Студопедия

Главная страница Случайная страница

КАТЕГОРИИ:

АвтомобилиАстрономияБиологияГеографияДом и садДругие языкиДругоеИнформатикаИсторияКультураЛитератураЛогикаМатематикаМедицинаМеталлургияМеханикаОбразованиеОхрана трудаПедагогикаПолитикаПравоПсихологияРелигияРиторикаСоциологияСпортСтроительствоТехнологияТуризмФизикаФилософияФинансыХимияЧерчениеЭкологияЭкономикаЭлектроника






Поведенческие стратегии мужчин и женщин в различных жизненных ситуациях






 

Поведение мужчин и женщин в конфликтных и фрустрирующих ситуациях. Женщины хуже справляются с эмоциональными проблемами и возникающими трудностями, сильнее переживают семейные и личные конфликты (Р. А. Березовская, 2001; И. В. Грошев, 1996).

С. Нолен-Хоксма (S. Noelen-Hoeksema, 1990) показано, что женщины, испытывая подавленность, стремятся думать о возможных причинах своего состояния. Эта реакция «тщательно обдумать» приводит к навязчивому фокусированию на проблеме и увеличивает уязвимость женщины по отношению к стресс-фактору. Мужчины, наоборот, пытаются отгородиться от депрессивных эмоций, концентрируясь на чем-то другом, например осуществляя физическую активность, чтобы таким способом разрядить возникшее негативное напряжение.

И. В. Грошев (1996) тоже выявил, что мужчины и женщины по-разному разрешают конфликтные ситуации, возникающие в семейном и домашнем кругу. Женщины проявляют больше терпимости и стремления к компромиссному примирению интересов. Мужчины в этой ситуации чаще прибегают к «крепким» выражениям и ругательствам, а женщины скорее готовы заплакать.

М. А. Круглова (1999), изучая стратегии поведения при психологической защите, выявила, что у женщин разрыв между тремя видами стратегии (избегание, агрессия и миролюбие) минимален, в то время как у мужчин наблюдается либо избегание (стремление уйти от конфликта), либо агрессия. Миролюбие у них выражено значительно меньше, чем у женщин.

По данным И. М. Никольской (2001), сравнивавшей копинг-стратегии мальчиков и девочек 1-5-х классов в трудных и неприятных для них ситуациях, мальчики в 2 раза чаще, чем девочки, обращаются к стратегии «борюсь, дерусь» и в 1, 5 раза чаще — к стратегии «дразню кого-нибудь». Таким образом, и эти данные подтверждают, что мальчики чаще склонны прибегать к стратегии, связанной с проявлением агрессии. Девочки достоверно чаще мальчиков используют стратегии «обнимаю, прижимаю, глажу», «плачу, грущу». Это указывает на их б о льшую потребность в тесной привязанности, в эмоциональной разрядке через слезы и жалость к себе и другим, на трудности самораскрытия.

Несколько иные данные получены Ю. М. Чуйковой (2001): при преодолении конфликтов у мужчин больше выражены, чем у женщин, соперничество и особенно компромиссы, а у женщин — приспособление и сотрудничество. Стратегия избегания, по ее данным, была выражена у мужчин и женщин одинаково.

Во время ссоры, как отмечает И. В. Грошев, женщины чаще вспоминают старые грехи и ошибки, допущенные супругом в прошлом. Мужчины же больше придерживаются проблемы, из-за которой возникла ссора.

Женщины при разрешении конфликтов больше ориентируются на чужое мнение, что объясняется, по мнению И. В. Грошева, их большей конформностью. Отсюда при разрешении конфликта с участием женщин велика роль посредника. Поэтому, пишет Р. А. Березовская, женщины чаще обращаются за помощью к другим людям, психологам, врачам, психотерапевтам, пытаясь снять психическое напряжение путем разговора. При этом, как показано И. В. Грошевым, мужчины выбирают посредника по его деловым и статусным параметрам, а женщины придают значение и его внешности. И. М. Никольская (2001) отмечает, что женщины в трудную минуту больше нуждаются не только в какой-то реальной значимой фигуре, но и в «воображаемой» (в том числе и Бога), чтобы опереться на ее силу и мощь и вступить с ней в разные формы вербального и невербального взаимодействия. Например, девочки, как отмечает И. М. Никольская, часто используют такие приемы, как «говорю сама с собой», «молюсь». Это объясняет, как мне кажется, большую религиозность женщин, а также мужчин с выраженным фемининным личностным профилем. Л. Френсис и П. Пирсонс (L. Francis, P. Pearsons, 1993) выявили, например, что у регулярно посещающих церковь мужчин «фемининный» личностный профиль обнаруживается значительно чаще, чем у других мужчин, и пришли к выводу, что религиозность мужчин более гармонично сочетается с «фемининным мировоззрением».

< Мужчины всегда правы, а женщины никогда не ошибаются. Эльзасская пословица >

Половые различия в производственных конфликтах, по данным И. В. Грошева, выражаются в следующем. Мужчины больше предрасположены к конфликтам, связанным непосредственно с трудовой деятельностью. Для женщин характерна тенденция к большей частоте конфликтов в связи с их личными потребностями. По данным Р. А. Березовской (2001), мужчины значимо чаще используют такие стратегии, как анализ ситуации и систематизация рабочего времени.

Изучение типов и направленности фрустрации в группах мужчин и женщин И. А. Юровым (1981) показало, что в частоте проявления типов реакций (O-D — с фиксацией на препятствии, N-P — с фиксацией на удовлетворении потребностей, E-D — с фиксацией на самозащите) особых различий нет, а по направленности реакций у мужчин несколько чаще встречается вариант E (внешнеобвинительные реакции), а у женщин — вариант M (безобвинительные реакции — табл. 8.1).

 

Таблица 8.1. Средние значения типов и направленности фрустрированности мужчин и женщин, процент случаев

Испытуемые Тип реакции Направленность реакции
O-D E-D N-P E I M
Мужчины 33, 7 47, 5 18, 7 44, 2 22, 0 33, 7
Женщины 34, 0 48, 5 17, 5 38, 5 23, 0 38, 5

 

В социально-фрустрирующей ситуации женщинам более присуща интрапунитивная направленность реакции, связанная с самообвинением (А. И. Винокуров, 1996).

Половые различия в выраженности видов психологической защиты. По данным Е. Ф. Рыбалко и Т. В. Тулупьевой (1999), имеются достоверные различия между юношами и девушками по выраженности некоторых видов психологической защиты (табл. 8.2).

 

Таблица 8.2. Средняя выраженность различных видов психологической защиты в юношеском возрасте (в процентном отношении от максимально возможной)

Вид защиты Юноши Девушки p
Проекция 58, 5 62, 2  
Рационализация 53, 7 53, 2  
Отрицание 50, 2 47, 5  
Компенсация 45, 6 50, 9 0, 01
Вытеснение 36, 5 21, 8 0, 001
Регрессия 36, 2 38, 9  
Реактивное образование 32, 1 51, 5 0, 01
Замещение 30, 9 30, 5  
Общий уровень 42, 4 45, 1  

 

У девушек больше выражен защитный механизм по типу компенсация, реактивное образование, регрессия и проекция, у юношей — вытеснение и отрицание. Поскольку реактивное образование подразумевает подмену негативного импульса или чувства на социально одобряемый, то можно полагать, что девушки чаще скрывают от самих себя мотив собственного поведения. У юношей этот вид защиты имеет наименьшее значение, в то время как у девушек на последнем месте в качестве способа защиты стоит вытеснение.

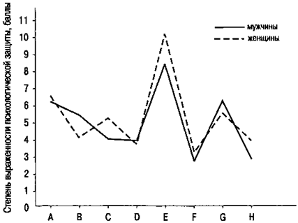
М. Д. Петраш (2001) на взрослых (работники «скорой помощи») выявила во многом сходные факты. Женщины чаще, чем мужчины, предпочитают такие защитные механизмы, как проекция, регрессия, реактивное образование, а мужчины чаще, чем женщины — вытеснение и интеллектуализацию (рис. 8.1).

 

(A отрицание; B вытеснение; C регрессия; D компенсация; E проекция; F замещение; G интеллектуализация; H реактивное образование)

Рис. 8.1. Профиль доминирующих механизмов психологической защиты у мужчин и женщин

 

«Когда марсианин расстроен, он никогда не скажет, что его беспокоит. Он ни за что не станет обременять другого марсианина своими проблемами, кроме тех случаев, когда дружеская помощь необходима. Вместо этого он становится очень тихим и замыкается в себе, чтобы обдумать свою проблему и найти решение.

Если он не может найти решение, то пытается забыть о проблеме, читая газету или играя в какую-нибудь игру. Перестав думать о проблеме, он может постепенно расслабиться. А если стресс очень тяжелый, то марсианину необходимо заняться чем-то серьезным. Например, покататься на машине, принять участие в состязании или заняться альпинизмом.

Расстроенная или подавленная обитательница Венеры, чтобы почувствовать облегчение, находит кого-то, кому доверяет и рассказывает о своей проблеме в мельчайших подробностях. Когда женщина делится переполняющими ее чувствами, ей становится легче (с. 483). Чем дольше и эмоциональнее они (женщины) говорят, тем лучше им становится. Так действуют женщины, и ожидать от них другого, значит просто не признавать то, что они — женщины... Тогда как мужчина в стрессовой ситуации сосредоточивается на одной проблеме и забывает обо всем остальном, женщина склонна перегружать себя всеми проблемами разом... Обсудив одну проблему, она остановится на минутку и затем перейдет к следующей. Таким способом женщина продлевает разговор о проблемах, тревогах, разочарованиях и трудностях.

Причем все это логически не связано и рассказывается абсолютно беспорядочно. Если женщина чувствует, что ее не понимают, она расстраивается еще больше — ведь к ее проблемам добавилась еще одна (с. 484).

...Мужчины сразу начинают предлагать решения, когда женщины говорят о своих делах. Когда женщина простодушно делится с мужчиной своими горестями или бурно рассказывает о проблемах дня, мужчина ошибочно воспринимает это за потребность в совете компетентного человека. Он надевает шляпу Мистера Всезнайки и принимается давать советы, причем это является способом... искреннего желания помочь.

...Однако та все равно расстроена — и мужчине очень трудно слушать ее, потому что предложенное им решение отвергнуто и он чувствует себя бесполезным. Он даже не представляет, что может оказать поддержку просто интересом и сочувствием. Он не знает о том, что на Венере разговоры о проблемах не являются просьбой дать совет» (Дж. Грей, 2001, с. 480).

Стратегии достижения цели. А. Монтуори (A. Montuori, 1989) отмечает, что мужское отношение к окружающему миру характеризуется напористостью, самоуверенностью, ориентацией на самоконтроль. Для того чтобы отделиться от мира, необходимо манипулировать кем-то из окружения, убеждаясь, таким образом, в своей независимости. Мужчины в большей степени сосредоточены на задаче, поэтому мужской стиль описывается как аналитический и манипулятивный. Мужская психология сконцентрирована вокруг доминантных, подчиняющих ритуалов и иерархий, где всегда есть победитель и проигравший. Мужчина убежден, что стоять на вершине ситуации — необходимое условие для выживания. Эта установка не признает альтернативы партнерского стиля, свойственного женской психологии.

Эти различия в мужской и женской психологии отметил еще Мак-Клеланд (1975), обнаруживший, что для девочек взаимодействие и взаимозависимость с окружением более значимы, чем для мальчиков, которые предпочитают продвигаться вперед самоуверенно, не отвлекаясь на то, что происходит вокруг них.

Не случайно поэтому сложилось мнение, что мужчины более самолюбивы, чем женщины. Вот какие занятные размышления по этому поводу имеются в книге Д. В. Колесова и Н. Б. Сельверовой (1978): «Женщина может быть умнее и способнее многих мужчин и прекрасно это сознавать, но ей хочется (это психологическая потребность), чтобы конкретный ее избранник был все же по этим признакам выше ее, хотя бы немного. Во всяком случае, никакая женщина ничего против этого не имеет, в отличие от мужчины. И если какая-либо женщина умнее своего мужа, то скорее ей приходится быть умнее, чем она специально стремится к этому.

...Если для мужчины достижение или успех другого человека обычно является как бы посторонним, не его личным успехом (при самой положительной оценке этого успеха), то женщина может испытывать от успеха любимого человека не меньшее удовлетворение, как если бы это был ее личный успех...

В результате этого, при прочих равных условиях, женщина уступает или склонна уступать мужчине пальму первенства, и может создаться впечатление, что у мужчины есть для этого реальные основания. Поэтому необходимо различать ситуацию, когда женщина должна решить какой-то вопрос в присутствии мужчины или надеясь на его содействие и когда она вынуждена действовать совершенно самостоятельно. Результат действия мужчины и женщины в аналогичной ситуации в подавляющем большинстве случаев будет одинаковым, но поведение женщины в обоих случаях — различно. Отдельные же мужчины сознательно используют это для того, чтобы утвердиться в мысли о собственном умственном превосходстве» (с. 25).

Не правда ли, женщина выступает в представлении этих авторов (а может быть, только одного?) как мать, которая имеет дело с неразумным, но самолюбивым дитем, подыгрывая ему и действуя по принципу: чем бы дитя ни тешилось, лишь бы не плакало? Откровенно такую позицию обозначила Г. Майзель-Гесс: «...это последнее убежище бедняги, на которого другие мужчины смотрят сверху вниз, ибо если не женщина, то кто же тогда будет глупее, чем он?» (Ф. Пробст, Г. Майзель-Гесс, 1909, с. 126).

Возрастные изменения стратегий поведения. Начиная с К. Юнга, некоторые ученые высказывают предположение, что стили совладающего поведения у мужчин и женщин с возрастом изменяются по-разному. Мужчины в старости переходят от активного стиля к пассивному. После того как они почти всю жизнь несли ответственность за других, содержали семью и принимали решения, они, вероятно, чувствуют себя вправе выразить всю сложность своей личности, включая и те ее черты, которые принято считать женскими. Чем старее они становятся, тем больше продвигаются от активного к пассивному стилю, названному Д. Гутманном (D. Gutmann, 1975) «магическая власть»; при этом стиле они отбивают атаки реальности с помощью множества приемов, таких как проекция и искажение. Женщины с возрастом начинают в большей мере проявлять «мужские» черты: властность, агрессивность и практичность.

По данным А. К. Канатова (2000), мужчины обладают более гибким поведением, чем женщины (табл. 8.3). Правда, с возрастом это различие уменьшается.

 

Таблица 8.3. Гибкость поведения мужчин и женщин, баллы

Пол До 25 лет 26-40 лет 41-55 лет Старше 55 лет
Мужчины 5, 5 5, 1 4, 3 3, 7
Женщины 5, 0 4, 4 4, 0 3, 5

 

Стратегии поведения мужчин и женщин в роли покупателей. Как отмечают И. А. Дуберштейн и Э. Э. Линчевский (1980), для большинства покупателей-мужчин характерно стремление не показаться мелочными, побыстрее принять решение, они придают большое значение приветливости продавца и чувствуют себя обязанными, если им была оказана помощь при выборе товара. Женщины дольше выбирают, чаще возражают, лучше, чем мужчины, разбираются в моде, поэтому их обслуживать труднее.

Возможно, б о льшая покладистость мужчин в роли покупателей вызывает ответный отклик у продавцов и делает их тоже более покладистыми в торгах с мужчинами, а не с женщинами. Например, Дж. Айрз (J. Ayres, 1991) установил, что машины были проданы 90 дилерами дешевле мужчинам, чем женщинам.

Женщина обычно заведует семейным бюджетом и значительно свободнее, чем мужчина, расходует деньги не только на то, что ею намечено заранее, но и на товары, покупка которых не входила в ее непосредственные планы.

По данным английских психологов, необходимость стоять в очереди приводит большинство мужчин в ярость. При покупке вещи мужчины в основном обращают внимание на ее практичность, удобство, а женщины — на стиль, модность.

 


Поделиться с друзьями:

mylektsii.su - Мои Лекции - 2015-2026 год. (1.175 сек.)Все материалы представленные на сайте исключительно с целью ознакомления читателями и не преследуют коммерческих целей или нарушение авторских прав Пожаловаться на материал