Студопедия

Главная страница Случайная страница

КАТЕГОРИИ:

АвтомобилиАстрономияБиологияГеографияДом и садДругие языкиДругоеИнформатикаИсторияКультураЛитератураЛогикаМатематикаМедицинаМеталлургияМеханикаОбразованиеОхрана трудаПедагогикаПолитикаПравоПсихологияРелигияРиторикаСоциологияСпортСтроительствоТехнологияТуризмФизикаФилософияФинансыХимияЧерчениеЭкологияЭкономикаЭлектроника






Половые особенности мотивационной сферы






 

Внешне- и внутреннеорганизованная мотивация. Под внешнеорганизованной мотивацией я понимаю такой процесс формирования человеком мотива, который происходит под значительным влиянием извне (когда другие люди отдают приказы, распоряжения, советы). Внутреннеорганизованная мотивация — это процесс формирования мотива, при котором человек исходит из имеющейся потребности, без постороннего вмешательства в выбор цели и способы ее достижения (подробно об этих видах мотивации говорится в моей книге «Мотивация и мотивы». — СПб.: Питер, 2000).

Ш. Берн отмечает, что «социальные стереотипы, касающиеся гендеров, могут вынудить нас поверить, что по сравнению с мужчинами женщины — более конформны, легкоубеждаемы и управляемы из-за своей зависимости и подчиненности (Eagly, Wood, 1985)» (2001, с. 112). Действительно, в работе А. В. Визгиной и С. Р. Пантилеева (2001) показано, что при самоописаниях склонность к подчинению рассматривается женщинами как социально желательная характеристика. Считается, что в любом возрасте представители женского пола более склонны обращаться к авторитетам в определении своей позиции (еще М. Н. Лапинский писал, что «Женский ум больше верит самому авторитету, оставляя без внимания тот путь, которым он пришел к данному выводу» (1915, с. 83)), а при каких-либо затруднениях более склонны придерживаться установленных норм поведения, и что в школе девочек легче заставить выполнить какие-либо поручения.

Как пишут Д. В. Колесов и Н. Б. Сельверова (1978), «для девочки достаточно сознания того, что она действует так, как с нее спрашивают, лишь бы ей внушили, что в этом есть необходимость и смысл. Мальчики же обязательно должны сами понять смысл и значение мероприятия: если они этого смысла не обнаружат, то, как бы их ни убеждали, что " это нужно", активности не проявляют» (с. 27).

«Самостоятельность является символом успешности, могущества и состоятельности «марсиан» (т. е. мужчин. — Е. И.).

Если женщины смогут понять данную особенность марсиан, это, безусловно, поможет им понять, почему мужчины не любят, когда их поправляют или говорят им, что надо делать. Дать мужчине совет, которого он не просил, равнозначно предположению того, что он не знает, что делать, или не может справиться с этим самостоятельно. Это сильно задевает мужчин, потому что вопрос состоятельности очень важен для них.

Поскольку марсианин справляется со своими проблемами самостоятельно, он крайне редко о них говорит — лишь в тех случаях, когда ему необходим совет человека более опытного, чем он сам. Марсианин совершенно логично обосновывает свое поведение: «Зачем я буду вмешивать в свое дело кого-то еще, если смогу справиться с ним сам?» И остается наедине со своей проблемой, за исключением тех случаев, когда ему нужна помощь в поиске решения. А просьба о помощи в тех случаях, когда можно справиться самому, считается проявлением слабости» (Дж. Грей, 2001, с. 479).

Эта точка зрения господствовала до конца 70-х гг. XX в. вопреки тому, что 82 %исследований, сравнивавших мужчин и женщин на предмет убеждаемости, и 74 % исследований, в которых искали гендерные различия в конформности, никаких различий не обнаружили, пишет Ш. Берн, ссылаясь на работы Игли с соавторами (Eagly, 1978; Eagly, Wood, 1985). Но действительно ли это так?

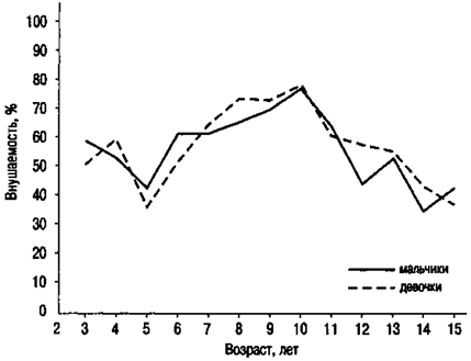
Известно, что лица женского пола более внушаемы, чем лица мужского пола (В. А. Петрик, 1977; Л. Левенфельд, 1977, И. Ф. Манилов, 1997). Правда, как следует из данных А. И. Захарова (1998), это наблюдается не во всех возрастных группах (рис. 6.3).

 

Рис. 6.3. Внушаемость лиц мужского и женского пола

 

Женщины более податливы к групповому давлению (более конформны), чем мужчины, о чем подробно говорилось в разделе 6.1. По данным Э. С. Чугуновой (1974), у девушек по сравнению с юношами наблюдается более частый выбор профессии по советам родных и знакомых.

Таким образом, мотивация лиц женского пола более внешнеорганизована, т. е. мотив легче формируется под давлением извне, а мотивация лиц мужского пола — более внутреннеорганизована, т. е. исходит из понимания смысла и личной значимости того, что надо делать.

Потребности. А. В. Ермолин (1996) выявил, что при объяснении поступка «потребности» чаще называются лицами мужского пола, а «долженствование» — лицами женского пола. Это согласуется с данными ряда авторов о том, что школьницы больше предрасположены к усвоению общественных норм и требований.

В исследовании Ю. Е. Кочневой и О. А. Шибалиной (2000) выявлено, что мужчины демонстрируют б о льшую потребность в познании, чем женщины.

Мотив (потребность) достижений. Распространено мнение, что мужчины в большей степени, чем женщины, придают значение победам, превосходству (Sidanius et al., 1994), у них выше конкурентность (K. Bartol, D. Martin, 1986; S. Cross, L. Madson, 1997; E. Maccoby, C. Jacklin, 1978; G. Powell, 1990), а у женщин мотив достижения ниже, чем у мужчин, и они не склонны строить в отношении своей профессиональной карьеры далеко идущие планы. У ряда женщин, занятых в традиционно женских сферах профессиональной деятельности (педагогика, социальная работа, сестринское дело), как показали исследования американских психологов, это действительно имеет место. Однако профессиональные планы женщин, занятых в сфере коммерции, юриспруденции и медицины, оказались очень близки тем, которые строят в отношении своей карьеры мужчины, занятые аналогичными видами деятельности. Это соответствует выводу, который сделан в работе Макклеланда с сотрудниками (D. McClelland et al., 1953): половые различия в мотивах достижения необходимо рассматривать в соответствии с типом цели. Парадоксальность и неустойчивость половых различий в силе мотива достижения, получаемые в разных исследованиях, X. Хекхаузен (2001) тоже склонен объяснять различиями в том, какая ценностная ориентация превалирует у женщин — мужская (интеллектуальная) или женская (семейно-бытовая). Очевидно, именно с большей ориентацией на учебу можно связать лучшую успеваемость и больший мотив достижения в учебе у учащихся девочек и девушек по сравнению с учащимися мальчиками и юношами (E. Maccoby, C. Jacklin, 1978).

Так, по данным казанских психологов (Психологические..., 1977) потребность в достижениях у женщин несколько выше, чем у мужчин (соответственно 13, 3 и 12, 8 балла). Результаты моего исследования тоже показали, что у девушек чаще, чем у юношей, встречается высокий уровень мотива (потребности) достижения (32, 2 % против 20, 0 % у юношей). То же можно сказать и в отношении среднего уровня мотива достижения: у девушек он найден в 60, 7 % случаев, а у юношей — в 48 % случаев. Еще более резкие различия выявляются при сравнении юношей и девушек с низким уровнем мотива достижения: у девушек он найден только в 7, 1 % случаев, а у юношей — в 32, 0 % случаев. В среднем для группы девушек мотив достижения равен 15, 9 балла, а для группы юношей — 8, 8 балла.

С другой стороны, в работе И. Мацека и Й. Безака (1973) показано, что при просьбе повысить темп точностной работы мотивация у мальчиков по сравнению с девочками оказалась более сильной.

Существуют три точки зрения на проявление мотива достижений у мужчин и женщин. Первая состоит в том, что женщины иначе мотивированы на достижения, чем мужчины. Вторая — что мужчины и женщины мотивированы разными потребностями: для женщин потребность в аффилиации (эмоциональном принятии) важнее, чем потребность в достижениях. Третья — мужчины и женщины обладают мотивом достижений в равной степени, но реализуют его в разных видах деятельности (Н. В. Ходырева, 1997).

Первая точка зрения находит подтверждение в данных Д. Спенса и Р. Хельмрайха, приведенных в статье К. До (K. Deaux, 1985). Мотив достижения изучался авторами в трех сферах: совершенствование, соревнование, достижение результата. На студенческой выборке было выявлено, что у женщин выше мотивация достижения результата, у мужчин — мотивация совершенствования и соревнования. В других выборках (атлеты, бизнесмены, психологи) различия между мужчинами и женщинами по мотивации достижения результата и совершенствования были меньшими, а по соревновательности различия (в пользу мужчин) были такими же, как у студентов.

Эти данные могут объяснить различия в мотивах учебной деятельности студентов разного пола, выявленные в книге «Вопросы практической психодиагностики...» (1984): у мужчин больше была выражена направленность на получение знаний и профессии, а у женщин — направленность на получение диплома. Говоря другим языком, у женщин было более выражено стремление к достижению результата (диплома), а у мужчин — совершенствование (получение профессиональных знаний).

Половые различия в мотиваторах. Под мотиваторами я подразумеваю факторы, влияющие на принятие человеком решения о том, чем и каким способом должна быть удовлетворена потребность. Как показано А. В. Ермолиным, мужчины чаще называют в качестве мотиватора оценку своих возможностей, своего состояния, а женщины в той же ситуации ориентируются на то, как они воспринимаются со стороны (идет им или нет та или иная часть гардероба и т. п.).

Различия в ценностях. При мотивации своего поведения человек часто руководствуется теми ценностями, которые у него сформированы в процессе его жизни и воспитания. В ряде работ выявлены различия в значимости тех или иных ценностей у субъектов мужского и женского пола. Однако полученные данные весьма разноречивы и с трудом укладываются в какую-то схему. Это зависит как от различного набора предъявлявшихся ценностей, так и от возрастных и социальных особенностей опрашиваемых, а также от социальной обстановки в обществе.

Г. Оллпорт с соавторами (G. Allport et al., 1951) выявили, что женщины на первое место ставят эстетические, социальные и религиозные, т. е. духовные ценности. Для мужчин наиболее важными являются теоретические, экономические и политические ценности, что можно связать с их интересом к абстрактным знаниям, потребностью в практическом успехе и стремлением к престижу и власти.

Однако времена меняются, а вместе с ними нравы и ценности. По данным А. И. Пенькова (2000), у девушек на первом месте в качестве ценности стоит материальное положение, а духовные ценности и креативность выражены меньше всего. По данным Е. Ф. Рыбалко и Н. Г. Крогиус (1998), у девушек 9-х и 10-х классов на первом месте находится «безопасность семьи и близких». И это не случайно, учитывая в каком бедственном материальном положении в годы перестройки оказалась б о льшая часть населения нашей страны и какая криминогенная обстановка сложилась в стране.

Конечно, молодость и сложившийся веками уклад жизни берут свое, поэтому ведущими ценностями как у юношей, так и у девушек остаются «здоровье», «настоящая дружба» и «семейная жизнь» (последняя имеет больший вес у девушек). Кроме того, для юношей ведущей ценностью является «свобода действий и поведения», а для девушек — «уверенность в себе» (Ч. А. Шакеева, 1996; Е. Ф. Рыбалко и Н. Г. Крогиус, 1998; А. А. Реан и др., 1999; А. И. Пеньков, 2000). Любимая работа и приятное времяпрепровождение имеют одинаковую значимость, но значительно уступают вышеназванным ценностям (Ч. А. Шакеева, 1996). Настораживает то, что, по данным этого автора, на последних местах находятся такие ценности, как чувство долга, чистая совесть, развитие своих способностей. Не вселяют оптимизма и данные А. И. Пенькова: у молодых людей в возрасте от 17 до 30 лет, имеющих в основном высшее образование или обучающихся в вузе, наименее значимыми оказались такие ценности, как развитие себя (познание своих индивидуальных особенностей, постоянное развитие своих способностей и личностных качеств) и креативность (реализация своих творческих возможностей, стремление изменить окружающую действительность).

Другие ценности и другая их значимость для мужчин и женщин выявлены в работе Т. В. Андреевой (1998) (см. табл. 6.3).

 

Таблица 6.3. Ценности мужчин и женщин (по данным Т. В. Андреевой, 1998)

Мужчины Женщины
Творчество Работа Познание Любовь Друзья Свобода Удовольствие Познание Друзья Равенство Творчество Свобода Любовь Семья Материальная обеспеченность

 

По данным А. И. Пенькова, среди сфер жизни, наиболее способствующих реализации доминирующих смыслов и ценностей, мужчины выбрали общественную и семейную жизнь, а профессиональная жизнь и сфера развлечений оказались менее значимыми. У женщин ведущими сферами жизни были обучение и образование, увлечения. Общественная и профессиональная жизнь имеют меньшую значимость.

Таким образом, традиционные представления о том, что для мужчин наиболее значима профессиональная жизнь, а для женщин — семейная, в исследовании А. И. Пенькова не подтвердились. Объяснение этому, возможно, следует искать в перестройке психологии человека в переживаемый нами период «дикого капитализма» с соответствующими ему ценностями.

Роль возраста и жизненного опыта показана в работе А. А. Игнатьевой (2001). Так, если у юношей на первом месте среди терминальных ценностей стоит здоровье, затем в равной степени интересная работа, друзья и любовь, а также свобода, то у взрослых мужчин на первом месте стоит общественное признание, затем здоровье. Если у девушек первое место занимает любовь, затем друзья, материально обеспеченная жизнь, здоровье, счастливая семейная жизнь, интересная работа и свобода (рис. 6.4), то у женщин первое место занимает материально обеспеченная жизнь, затем свобода и здоровье.

 

Рис. 6.4. Терминальные ценности юношей и девушек

 

В то время как у юношей выше, чем у девушек, значимость таких ценностей, как здоровье, интересная работа, свобода, жизненная мудрость, творчество, познание, развитие, развлечения, продуктивная жизнь, у взрослых мужчин б о льшую значимость, чем у женщин, имеют такие ценности, как общественное признание, друзья, познание, развитие, творчество.

Если для девушек выше, чем для юношей, значимость любви, материально обеспеченной жизни, друзей, счастливой семейной жизни, уверенности в себе, то для женщин, по сравнению с мужчинами, — материально обеспеченная жизнь, интересная работа, свобода и продуктивная жизнь.

Такие же возрастно-половые различия выявлены А. А. Игнатьевой и в отношении выраженности инструментальных ценностей. Если у юношей на первом месте стоит жизнерадостность, затем образованность, независимость, твердая воля, рационализм, честность и воспитанность, то у мужчин на первом месте стоит образованность и лишь затем независимость и жизнерадостность. Если у девушек на первом месте находится жизнерадостность, затем идут образованность, независимость, ответственность, твердая воля и воспитанность (рис. 6.5), то у женщин ведущей становится независимость, а за ней идут высокие запросы, образованность и жизнерадостность.

 

Рис. 6.5. Инструментальные ценности юношей и девушек

 

Если для юношей выше, чем для девушек, значимость твердой воли, рационализма, самоконтроля, честности и эффективности в делах, то для мужчин более значимыми, чем для женщин, являются такие ценности, как жизнерадостность, воспитанность, образованность, ответственность, терпимость. В то время как девушки сильнее юношей ценят жизнерадостность, ответственность, смелость в отстаивании своего мнения, чуткость, широту взглядов, терпимость, женщины более высоко, чем мужчины, оценивают такие ценности, как высокие запросы, независимость, эффективность в делах, не отвергая при этом и такие ценности, свойственные девушкам, как смелость в отстаивании собственного мнения и чуткость.

Возрастные изменения ценностей у мужчин и женщин выявлены также К. Хорни (табл. 6.4). Как видно из таблицы, в зрелом возрасте семья становится главной ценностью как для мужчин, так и для женщин.

 

Таблица 6.4. Десять невротических потребностей (ценностей), по К. Хорни

Мужчины Женщины
20-23 года 30-33 года 20-23 года 30-33 года
Творчество Семья Любовь Семья
Интересная работа Здоровье Семья Уверенность в себе
Любовь Материальная обеспеченность Хорошие друзья Творчество
Семья Продуктивная жизнь Интересная работа Чуткость и терпимость
Хорошие друзья Твердая воля Творчество Хорошие друзья
Свобода Жизнерадостность Познание Широта взглядов, образованность

 

Несмотря на разнобой в полученных данных, можно выделить некоторые половые различия в ценностях, встречающиеся в большинстве исследований. Для мужчин главными ценностями являются здоровье, интересная работа, друзья и свобода; для женщин — семья, уверенность в себе, материальная обеспеченность.

Деньги как ценность. Как отмечает А. Фенэм (A. Furnham, 1984), женщины больше, чем мужчины, подвержены фантазиям и навязчивым идеям о деньгах, они больше верят, что заработок должен зависеть от усилий и способностей работника. Правда, при обследовании представителей 43 стран (R. Lynn, 1994) было выявлено, что и у мужчин имеется тенденция придавать деньгам повышенную ценность (исключение составили лишь 2 страны). Предполагается, что это связано с большей склонностью мужчин к соперничеству, а между этой склонностью и представлениями о ценности денег имеется тесная корреляция.

По мнению Р. Белка и М. Валендорфа (R. Belk, M. Wallendorf, 1990), женщины думают о деньгах как о способе приобретения вещей, а мужчины — власти. Однако по данным, которые предоставили К. Ямамучи и Д. Темпер (K. Yamamuchi, D. Temper, 1982), именно женщины чаще используют деньги как орудие в борьбе за власть.

По данным М. Принс (M. Prince, 1993) и М. Линн (M. Lynn, 1991), женщины выражают более сильную фрустрацию по поводу отсутствия денег и больше завидуют тем, кто их имеет. Мужчины реже, чем женщины, испытывают по поводу денег чувство беспомощности, депрессии, гнева, зависти, стыда и паники и чаще — восхищения, счастья.

В. Рубинштейн (W. Rubinstein, 1981) отмечает, что мужчины более доверчивы и уверены в себе в финансовых вопросах, больше удовлетворены своей финансовой ситуацией и оптимистичнее смотрят на свое будущее материальное положение. В. Рубинштейн, однако, считает, что вопреки распространенному мнению мужчины и женщины придают одинаковое значение финансам.

Различия в интересах и предпочтениях. Дж. Бердвик (J. Bardwick, 1970), изучив интересы и предпочтения дошкольников разного пола, отмечает, что у девочек проявляется больший интерес к установлению межличностных отношений, у мальчиков — деловая ориентировка, интерес к решению конструктивных задач.

При сопоставлении интересных для учащихся средней школы тем лекций, касающихся «сфер жизненных интересов» (P. Symonds, 1937), выявилось, что мальчики на первые места поставили темы о физическом здоровье, безопасности и деньгах, а также более открыто проявляли интерес к сексу. Девочек заботило обсуждение вопросов о личной привлекательности, личностной философии, режиме дня, психическом здоровье, манерах, личностных качествах, домашних и семейных взаимоотношениях.

Как отмечают А. Г. Хрипкова и Д. В. Колесов (1982), в центре внимания девочки, начиная с раннего возраста, находится человек и сфера его непосредственного бытия, у мальчиков же интересы направлены на относительно отдаленные предметы и явления, порой весьма далекие от того, что может входить в круг их прямых обязанностей. Это, полагают авторы, объясняет, во-первых, почему у девочек имеются лучшие знания о себе, почему они уделяют большее внимание своей внешности, особенностям внешности и поведению окружающих, проявляют больший интерес к внутреннему миру (не случайно девочки в 3-4 раза чаще ведут дневники), обнаруживают б о льшую чуткость и, во-вторых, почему у представителей мужского пола более выражена склонность отвлекаться на посторонние дела, заниматься не тем, что непосредственно требуется.

В период отрочества, как показано психологами, наблюдаются две фазы развития интересов: фаза появления новых влечений и фаза созревания интересов. В исследованиях К. Рейнингера (1924), Л. Вечерка (1926) и Г. Хетцер (1927) показано, что в протекании этих фаз имеются существенные половые различия. Первая фаза у мальчиков наступает позднее, но протекает более бурно и длительно, и характерный для нее негативизм выражен сильнее, чем у девочек.

В целом, круг интересов мальчиков, считают А. Г. Хрипкова и Д. В. Колесов, шире, чем девочек. К аналогичному выводу пришли и ленинградские психологи, изучавшие общую осведомленность (эрудицию) у студентов: у 17-18-летних юношей и девушек она практически одинаковая, но затем у юношей она возрастает, а у девушек снижается (Вопросы практической психодиагностики..., 1984).

Однако этот вывод не подтверждается результатами исследования, проведенного на большом контингенте взрослых А. К. Канатовым (2000) — табл. 6.5. По его данным, различия в широте интересов (познавательной потребности) не выявляются.

 

Таблица 6.5. Широта познавательной потребности у мужчин и женщин, баллы

Пол До 25 лет 26-40 лет 41-55 лет Старше 55 лет
Мужчины 4, 1 3, 5 3, 1 3, 6
Женщины 4, 2 3, 6 3, 4 3, 4

 

Мальчики имеют преимущество в познании чего-то особенного, более редкого, специального, но уступают девочкам в знании более простых и распространенных предметов и явлений.

Различия в интересах определяют некоторые преимущества мужского пола: б о льшую широту мышления, более широкий кругозор, лучшую способность сопоставления отдаленных предметов и явлений, большую объективность обобщения, но вместе с тем и недостатки: меньшую бытовую приспособленность, худшее понимание необходимого в сравнении с пониманием возможного, т. е. меньшую, по сравнению с женщинами, прагматичность.

Интересы в играх. Обширные исследования игровой активности, проведенные в 1920-х гг. (H. Lehman, P. Witty, 1927; L. Terman et al., 1925), выявили более частую занятость мальчиков в активной, энергичной игре, связанной с двигательной ловкостью, соперничеством, высокой степенью организации. Эта тенденция сохранилась и в конце XX в. Как отмечает И. В. Тельнюк, интересы мальчиков (в 57 %) сконцентрированы на играх с высокой двигательной активностью, состязательного характера. Девочки предпочитают игры, связанные со сферой семьи. Вместе с тем выбор деятельности детьми, по данным И. В. Тельнюк, в 75 % случаев не достаточно осознан, они не могут объяснить его причину.

Л. Браунер и Дж. Маас (C. Brauner, J. Maass, 1993) тоже показали, что мальчики наиболее высоко оценивают игры, связанные с борьбой или соревнованием, затем игры на ловкость, игры-приключения. Наименее любимыми являются логические игры. Девочкам больше всего нравятся игры на ловкость, затем логические игры, игры-приключения, и в последнюю очередь — игры, связанные с борьбой и соревнованием. Однако расхожее мнение, что мальчики предпочитают более агрессивные игры, нельзя считать окончательно подтвержденным (C. Braun, J. Giroux, 1989).

Путем наблюдения легко также установить, что мальчики дошкольного и младшего школьного возраста любят игры с передвижением транспортных средств, а девочки — создавать домашнюю обстановку, «вести хозяйство». Следовательно, игры мальчиков более динамичны, а девочек — более статичны.

Игры с двигательной активностью также различны у мальчиков и девочек. Несколько десятилетий назад девочки предпочитали прыгать через скакалку и играть в «классы»; мальчики же отдавали предпочтение лапте, игре в штандр, футболу и волейболу. Последняя игра заменилась теперь баскетболом, настольным теннисом, хоккеем.

В настоящее время значительное место в досуге детей занимают компьютерные игры. Показано, что мальчики чаще увлекаются этими играми, чем девочки, и тратят на них больше времени; например в США — в 2 раза (J. Funk, 1993) — рис. 6.6.

 

(* Франция, Германия и Российская Федерация представлены отдельными регионами.)

Рис. 6.6. Количество учащихся, играющих в компьютерные игры 4 часа в неделю и больше, проценты (M. Hickman et al., 2000)

 

Интересы к чтению, кино- и телефильмам. При выборе литературы для чтения в 1920-х гг., как показал Я. М. Шариф (1927), девочки руководствовались местными идеалами, эстетическими мотивами, а выбор мальчиков был обусловлен новаторством и изобретательностью. Исследование интересов детей к чтению в Швейцарии (F. Baumgarten-Tramer, 1945-1946) показало, что мальчики предпочитают приключения, путешествия и исследования, а девочки — любовные истории и романы о детях и семейной жизни. Имеются различия и в предпочтениях кинофильмов.

< Мальчики предпочитают фильмы, богатые приключениями и действием, а девочкам нравятся фильмы, рассказывающие о любви, личной жизни и «личном обаянии»>

По данным М. Хикман с соавторами (M. Hickman et al., 2000), мальчики смотрят телевизионные передачи несколько больше по времени, чем девочки (рис. 6.7).

 

(* Франция, Германия и Россия представлены отдельными регионами.)

Рис. 6.7. Количество учащихся, смотрящих телевизионные передачи 4 часа в неделю и больше, проценты

 

Тем не менее взрослые женщины проводят перед телевизором больше времени, чем мужчины (Nielsen, 1990). Думается, что для российской действительности это не специфично.

По данным Д. И. Фельдштейна (1988), внеучебные занятия (кружковые, спортивные и др.) больше привлекают девочек, чем мальчиков (табл. 6.6).

 

Таблица 6.6. Количество мальчиков и девочек, имеющих внеучебные занятия, проценты случаев

Возраст, лет Мальчики Девочки
10-12    
12-13    
14-15    

 

Интересы к деятельности. И. В. Тельнюк (1999), выявила половую дифференциацию в мотивации всех видов детской деятельности. Девочкам (в 65 %) нравится выполнять то, что хорошо знакомо, т. е. стереотипную деятельность, мальчики (в 67 %) предпочитают деятельность исследовательского характера. Девочкам (в 55 %) интересны хозяйственно-бытовые занятия, шитье; мальчики же предпочитают работу с деревом, конструктивную деятельность.

И. П. Шахова (1986) при изучении интересов школьников 7-9-х классов выявила, что независимо от возраста интересы мальчиков больше выражены в таких видах деятельности, как техническая, практическая, научно-техническая и научно-теоретическая, спортивная, а интересы девочек относятся в большей мере к театрально-художественной, природоведческой, сельскохозяйственной, общественной видам деятельности (рис. 6.8).

 

(I — техническая; II — научно-техническая, научно-теоретическая; III — спортивная; IV — театрально-художественная; V — природоведческая, сельскохозяйственная; VI — общественная; VII — историко-географическая)

Рис. 6.8.Показатели уровня развития интересов к разным видам деятельности у старших подростков в зависимости от пола (по данным И. П. Шаховой)

 

Различия в иерархии интересов мужчин и женщин сохраняются и в зрелом возрасте. По данным Т. В. Андреевой (1998), у мужчин чаще проявляется интерес к творчеству, затем к познанию, к работе, у женщин — к познанию, затем к творчеству, к семье.

О чем разговаривают мужчины и женщины. В ряде работ западных психологов (J. Carlson et al., 1936; C. Landis, 1927; M. Landis, H. Burtt, 1924; H. Moor, 1922; J. Watson et al., 1948) интересы изучались по обрывкам разговоров, подслушанных в оживленных местах разных городов США и Англии. В мужских разговорах наиболее распространены были такие темы, как деньги, коммерческие дела и спорт; женщины чаще говорили о других женщинах и одежде. Отмечается (Tannen, 1990), что в разговорах мужчины чаще концентрируются на задачах, а женщины — на отношениях между людьми. В группах разговоры мужчин более информативны, женщинам же важнее поделиться с подругами новостями и переживаниями, получить помощь или оказать поддержку (Dindia, Allen, 1992; Eagly, 1987).

Особенности направленности личности у мужчин и женщин. Обследование студентов казанскими психологами (Психологические..., 1977) показало, что личностная направленность больше выражена у лиц мужского пола, а на взаимодействие — у лиц женского пола, деловая же направленность выражена у тех и других одинаково. О направленности лиц мужского и женского пола можно судить и по тематике рисунков, выполненных теми и другими на свободную тему. Оказалось, что у студенток было больше рисунков по темам «Природа», «Быт», а у студентов — по темам «Спорт», «Техника».

К. Хорни (1993) отмечает, что существуют различия в том, куда направлен творческий импульс мужчины и женщины. Женский способ существования реализуется преимущественно через его направленность вовнутрь, через внимание к глубоким переживаниям и инсайтам. Мужской способ существования характеризуется направленностью творческого импульса вовне, на поиск возможностей преобразования внешнего мира через взаимодействие с ним и утверждение себя в нем. Таким образом, самореализация женщины в отличие от мужчины происходит не через поступки, а через процесс самоосознания.

Е. П. Кораблина (1999) пишет, что смыслом существования женщины является самоотречение, растворение себя, посвящение себя кому-то через принятие объекта своей любви в свой душевный мир. Для мужчины же любовь в этом понимании является лишь частью жизни, поскольку другая часть посвящена им построению внешнего (по отношению к своей субъективности) мира и поиску в нем смысла своего существования.

Гуманистическая направленность личности. Принято считать, что лиц женского пола с гуманистической направленностью значительно больше, чем лиц мужского пола, в то же время с эгоистической направленностью личности больше лиц мужского пола, чем женского. Д. И. Фельдштейн связывает эти различия с социальными ролями, выработанными обществом для лиц мужского и женского пола.

Однако, как пишет К. Муздыбаев (2000), предположение о большей эгоистичности мужчин не подтверждается. В разном возрасте соотношения между лицами мужского и женского пола по эгоизму разные: до 19 лет юноши более склонны к эгоизму, чем девушки, от 20 до 40 лет различий нет, а после 40 лет более эгоистичными становятся женщины.

Направленность на успехнеудачу. Е. Фергюсон (E. Ferguson, 1976) считает, что у мужчин превалирует мотив успеха, а у женщин — мотив избегания неудач. К. Хорни тоже отмечает, что для юношей характерен доминирующий тип мотивации — ориентация на успех, у девушек доминирующая мотивация — избегание неудачи.

Имеются, однако, и другие данные. Так, в исследовании А. И. Винокурова (1996) выявлено, что женщины статистически достоверно по сравнению с мужчинами имеют более высокий уровень как потребности в достижении, так и избегании неуспеха в деятельности.

М. Л. Кубышкина (1997), изучавшая возрастные особенности мотива социального успеха, не обнаружила различий между юношами и девушками в распределении мотивационных тенденций (избегание неудачи, стремление к признанию, к соперничеству). Взрослые же женщины менее склонны к соперничеству, чем мужчины, они менее доминантны и активны, более склонны избегать неудач. Если у девушек надежда на социальный успех превалирует над мотивом избегания неудачи, то у женщин выявлено некоторое преобладание избегания неудачи над надеждой на социальный успех. Между юношами и мужчинами подобных различий выявлено не было. Автор предполагает, что девушки не менее юношей нацелены на социальную активность и ставят перед собой широкие задачи социальной самореализации, они столь же энергичны, не избегают соперничества и стремятся к признанию и деловому успеху. Обнаруженное же у женщин снижение стремления к признанию и соперничеству и усиление мотива избегания неудачи может свидетельствовать о том, что с годами происходит постепенная переориентация женщины с направленности на широкие социальные контакты и социальную активность на более узкие доверительные отношения и на семейный очаг.

Различия в мечтах (желаниях). Левинсон (Levinson, 1990) отмечает, что как для мужчин, так и для женщин мечта имеет центральное значение. Но если для мужчин мечты о будущем носят однородный характер и связаны с работой, то женским мечтам часто присуща раздробленность: карьера и замужество. Лишь домохозяйки имели однородную мечту: все свое свободное время они хотели посвятить обязанностям жены и матери, как это когда-то делали их собственные матери.

 


Поделиться с друзьями:

mylektsii.su - Мои Лекции - 2015-2026 год. (0.373 сек.)Все материалы представленные на сайте исключительно с целью ознакомления читателями и не преследуют коммерческих целей или нарушение авторских прав Пожаловаться на материал