Студопедия

Главная страница Случайная страница

КАТЕГОРИИ:

АвтомобилиАстрономияБиологияГеографияДом и садДругие языкиДругоеИнформатикаИсторияКультураЛитератураЛогикаМатематикаМедицинаМеталлургияМеханикаОбразованиеОхрана трудаПедагогикаПолитикаПравоПсихологияРелигияРиторикаСоциологияСпортСтроительствоТехнологияТуризмФизикаФилософияФинансыХимияЧерчениеЭкологияЭкономикаЭлектроника






Подходы к изменчивости черт






Если бы способности индивида находились приблизительно в пределах одного уровня, то единое суммарное значение было бы абсолютно истинным. Но если это не так, то подобные результаты в лучшем случае неточны, а иногда попросту вводят в заблуждение. Поэтому так необходимо определить степень внутренней изменчивости индивида и то, как различные способности взаимосвязаны в единой структуре.

Исследование индивидуальных случаев, отражающих крайнюю однобокость развития способностей, представляет собой один из подходов к анализу изменчивости черт. Совместима ли недоразвитость в одних аспектах с интеллектуальной сверхразвитостью в других? Могут ли особые способности в конкретной области сопровождаться общей интеллектуальной отсталостью? Наличие особых способностей или недоразвитости в какой-либо области означает, что способности в данной области могут развиваться и варьироваться независимо от способностей в других областях.

Например, мы знаем, что дети с высоким IQ могут иметь очень низкие оценки музыкальных способностей или способностей к рисованию. И наоборот, развитые способности в этих областях могут сочетаться с посредственными способностями в науках. Изучение случаев чудесного арифметического счета у «блестящих счетоводов» также показывает, что большими способностями к счету могут обладать люди со средним или низким уровнем «общего интеллектуального развития» (ср. 6; 8, ее. 11—65). Сюда же относятся данные о снижении интеллекта в пожилом возрасте, которые мы приводили в главе 8. Напомним, что это снижение касалось разных интеллектуальных функций и в разной степени, проявляясь больше всего в перцептивных и меньше всего в вербальных тестах. Аналогично этому, психотические ухудшения происходят по-разному: в то время как в некоторых функциях проявляется явный спад, другие функции остаются практически на допсихотическом уровне (ср. 5, гл. 13).

Наиболее яркими примерами высокого уровня развития какой-то одной функции в сочетании с общей недоразвитостью интеллекта могут служить так называемые ученые идиоты (idiots savants). Буквальный перевод данного термина означает «муд-


Структура черт: теория и методология 415

рьхе идиоты», что является чем-то вводящим в заблуждение, поскольку обычный ученый идиот не является ни мудрым, ни идиотом. Он не настолько дефектен, чтобы классифицироваться как идиот, но часто проявляет себя как слабоумный или находится в так называемой пограничной зоне. И мудрым он является только в очень ограниченной области. Практически он плохо руководит своей жизнью, так как обычно терпит постоянные неудачи.

Подобно всем крайним девиантам, ученые идиоты встречаются довольно редко. Как бы то ни было, благодаря своим заметным достижениям они привлекают к себе пристальное внимание и весьма подробно описаны во множестве отчетов. Большая часть самых давних случаев обобщена Тредголдом и Содди (58). О более поздних случаях сообщали Райф и Снайдер (43), которые посредством запроса, отправленного в 55 американских институтов, изучающих слабоумных, смогли выделить 33 ученых идиота. Из них 8 человек продемонстрировали особые музыкальные способности, 8 человек — математические способности, 7 человек — способности к рисованию и 10 человек — способности в смешанных областях, включающих в себя механику, память и моторную координацию. Некоторые из них проявили способности в исключительно узкой сфере, имеющей сомнительную психологическую ценность. С другой стороны, многие другие показали свои достижения в достаточно четко очерченной и широкой области. Примером сравнительно многогранного математического таланта, проявившегося достаточно рано, может служить случай 27-летнего мужчины, обладающего разумом 3-летнего ребенка. Сообщая результаты исследования данного случая, Райф и Снайдер пишут: «Подобно малому ребенку он царапает карандашом рисунки на кафеле ванной комнаты или в других местах — всюду, куда только может дотянуться. Он не научился говорить и даже теперь не может выразить простые просьбы, указывая на свои глаза или уши. В школе он не мог ничего делать, поэтому был отправлен домой, а в шестнадцать лет был помещен в институт. Его слуховое восприятие находится в норме... Хотя он не в состоянии поддерживать беседу и не способен понимать высказываемые просьбы, при помощи карандаша в нем легко возбудить желание заниматься математикой. Когда карандаш и бумага находились у пациента, а цифры 2, 4 и 8


416 Дифференциальная психология

были расположены в вертикальной колонке, пациент немедленно продолжил серии: 16, 32, 64 и т. д. Когда была начата серия 2, 4, 16, он тут же продолжил и эту серию, при этом ее шестой номер равнялся 4 294 967 296. Затем было написано 9—3, что обозначало квадратный корень. Под этим были написаны еще несколько чисел, таких как 625, 729 и 900. Квадратный корень из каждого числа был найден сразу же и без ошибки. Любой пример на умножение различных чисел немедленно решался, при этом записывался только ответ» (43, ее. 553—554).

В своей монографии об ученых идиотах Шерер, Ротман и Голдстейн (44) сделали сообщение о продолжавшемся пять лет интенсивном исследовании 11-летнего мальчика с IQ по тесту Стэнфорд—Бине, равному 50, у которого были особые способности к музыке, механической памяти и счету. Они развили несколько теорий относительно ученых идиотов. Некоторые из содержащихся в них объяснений подчеркивали роль мотивацион-ных факторов, другие акцентировали внимание на роли обучения и на иных условиях, связанных с опытом. Шерер, Ротман и Голдстейн выдвинули теорию, основанную на понимании того, как может сочетаться неразвитая способность к абстрактному мышлению с чрезмерным развитием одной из угнетенных функций индивида. Конечно, можно предположить, что в подобных случаях оказываются задействованными различные причинные факторы и что их сочетание может быть в разных случаях различным. Однако какими бы ни были объяснения, результаты, которые показывают ученые идиоты, иллюстрируют ту степень, до которой определенные интеллектуальные функции могут развиваться независимо от развития других.

Другой подход к различению черт состоит в измерении внут-рииндивидуальной изменчивости, проводимой на больших репрезентативных группах нормальных испытуемых. Для этого каждый индивид проходит множество тестов и все результаты выражаются в сравнимых единицах измерения, таких как стандартные значения. После этого становится возможным вычислить изменчивость каждого индивида в пределах его собственного среднего значения в контексте стандартного отклонения (СО) или какой-либо другой меры изменчивости. Каждый раз, когда применялась данная процедура, внутрииндивидуальная изменчивость оказывалась высокой, внутрииндивидуальные СО составляли в


Структура черт: теория и методология 417

среднем от 75 % до 80 % — столько же, сколько составляли СО индивидуальных различий по какой-либо единичной черте. Эти результаты были получены при исследовании групп школьников, учащихся высшей школы и профессиональных училищ, а также взрослых (31, 39).

Внутрииндивидуальная изменчивость, как таковая, различается у разных людей. В одном исследовании внутрииндивиду-альные СО составляли от 4, 30 до 9, 09 (31). Есть данные о том, что испытуемые с низким уровнем интеллекта обладают большей внутрииндивидуальной изменчивостью, или специализацией способностей, чем испытуемые с высоким уровнем интеллекта того же биологического возраста (39, 57). Однако сравнение детей, обладающих высоким IQ, с детьми, обладающими нормальным IQ, выбранных в соответствии с их интеллектуальным возрастом, не выявило устойчивых различий в каких-либо чертах между двумя группами (17).

Двумя дополнительными переменными, которые исследовались в отношении изменения черт, являются практическое обучение и возраст. При повторном анализе данных, собранных несколькими исследователями, Престон (41) обнаружил, что изменение черт по мере овладения какими-либо навыками в тенденции уменьшается, а с возрастом — увеличивается. Обучение делает поведение испытуемого более стереотипным, особенно при решении разных практических задач. Возраст оказывает на изменение черт обратное воздействие, то есть чем старше становится индивид, тем больше специализируются его способности. Конечно, нельзя сказать, что возраст сам по себе является причиной перемен в изменениях черт. Группы, сравниваемые в данных исследованиях, различались и по образовательному уровню своих членов, и, возможно, по другим признакам. Например, образование может способствовать увеличению изменения черт, несмотря на то что практическое обучение в тенденции сокращает это различие. Очевидно, что образование не состоит в том, чтобы «в равной степени практически» овладеть всеми интеллектуальными функциями. При этом надо учитывать, что и доля практики различна в разных сферах, мотивационные изменения и другие влияния по-разному действуют на каждого из индивидов. Поэтому образование может влиять на изменение черт совершенно иным образом, чем обучение простым практическим навыкам. Более

14 Дифференциальная психология


418 Дифференциальная психология

подробно влияние различных условий на специализацию способностей мы рассмотрим в следующей главе.

Изучение крайних случаев асимметричного развития, как и измерение внутрииндивидуального изменения черт, позволяет утверждать, что выдающиеся способности в чем-то одном могут сочетаться с отсутствием способностей в других аспектах. Однако из этого нельзя сделать вывод о том, что такая компенсация является правилом. Высокий уровень развития одной черты не влечет низкого уровня развития других черт. До сих пор мы приводили только те примеры, в которых индивиды, имеющие высокоразвитую черту А, имели весьма низкие показатели по черте В. Можно так же легко найти случаи, в которых у индивида черты А и В окажутся одинаково развитыми или наряду с высокоразвитым А будет сосуществовать средний уровень развития В. Таким образом, корреляция в данном случае почти полностью отсутствует. Если различные способности индивида специфичны и не зависят друг от друга, то, констатируя развитость какой-то одной черты индивида, мы не сможем ничего сказать о развитии других его черт, поскольку корреляции между ними, как известно, очень слабы или же их нет вовсе.

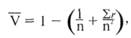
Таким образом, поиск корреляций представляет собой следующий подход к анализу различия черт. Необходимо отметить, что данный подход, или способ выражения одних и тех же фактов, является альтернативным по отношению к предыдущему. Так, рассмотренная выше асимметричность развития способностей представляет собой лишь крайние случаи различия черт. Корреляционный подход предполагает, что измерения различия черт зависят от интеркорреляций рассматриваемых черт и что результаты одного измерения можно вывести из другого измерения (ср. 23, 40). Среднее значение различия черт у группы индивидов при проведении серии тестов можно найти по следующей формуле:

в которой

— среднее значение изменчивости (С02) внутри индивидов, п — количество тестов и

— сумма всех интеркорреляций по тестам, каждая корреляция вводится дважды (напр., г и г).


w

Структура черт: теория и методология 419

С помощью этой формулы можно легко показать, что если бы все тесты однозначно коррелировали друг с другом, изменение черт равнялось бы нулю (40). С другой стороны, если бы все интеркорреляции тестов равнялись нулю, то средняя внутриин-дивидуальная изменчивость была бы почти так же высока, как и различия между индивидами, и по мере увеличения количества тестов приближалась бы к крайнему значению. Таким образом, анализируя коэффициенты корреляции, можно получить информацию того же типа, что и при измерении различия черт.

Профиль асимметрий также можно исследовать посредством применения корреляционной техники. В каких областях такая асимметричность между способностями проявляется чаще? Изменяются ли определенные функции вместе с индивидом так, что отклонение в одних будет сопровождаться аналогичным отклонением в других? На подобные вопросы можно найти ответы, используя коэффициенты корреляций. Определенные функции долгое время понимались как «особые способности»; такое понимание предполагало, что функции коррелируют между собой очень слабо или не коррелируют вовсе. Всем хорошо знакомы проявления музыкальных, художественных и механических способностей. Напомним, что все они из тех областей, для которых, как сообщают, характерна асимметричность способностей. При продолжительном использовании тестов на «умственные способности» стало возможным постепенно отделять лингвистические (или вербальные) показатели от количественных (или счетных) показателей; это привело к признанию эффективности такого отделения и к тому, что стало общей практикой данные результаты записывать как независимые, оценивая соответствующие способности на основании проведения многих интеллектуальных тестов. Таким образом, появились слабые проблески того типа различения черт, который связан с более тонкими статистическими исследованиями, использующими техники факторного анализа. Эти техники, которые мы рассмотрим в следующем разделе, представляют собой дальнейшие разработки корреляционного подхода.

ТЕОРИИ СТРУКТУРИРОВАНИЯ ЧЕРТ

Одним из главных результатов корреляционных исследований результатов тестов было создание теорий, рассматриваю-


420 Дифференциальная психология

щих структуру психологических черт. Упрощенно говоря, черту можно рассматривать как категорию, с помощью которой возможно упорядочение описывать поведение индивидов (ср. 4). Черта связана со сравнительными характеристиками поведения. Например, если индивиды одинаково хорошо (или одинаково плохо) проходят все типы вербальных тестов, таких как словарный тест, тест на аналогии и тест на целостность предложения, то мы, очевидно, можем ввести понятие единого для всех этих тестов «вербального результата». Более того, если данные этих вербальных тестов практически не соотносятся с данными числовых, пространственных или других типов тестов, то мы можем говорить о вербальности как черте, представляющей собой отдельную категорию или величину в терминах описания результатов индивида.

Таким образом, черты идентифицируются измерением различных проявлений поведения индивида, таких как результаты прохождения им разных типов тестов. Черты, как правило, являются сравнительно устойчивыми характеристиками, имеющими прогностическую ценность. Более того, они обычно включают в себя те свойства, которыми индивиды явно отличаются друг от друга. Наконец, в большинстве классификаций психологических черт очевиден, хоть и не всегда проявлен, соответствующий культурный контекст. Это те аспекты поведения, которые в определенной культуре или в общественном мнении считаются важными и которые обычно идентифицируются и описываются как определенные черты. Даже названия черт имеют в нашем языке культурное происхождение и в свою очередь влияют на наш выбор и определение черт (3).

Теории, связанные со структурой черт, возникли очень давно. Как только философы начали обсуждать природу «разума», они начали предлагать теории, трактующие элементы, составляющие этот разум. Но только с тех пор, как стали применяться психологические тесты и количественные методы, стало возможным измерить отношения между различными проявлениями поведения индивида. Более поздние теории разрабатывались на основе интерпретации специфических данных и имели поэтому более эмпирический фундамент.

Двухфакторная теория. Проблема структуры черт на эмпирической основе впервые была поставлена в опубликованной в


Структура черт: теория и методология 421

1904 году статье Спирмена (45), в которой были представлены теория и новый метод исследования. Этот метод основывался на определенных соотношениях между интеркорреляциями тестовых значений. Позднее основой анализа стал более систематичный фундамент, связанный с развитием четверного критерия, названного так вследствие того, что он группировал тесты в наборы — по четыре теста в каждом (ср. 46). Однако, когда число тестов было большим, даже эта техника не срабатывала. Кроме того, четверной критерий вносил информационные ограничения в то, что было связано со структурой способностей. По этим причинам его заменили на другие, более эффективные и гибкие методы факторного анализа, о которых речь пойдет в следующем разделе. Тем не менее развитие Спирменом четверного критерия открыло путь статистическим исследованиям отношений между психологическими чертами и сделало возможным проведение большого количества ранних исследований в этой области.

На основе своего анализа тестовых интеркорреляций Спир-мен сформулировал двухфакторную теорию интеллектуальной организации (46). В соответствии с этой теорией все виды интеллектуальной активности имеют единый генеральный фактор, или фактор g. Кроме этого, у каждого вида интеллектуальной активности есть своя специфика, или s-фактор. 5-факторы рассматривались как весьма многочисленные и строго соответствующие специфике каждого вида интеллектуальной активности индивида. У двух видов активности по определению не могло быть общих специфических факторов. Спирмен утверждал, что эта теория совместима с корреляционными результатами. Так, наличие различных специфических черт в каждом виде активности объясняет невозможность абсолютной корреляции +1, 00, поскольку нет таких двух видов активности, которые, при всей их зависимости от фактора g, не имели бы своих специфических черт. С другой стороны, тот факт, что большинство способностей имеет друг с другом положительную корреляцию, объясняется наличием вездесущего фактора g. В каждом виде активности g и 5 присутствуют в разной пропорции, что определяет существование широкого ряда положительных корреляций, больших, чем ноль, и меньших, чем 1, 00.

Из двухфакторной теории следует, что целью психологического тестирования является измерение доли в каждом инди-


422 Дифференциальная психология

виде фактора g. Если этот фактор пронизывает все способности, значит, только на нем можно основывать то, какой результат будет у испытуемого в той или иной ситуации. Бессмысленно пытаться измерить специфические факторы, поскольку каждый из них присутствует лишь в одном виде активности. Поэтому Спирмен предложил заменить все интеллектуальные тесты, имеющие шкалы с гетерогенным перечнем пунктов, на один-единственный тест, жестко связанный с фактором g. Он утверждал, что тесты, имеющие дело с абстрактными отношениями, например, такие как тесты на аналогии, вероятно, лучше всего смогут измерять фактор g и, следовательно, должны использоваться для этой цели. Современным примером теста, созданного для измерения фактора g, являются прогрессивные матрицы Равена (42).

В отношении того, что же представляет собой фактор g, Спирмен выдвинул лишь пробные гипотезы. Он предложил рассматривать фактор g как общую интеллектуальную «энергию» индивида, а ^-фактор как «двигатель», посредством которого она действует, или специфические нейронные паттерны, участвующие в любой активности. Однако такая интерпретация факторов g и s не является интегральной частью двухфакторной теории. Интересно отметить, что спирменское g послужило также основой для популярного понятия об общем интеллекте.

С самого начала Спирмен понял, что двухфакторную теорию надо квалифицировать. Когда сравниваемые виды интеллектуальной деятельности очень близки друг другу, определенная степень корреляции может возникать и помимо g-фактора. Таким образом, дополнением к генеральному и специфичному факторам может быть другой, средний класс факторов, не такой универсальный, как g-фактор, и не такой однозначно специфичный, как ^-фактор. Такой фактор, являющийся общим не для всех, а для некоторой группы интеллектуальных видов деятельности, был определен как групповой фактор. В первоначальной версии своей теории Спирмен допускал возможность существования только очень узких и незначительно малых групповых факторов. В результате последующих исследований, проведенных несколькими его студентами, он включил в свою теорию более широкие группы факторов, таких как арифметические, механические и лингвистические способности.


V

Структура черт: теория и методология 42 3

В конце концов, на основе целой серии исследований в теорию были включены дополнительные генеральные факторы, такие как р (упорство), о (неуверенность) и w (воля), при этом именно воля способствовала распространению теории в область личностных черт. Спирмен также предложил (46) следующую их трактовку: принимая во внимание, что фактор g представляет собой общую «интеллектуальную энергию», находящуюся в распоряжении испытуемого, р может означать инерцию этой интеллектуальной энергии, а о — неустойчивость ее поступления. Таким образом, все предложенные Спирменом генеральные интеллектуальные факторы могут быть не чем иным, как различными проявлениями одного и того же g-фактора.

В поздних работах Спирмен и его последователи прямо признают наличие всех трех классов факторов — генерального, группового и специфического. Таким образом, главной отличительной чертой поздней версии двухфакторной теории является то, что в ней в определенной степени акцентируется роль g-фактора как фактора, который оказывает более важное влияние на формирование корреляции, чем групповые факторы. Необходимо также отметить, что различие между генеральными, групповыми и специфическими факторами, вероятно, не столь фундаментально, как могло показаться на первый взгляд. Например, если число и разнообразие тестов в серии невелико, то единственного «генерального» фактора может оказаться достаточно, чтобы охватить все корреляции между ними. Но когда то же самое тестирование включает в себя большое количество гетерогенных тестов, тот фактор, который прежде был генеральным, теперь становится всего лишь групповым фактором, общим для некоторых, но не для всех тестов. Аналогичный фактор может иметь место не только в одном из тестов небольшой серии, он может присутствовать и в нескольких тестах большей серии. В одном случае такой фактор будет идентифицироваться как специфический, а в другом случае — как групповой. Возможно, более реалистично говорить о групповых факторах разной широты, а не о жестко дифференцированных — генеральном, групповом и специфическом.

Мультифакторные теории. Современное понимание структуры черт, которое наиболее распространено среди американских психологов, основывается на множестве групповых факторов средней широты, каждый из которых может в разной степе-


424 Дифференциальная психология

ни входить в разные тесты. Например, вербальный фактор может играть большую роль в словарном тесте, в меньшей степени — в тесте на аналогии и очень малую роль в арифметическом тесте. Такие теории получили название мультифакторных, или теорий разновесовых групповых факторов.

Публикация в 1928 году «Перекрестков человеческого разума» Келли (32) открыла путь для большого количества исследований конкретных групповых факторов. После критического анализа методологии и данных Спирмена Келли стал утверждать, что генеральный фактор имеет сравнительно небольшое значение и может быть следствием гетерогенности' испытуемых и общей вербальной природы используемых тестов. Если при устранении этих влияний генеральный фактор сохранится, то тогда, по утверждению Келли, он, вероятно, будет малым и незначительным. По его мнению, основные связи между тестами устанавливаются относительно небольшим количеством широких групповых факторов. Главными среди них были следующие: оперирование пространственными отношениями, операции с числами, оперирование вербальным материалом, оперирование памятью и скорость мышления. Этот список был изменен и расширен последующими исследователями, использующими более современные методы факторного анализа, что будет являться предметом изучения в следующем разделе.

Одним из главных сторонников мультифакторной теории был Терстоун. На основе масштабного исследования, проведенного им самим и его студентами, Терстоун определил примерно дюжину групповых факторов, которые он назвал «первичными интеллектуальными способностями». Чаще всего в работах Тер-стоуна и других независимых исследователей (19, 26, 52, 56) встречаются следующие первичные способности: V — вербальное понимание — основной фактор в таких тестах, как чтение, вербальные аналогии, предложения с нарушенной структурой, вербальные рассуждения, выбор пословиц. Этот фактор наиболее точно измеряется словарными тестами. W — беглость речи — присутствует в таких тестах, как анаграммы, рифмовки или наименование слов в данной категории

1 Влияние гетерогенности на корреляционные коэффициенты будет рассматриваться нами в следующем разделе.


Структура черт: теория и методология 42 5

(например, имена мальчиков или слова с одинаковой начальной буквой). N — число — точнее всего идентифицируется скоростью и точностью совершения простых арифметических вычислений. S — пространство — возможно, что этот фактор содержит в себе два разных фактора, при этом один охватывает восприятие неподвижных пространственных или геометрических форм и их соотношений, а другой — «манипуляторную визуализацию», посредством которой испытуемый может воспринимать изменения местоположения объектов или их формы. М — ассоциативная память — проявляется в основном в тестах на механическое запоминание парных ассоциаций. Существующие данные свидетельствуют, что не существует такого широкого фактора, который бы охватывал все тесты на запоминание. Некоторые исследователи утверждают, что в этой сфере существуют еще такие ограниченные факторы, как зрительная и слуховая память. Р — скорость восприятия — быстрота и точность схватывания визуальных подробностей, сходств и различий. Этот фактор раньше носил название «фактора скорости», который определялся и описывался прежними исследователями как «скорость обработки очень легкого материала». Данный фактор также может быть ограничен визуально представленным материалом. I (или R) — индукция (или общее рассуждение) — данный фактор идентифицировать не так просто. Терстоун изначально предложил индуктивный и дедуктивный факторы. Последний лучше всего было измерять тестами на умение делать умозаключения, а первый — тестами, требующими от испытуемого найти правило, как в многосерийных тестах на завершение. Однако данные по дедуктивному фактору были менее убедительны, чем по индуктивному. Более того, другие исследователи заменяют дедуктивный фактор фактором общего рассуждения, иллюстрацией которого являются такие тесты, как арифметические рассуждения. Сороковые и пятидесятые годы XX столетия принесли быстрое развитие теории групповых факторов. Как мы уже говорили, помимо терстоуновского списка «первичных интеллектуаль-


^"

426 Дифференциальная психология

ных способностей» были идентифицированы по крайней мере еще один пространственный фактор и несколько факторов, связанных с запоминанием. Кроме этого, сделанный позднее анализ привел к выделению множества разных факторов в области восприятия (54), рассуждения (2, 7, 15, 26, 36) и вербальных способностей (12, 26, 34, 49). Например, проявилось то, что к изначальному фактору беглости речи может быть добавлена ассоциативная беглость, идейная беглость и экспрессивная беглость (26). Гилфорд в своем недавнем обзоре факторных исследований способностей (26) описывает сорок интеллектуальных факторов и отмечает, что в факторной схеме еще остались пробелы.

Увеличение факторных исследований, в каждом из которых предлагалось множество новых факторов, привело к большой путанице. Зачастую трудно стало разбирать, как результаты разных исследований совмещаются друг с другом. Когда в разных исследованиях участвуют испытуемые разных категорий, используются совсем разные тесты и статистическая методология, тогда перекрестная идентификация факторов из разных исследований оказывается невозможной. Являются ли два фактора, которые были названы двумя исследователями одинаково, действительно идентичными, а факторы, носящие разные названия, действительно разными? Представляют ли собой некоторые факторы подразделения более широких черт?

Пытаясь ответить на эти вопросы и упорядочить результаты исследований, Френч (19, 20) подготовил два обзора, один из которых охватывал интеллектуальные, а другой — неинтеллектуальные факторы1. Проявленной целью обоих обзоров была перекрестная идентификация и установление сочетаемости факторов, изолированных друг от друга разными исследователями, использовавшими достаточно совместимые процедуры, чтобы сделать такое совмещение возможным. Конечный список вклю-

1 Пытаясь продвинуться в систематизации процедур и интерпретаций факторных исследований, Центр тестирования в сфере образования с помощью экспертов в области факторного анализа подготовил по три теста для каждого из 16 сравнительно устоявшихся факторов (21). Эти 48 тестов, большинство из которых в измененном виде было взято из прежде опубликованных факторных исследований, способны включаться в новые факторные исследования в качестве стандартных переменных.


Структура черт: теория и методология 42 7

чал в себя 59 факторов, основанных на тестах, определяющих способности и достижения человека, и 49 факторов, выведенных на основе личностных измерений. Основываясь на своей собственной интерпретации фактов, Френч утверждает, что эти факторы, несмотря на различия их трактовок и частичное совпадение, должны, тем не менее, рассматриваться как самостоятельные. Френч считает, что ни один из них не является просто подразделением более общего фактора, но каждый вносит что-то новое в общее описание индивида. Такая интерпретация резко контрастирует с иерархическим видением, с которым мы вкратце познакомимся.

Очевидно, что даже после таких попыток упростить и скоординировать результаты исследований число факторов остается большим. Однако некоторые психологи не испытывают по этому поводу никакого беспокойства (напр., 26). Человеческое поведение является настолько разнообразным и сложным, что, возможно, нереалистично пытаться адекватно описать его с помощью полдюжины или дюжины факторов. Конечно, для особых целей мы можем выбрать факторы нужного охвата. Например, если мы отбираем претендентов на трудную и очень специализированную механическую работу, мы, возможно, захотим измерить вполне конкретные перцептивные и пространственные факторы в соответствии с требованиями той работы, которую предстоит выполнить. С другой стороны, отбирая студентов колледжа, вполне уместно будет использовать несколько широких факторов, таких как вербальное понимание, способности к счету и общим рассуждениям. Иллюстрации способов, при помощи которых можно использовать факторные результаты для усовершенствования тестов, будут даны в следующей главе.

Иерархические теории. Группа британских психологов, в частности: Барт (11), Верной (62) и Айзенк (18) — выдвинули альтернативную систему структурирования факторов. На рисунке 65 приводится пример, иллюстрирующий применение этой системы к интеллектуальным чертам.

Во главу иерархии Верной поставил спирменовский ^-фактор. На следующем уровне находятся два широких групповых фактора, соответствующие вербально-образовательным способностям (v: ed) и практическо-механическим способностям (k: m). Эти главные факторы, в свою очередь, могут подразделяться. Например,


^

428 Дифференциальная психология

Мелкие групповые факторы Специфические факторы

Рис. 62. Диаграмма, иллюстрирующая применение иерархической теории к способностям человека. (Данные из Вернона, 62, с. 22.)

вербально-образовательный фактор включает в себя вербальный и счетный субфакторы. Аналогично ему, практически-механический фактор разделяется на механико-информационный, пространственный и мануальный субфакторы. По ходу дальнейшего анализа в процессе решения вербальных задач идентифицируются еще более узкие субфакторы. На самом низшем уровне иерархии лежат специфические факторы. Таким образом, подобная иерархическая структура напоминает генеалогическое древо с g-факто-ром на самом верху, с s-факторами внизу и сужающимися групповыми факторами между ними.

Современный британский подход к структурированию способностей отличается от подхода американских психологов двумя принципиальными моментами. Во-первых, британская схема по существу мультиуровневая, или иерархическая, в то время как американский факторный анализ имеет тенденцию помещать все групповые факторы — независимо от их широты — на один-единственный уровень. Во-вторых, британские психологи акцентируют фактор g и предпочитают рассчитывать интересующие их корреляции в его контексте, в то время как американские психологи концентрируют свое внимание на групповых факторах и рассматривают g-фактор как нечто второстепенное.

Айзенк (18) распространил иерархическую структуру на описание личностных черт. В верхней части этой иерархии, которую Айзенк называет «типовым уровнем», он помещает три широких фактора: интроверсию, невротизм и психотизм. Далее следует так называемый уровень черт. Интроверсия, например, как показано на рисунке 63, может подразделяться на такие черты, как упорство, жесткость, субъективность, застенчивость и раздражительность.


Структура черт: теория и методология 42 9

Типовой уровень

Качественный уровень

Уровень

привычных

реакций

Уровень специфич.

реакций

F ой се; ей ой__________________________________________________________ей ой


Поделиться с друзьями:

mylektsii.su - Мои Лекции - 2015-2026 год. (1.087 сек.)Все материалы представленные на сайте исключительно с целью ознакомления читателями и не преследуют коммерческих целей или нарушение авторских прав Пожаловаться на материал