Студопедия

Главная страница Случайная страница

КАТЕГОРИИ:

АвтомобилиАстрономияБиологияГеографияДом и садДругие языкиДругоеИнформатикаИсторияКультураЛитератураЛогикаМатематикаМедицинаМеталлургияМеханикаОбразованиеОхрана трудаПедагогикаПолитикаПравоПсихологияРелигияРиторикаСоциологияСпортСтроительствоТехнологияТуризмФизикаФилософияФинансыХимияЧерчениеЭкологияЭкономикаЭлектроника






Морфологические различия между лицами мужского и женского пола






 

В первые три года жизни существенных различий по длине и массе тела, а также по окружности грудной клетки нет. Мальчики немного превосходят девочек в длине тела — до 10 лет, а в массе — примерно до 8, 5 лет. Однако в связи с более ранним (на 1-1, 5 года) началом полового созревания у девочек они начинают превосходить мальчиков в длине тела (с 10 до 13 лет) и в массе (с 9 до 14 лет). После 12 лет у девочек снижаются темпы увеличения роста, а с 14 лет — и темпы увеличения массы тела. У мальчиков же в этот период физическое развитие протекает весьма интенсивно. В результате в 17 лет масса тела юношей превышает таковую девушек на 12 %, а рост и окружность грудной клетки — на 9 %. Формируются мужские пропорции тела: широкие плечи и спина, таз существенно уже, чем плечи, сравнительно длинные конечности, центр тяжести находится выше пояса, тогда как у женщин — ниже. Мышечная ткань у мужчин развита значительно лучше, чем жировая, в связи с чем хорошо выражен обычно и рельеф мышц.

Дж. Таннер (1968) отмечает, что девочки уже с рождения опережают мальчиков по оссификации (замещение в скелете хрящевой ткани костной) приблизительно на 20 %. Оссификация скелета у девочек в возрасте 10-12 лет на 2-3 года опережает таковую у мальчиков. Однако женщины обладают более хрупким скелетом.

М. В. Антропова (1983) приводит данные темпов изменения антропометрических показателей у детей по отношению к данным взрослых (дефинитивным показателям), из которых следует, что в каждый возрастной период детства девочки морфологически развиваются б о льшими темпами, чем мальчики (табл. 1.1).

 

Таблица 1.1. Суммарные приросты основных соматометрических показателей ребенка в отдельные возрастные периоды его развития (средние величины), проценты

Показатель Пол Грудной возраст Раннее детство Первое детство Второе детство
Длина тела Мальчики 14, 5 11, 1 15, 1 13, 6
Девочки 15, 0 11, 6 16, 6 16, 0
Длина ноги Мальчики 9, 7 16, 6 19, 0 17, 0
Девочки 11, 4 17, 2 20, 6 20, 8
Длина туловища Мальчики 12, 0 11, 6
Девочки 13, 2 15, 6
Окружность грудной клетки Мальчики 16, 8 4, 0 8, 0 11, 2
Девочки 16, 8 4, 7 7, 5 13, 5
Масса тела Мальчики 10, 3 5, 8 12, 3 18, 8
Девочки 11, 8 7, 6 14, 2 25, 7

Примечание. За 100 % приняты абсолютные величины соматометрических показателей взрослого условного человека, приведенные в книге: Человек. Медико-биологические данные. — М., 1977.

 

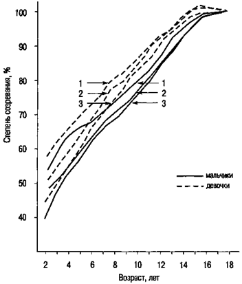
Согласно данным Дж. Таннер (1968), темпы развития конечностей выше у девочек. Уже с рождения по пропорциям тела девочки ближе к дефинитивному (окончательному) состоянию по сравнению с мальчиками. Это видно на рис. 1.2, где представлены градиенты созревания (степень приближения в данный момент к дефинитивным размерам, принятым за 100 %) верхних конечностей у девочек и мальчиков.

 

(1 — кисти рук; 2 — предплечье; 3 — плечо)

Рис. 1.2. Градиенты созревания верхних конечностей

 

Большие темпы роста и созревания девочек по сравнению с мальчиками можно объяснить тем, что в крови первых имеется б о льшая концентрация гормона роста — соматотропина, чем в крови вторых (рис. 1.3).

 

Рис. 1.3. Содержание соматотропина в плазме крови у детей на разных стадиях полового созревания

 

< Мужчины взрослеют к шестидесяти годам, а женщины — примерно к пятнадцати. Дж. Стивенс, английский писатель>

Правда, надо отметить, что все приведенные данные не учитывают тип телосложения детей, который может внести в темпы развития мальчиков и девочек существенные коррективы. Так, по данным А. Б. Хазановой, средний возраст прорезывания зубов меньше у девочек только дигестивного типа телосложения, при наличии же других типов (торакального, мышечного и неопределенного) зубы быстрее прорезываются у мальчиков (табл. 1.2).

 

Таблица 1.2. Средний возраст (месяцы) прорезывания зубов среди детей грудного возраста Москвы

Пол Тип телосложения
Торакальный Мышечный Дигестивный Неопределенный
Мальчики 6, 0 7, 5 7, 1 6, 5
Девочки 7, 7 7, 9 6, 0 7, 1

 

В возрасте 6 лет девочки дигестивного типа превосходят мальчиков астеноидного, мышечного и торакального типа по весу и обхвату груди и почти не уступают мальчикам астеноидного типа по длине тела (табл. 1.3).

 

Таблица 1.3. Антропометрические показатели 6-летних детей в зависимости от типа конституции (по данным Т. В. Панасюк)

Пол Тип Длина тела Вес Обхват груди
Мальчики Астеноидный 116, 8 20, 7 57, 0
Торакальный 117, 1 21, 7 57, 8
Мышечный 117, 4 22, 8 58, 8
Дигестивный 119, 0 26, 7 64, 0
Девочки Астеноидный 116, 7 20, 2 55, 7
Торакальный 115, 1 20, 3 55, 6
Мышечный 115, 0 22, 0 57, 3
Дигестивный 116, 8 25, 0 66, 6

 

Несмотря на то что у взрослых женщин соматотропина в крови больше, чем у мужчин, они уступают мужчинам по физическому развитию. Связано это с тем, что на физическое развитие влияют и мужские половые гормоны (андрогены), которых у мужчин после полового созревания становится значительно больше, чем у женщин, и которые, по мнению некоторых ученых, не только сами влияют на развитие организма, но и усиливают продуцирование соматотропина. Во всяком случае, андрогены даже в качестве синергистов усиливают действие соматотропина у мужчин в гораздо большей степени, чем у женщин.

Женщины обладают меньшей длиной (в Европе — в среднем на 12 см) и массой тела (в среднем — на 10-15 кг), менее сильным связочным аппаратом, более узкими плечами, короткой и широкой грудной клеткой, широким и ниже расположенным тазом (что обусловливает более низкое расположение центра тяжести), более длинным туловищем со сравнительно более короткими конечностями (на 10 %). У мужчин рост тела заканчивается в 25-32 года, у женщин — в 17-18 лет.

У лиц мужского пола мышечная (активная) масса тела больше, чем у лиц женского пола. Эти различия начинают проявляться уже у маленьких детей, когда после первого увеличения жировых отложений в возрасте от 0 до 6 месяцев они начинают уменьшаться явно заметнее у мальчиков, чем у девочек. В подростковом возрасте у мальчиков эта тенденция сохраняется, а у девочек опять начинается рост подкожного жирового слоя.

У взрослых мужчин мышечная масса составляет около 40 % веса тела (в среднем, около 30 кг), а у женщин — около 30 % (в среднем 18 кг). При этом скелетные мышцы женщин состоят в основном из медленных мышечных волокон (т. е. сокращаются медленнее, чем быстрые мышечные волокна), что биологически целесообразно в связи с затяжными родами и необходимостью длительного натуживания. Жировая ткань, наоборот, больше развита у женщин (вследствие врожденной способности более эффективно вырабатывать жировые вещества). В среднем у женщин она составляет 25 % от веса тела, а у мужчин — 15 %. Абсолютное количество жира у женщин больше, чем у мужчин, на 4-8 кг. Поскольку жировая ткань почти не содержит воды, общее содержание воды в теле у женщин меньше, чем у мужчин.

Эти особенности телосложения имеют биологический смысл. Широкий таз — это защитное костное кольцо для внутренних половых органов и для ребенка в период его внутриутробного развития, женский таз более глубокий и больше по емкости, он обеспечивает широкий родовой путь. У женщин больше относительная длина позвоночного столба, более широкие, чем у мужчин, межсуставные щели и лучше растяжимость заполняющей их хрящевой прослойки, что создает условия для большей гибкости. Меньшая длина ног и низкое расположение центра тяжести тела обеспечивают устойчивость тела при беременности. У женщин имеется характерная постановка головки и шейки бедра: они располагаются под прямым углом к бедренной кости. Это обеспечивает большую амплитуду движений в тазобедренном суставе. Большая жировая прокладка служит защитой внутренних органов от ударов и придает телу женщин округлые формы. Кроме того, доказано, что жировая ткань является активным гормональным органом, в котором происходит синтез эстрогенов, определяющих все фемининные качества. Так, для нормальной менструальной функции женщине необходимо иметь не менее 22 % жировой массы.

В то же время преобладание мышечной массы у мужчин имеет значение для их маскулинизации, так как в мышцах происходит метаболизм андрогенов.

Таким образом, половой диморфизм размеров тела и его строения у взрослых может объясняться: а) наличием постнатальных градиентов созревания, б) различной длительностью препубертатной стадии влияния соматотропина, в) различиями в механизме воздействия андрогенов и эстрогенов на костную систему. В целом девочки от рождения ближе к своим дефинитивным пропорциям, в препубертате несколько обгоняют мальчиков в росте, пубертатный скачок у них наблюдается раньше и менее интенсивен. Отношение длины тела к длине конечностей у девушек достоверно выше, чем у юношей, что связано с относительным укорочением фазы действия соматотропина и ранним закрытием эпифизарных щелей.

В период полового созревания у мальчиков происходит увеличение и изменение формы гортани. Особенно существенно изменяется щитовидный хрящ, образующий характерный гортанный выступ — кадык («адамово яблоко»). Его пластинки сходятся не под тупым углом, как у девочек, а под острым. Эта морфологическая особенность имеет следствием и появление у мужчин функциональной особенности. Вследствие увеличения объема гортани и удлинения голосовых связок происходит понижение голоса, примерно на одну октаву в сравнении с предшествующим периодом. При этом изменяется тембр голоса и другие его качества, причем изменения бывают как в лучшую, так и в худшую сторону. Поэтому по качеству пения мальчика нельзя предсказывать, каким певцом он станет после ломки (мутации) голоса. Печальный тому пример — Робертино Лоретти.

Период полового созревания высвечивает еще одно различие в развитии мужского и женского организма. Как у девочек, так и у мальчиков под влиянием гормона гипофиза фоллитропина начинает развиваться молочная железа: увеличение ткани железы непосредственно под ореолой — пигментированным кружком кожи вокруг соска. Однако для окончательного развития молочных желез необходимо содружественное влияние фоллитропина и женских половых гормонов. Поэтому у девочек такое развитие происходит, а у мальчиков, у которых женских половых гормонов мало, а тестостерона, который тормозит развитие этих желез, много, наблюдается обратное развитие молочных желез.

Правда, у некоторых мальчиков-подростков молочные железы могут увеличиваться до значительных размеров (это явление называется гинекомастией, от греч. gyne — женщина, mastos — молочная железа). Связано это как с увеличенным выделением фоллитропина, так и с повышенной чувствительностью к нему ткани молочной железы.

В период полового созревания начинают проявляться различия между лицами мужского и женского пола в оволосении. Первое различие проявляется в лобковом оволосении. У большинства мужчин оно характеризуется линией волос, поднимающейся вверх в виде клина. Правда, примерно у каждого шестого мужчины характер лобкового оволосения приближается к женскому, характеризующемуся ровной горизонтальной линией, так что поверхность, покрытая волосами, имеет форму треугольника, вершиной обращенного вниз.

Второе различие в оволосении состоит в том, что у мужчин волосы начинают расти на лице (сначала над верхней губой, а потом и на подбородке), на груди, спине и ногах (распространение волос на теле называется гипертрихозом).Эти особенности мужского оволосения связаны с тем, что под влиянием мужского полового гормона тестостерона пушковые волосы превращаются в так называемые длинные. Разная волосистость мужчин определяется различной чувствительностью у них кожи к тестостерону и различным количеством этого гормона. Последнее определяет и тот факт, что гипертрихоз значительно реже и в меньшей степени выражен у женщин.

В зрелом возрасте различие в оволосении заключается в том, что многие мужчины становятся лысыми, а среди женщин таковых нет.

Подводя итог, можно сказать, что по темпам морфологического развития девочки опережают мальчиков, однако это не обусловливает их преимущество в абсолютных морфологических показателях, которое с каждым годом все больше увеличивается в пользу мальчиков. Так, средний вес при рождении мальчиков приблизительно на 5 % больше, чем девочек, а к 20 годам разница увеличивается до 20 %; увеличение разницы в росте происходит от 1-2 % в детстве до 10 % к 20 годам.

Половые различия в представленности морфологических типов конституции. Хотя наблюдается большая изменчивость типов конституции с возрастом и образом жизни, все же можно отметить, что, по данным большинства авторов, у лиц мужского пола чаще отмечается мышечный тип, а у лиц женского пола — астеноидный или торакальный (А. В. Гордина, Т. В. Панасюк, 1975; С. С. Дарская, 1975; Ю. Е. Лукоянов, С. А. Детлаф, 1975; Е. С. Рысева с соавторами, 1975; В. С. Соловьева, 1975). Последний из перечисленных авторов отмечает, что численность мальчиков чистого мышечного типа с возрастом увеличивается: с 8 до 13 лет — от 20 до 40 %, а в более старших возрастах — до 50 %. В то же время на протяжении школьного возраста у мальчиков уменьшается процент чистого торакального и особенно дигестивного типа, которые становятся смешанными с признаками мышечного типа.

О различиях в строении мозга мужчин и женщин. В последние годы появляется все больше публикаций о различиях в строении головного мозга у мужчин и женщин (Alien et al., 1989; Hines, Green, 1991; Swaab, Friers, 1985; Goy, McEwen, 1980; McLusky, Naftolin, 1981). Некоторые авторы указывают на то, что передняя спайка, т. е. структура, участвующая в обмене информацией между полушариями мозга, у женщин больше, чем у мужчин. Это могло бы объяснить отмечаемые невропатологами у женщин б о льшие компенсаторные возможности при поражении одного полушария за счет другого. Однако другие исследователи выявили противоположные результаты: передняя спайка была больше у мужчин, чем у женщин.

Рядом нейрофизиологов найдены б о льшие размеры у мужчин третьего промежуточного ядра переднего гипоталамуса, связанного с поведением, в том числе и сексуальным (подробно о роли этого ядра говорится в разделе 9.9). Однако пока это только единичные находки, требующие своего подтверждения.

 


Поделиться с друзьями:

mylektsii.su - Мои Лекции - 2015-2026 год. (1.535 сек.)Все материалы представленные на сайте исключительно с целью ознакомления читателями и не преследуют коммерческих целей или нарушение авторских прав Пожаловаться на материал