадь поперечного сечения проводника.
Сопротивление металлического проводника. Электрическое сопротивление проявляется в соударении свободных электронов, движущихся под действием электрического поля, с ионами кристаллической решетки металла, колеблющихся возле положения равновесия. - длина проводника
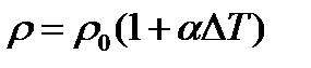
удельное сопротивление, зависит от вещества, l- длина проводника, S - площадь поперечного сечения проводника.
Удельное сопротивление – это сопротивление цилиндрического проводника единичной длины и единичной площади поперечного сечения. Зависит только от вещества и температуры! - удельное сопротивление при T=273K (t =00С); - температурный коэффициент сопротивления, численно равен относительному изменению сопротивления при нагревании на 1К; ∆ Т – изменение температуры
Сверхпроводимость. Сверхпроводимость – физическое явление, заключающееся в скачкообразном падении сопротивления до нуля при некоторой критической температуре (Т кр)
• (а) – зависимость сопротивления металлического проводника от температуры;
• (б) – зависимость сопротивления ртути вблизи критической температуры.
• Чем выше температура, тем больше амплитуда движения ионов, что приводит к более частым соударениям и, как следствие, к росту электрического сопротивления. Источники тока. Гальванический элемент. Электрофорная машина. Термоэлемент (термопара). Фотоэлемент. Электромеханический генератор.
• Закон Ома для участка цепи. Сила тока на участке цепи прямо пропорциональна приложенному напряжению на концах участка и обратно пропорциональна его сопротивлению.
|