Студопедия

Главная страница Случайная страница

КАТЕГОРИИ:

АвтомобилиАстрономияБиологияГеографияДом и садДругие языкиДругоеИнформатикаИсторияКультураЛитератураЛогикаМатематикаМедицинаМеталлургияМеханикаОбразованиеОхрана трудаПедагогикаПолитикаПравоПсихологияРелигияРиторикаСоциологияСпортСтроительствоТехнологияТуризмФизикаФилософияФинансыХимияЧерчениеЭкологияЭкономикаЭлектроника






Виды мышления, выделенные по различным основаниям






Рис. XI.10.

Рис. XI.11. Составляющие продуктивности ума

ментарная форма мышления, возникающая в практической деятельности и являющаяся основой для формирования более сложных форм мышления. Выделяют также наглядно-образное (см.) и абстрактно-логическое (или отвлеченное) мышление.

Все виды мышления тесно взаимосвязаны. При решении задач словесные рассуждения опираются на яркие образы. В то же время решение даже самой простой, самой конкретной задачи требует словесных обобщений.

Для творческой работы необходимо обладать способностью самостоятельно и критично мыслить, проникать в сущность предметов и явлений, быть пытливым, что в значительной мере обеспечивает продуктивность умственной деятельности.

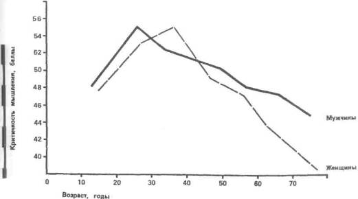
Все указанные качества индивидуальны, изменяются с возрастом, поддаются коррекции. Связь критичности ума с возрастом (полученная в экспериментальных условиях) представлена на графике XI. 12.

Самостоятельность мышления ---------------=> умение использовать общественный опыт, независимость собственной мысли
Критичность мышления ---------------------------------- > ■ объективная оценка других и себя
Глубина мысли ---------------> - способность анализировать, сравнивать, находить существенное
Гибкость мысли ----------------------------------=> ■ умение находить пути решения задачи
Пытливость мысли ---------------->. потребность всегда искать наилучшее решение

Рис. XI. 12. Корреляция критичности мышления с возрастом


Поделиться с друзьями:

mylektsii.su - Мои Лекции - 2015-2026 год. (0.881 сек.)Все материалы представленные на сайте исключительно с целью ознакомления читателями и не преследуют коммерческих целей или нарушение авторских прав Пожаловаться на материал