Студопедия

Главная страница Случайная страница

КАТЕГОРИИ:

АвтомобилиАстрономияБиологияГеографияДом и садДругие языкиДругоеИнформатикаИсторияКультураЛитератураЛогикаМатематикаМедицинаМеталлургияМеханикаОбразованиеОхрана трудаПедагогикаПолитикаПравоПсихологияРелигияРиторикаСоциологияСпортСтроительствоТехнологияТуризмФизикаФилософияФинансыХимияЧерчениеЭкологияЭкономикаЭлектроника






Вступление в брак мужчин и женщин






 

Возраст вступления в брак. Мужчины склонны жениться на женщинах моложе себя, причем чем они старше, тем к большей разнице в возрасте они стремятся, подбирая себе пару.

Так, юноши считают, что супруга должна быть одного возраста с ними (Н. В. Ляхович, 1999); 20-летние мужчины предпочитают жениться на женщинах лишь немного моложе себя, а 60-летние предпочитают жениться на женщинах, моложе примерно на 10 лет. Женщины в любом возрасте предпочитают мужчин лишь ненамного старше себя (Kenrick, Keefe, 1992). Например, опрос школьников 14-17 лет, проведенный Н. В. Ляхович, выявил, что 69 % девушек предпочитают супруга на 3-5 лет старше себя.

Женщины вступают в брак в более раннем возрасте, чем мужчины. Так, в СССР в 1966 г. мужчины вступали в брак в среднем в 29, 3 года, а женщины — в 27, 2 года; в 1974 г. соответственно в 25, 1 и 23, 4 года. По данным В. И. Переведенцева (1987) в 1981 г. до 20 лет вступили в брак 5, 8 % мужчин и 31, 6 % женщин, а от 20 до 24 лет — соответственно 6, 9 % и 51, 2 %. Сейчас возраст вступления в брак мужчин и женщин еще более снизился, но соотношение между мужчинами и женщинами осталось прежним.

В. Т. Лисовский (1986) привел данные, согласно которым в 1980-х гг. в СССР ежегодно вступали в брак около 800 тысяч девушек, не достигших 20 лет. Но только 100 тысяч из них выходили замуж за своих ровесников. Таким образом, в 7 случаях из 8 юношеский роман не завершался браком: девушки выходили замуж за тех, кто был старше их школьных друзей.

Поскольку мужчины вступают в брак в среднем на 2, 5 года позже, чем женщины, за эти года образуется достаточно большой «дефицит женихов» и если для 18-19-летних девушек выйти замуж проблем нет, то для женщин 20-25 лет создается определенная нехватка женихов. Правда, они ее компенсируют тем, что выходят замуж за 25-29-летних мужчин. Зато женщине 25-29 лет создать свою семью становится еще труднее. Не случайно среди этих женщин около одной пятой оказывается не замужем, так как их потенциальных мужей уже перехватили женщины более младшего возраста.

Выбор партнера. Считается, что при выборе партнера женщины проявляют себя более разборчивыми, чем мужчины. Несмотря на имеющееся между ними сходство в наиболее желательных чертах характера (сговорчивость и открытость для нового опыта, интеллект), все же как мужчины, так и женщины смотрят на своих избранников разными глазами. Женщины воспринимают мужчину прежде всего как зрелую личность, ценят в них ум, культуру, интеллигентность, доброту, порядочность. А. Г. Харчев (1979) задал замужним женщинам вопрос: «Что вы больше всего ценили в своем муже до вступления в брак?» Ответы были такими: ум (64 %), серьезность (58 %), любовь к работе (46 %), силу и мужественность, а также веселый нрав (по 44 %), общественный почет, уважение к нему других (40 %).

< Многие мужчины, влюбившись в ямочку на щеке, по ошибке женятся на девушке целиком. С. Ликок, канадский писатель>

Мужчину же прежде всего привлекает в женщине природное начало: ее внешность, фигура, походка и т. д. Вследствие этого нередки случаи, когда умные, образованные мужчины влюбляются в недалеких и красивых «пустышек», вроде «людоедки Эллочки», жены инженера Щукина из романа И. Ильфа и Е. Петрова «Двенадцать стульев».

< Брак без любви чреват впоследствии любовью без брака. Б. Франклин >

По данным социологических опросов, проведенных в нашей стране в 1980-х гг., материальную обеспеченность как мотив брака назвали всего 3, 1 % женщин, тогда как общность взглядов, интересов — около 30 %, любовь — около 50 % (В. Т. Лисовский, 1986).

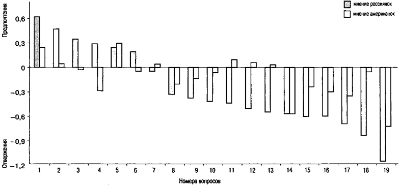
О. В. Митина и В. Ф. Петренко (2000) выявили брачные предпочтения российских и американских женщин (рис. 10.1).

 

(Вопросы: 1 — выйти замуж за человека более высокого социального статуса; 2 — выйти замуж за простого человека, хорошего хозяина, живущего «земными» проблемами; 3 — выйти замуж за человека другой национальности; 4 — выйти замуж за любимого человека с очень низкими доходами без перспективы их увеличить; 5 — выйти замуж за бизнесмена; 6 — выйти замуж за человека, посвятившего свою жизнь науке; 7 — выйти замуж за человека искусства (музыканта, поэта, артиста); 8 — выйти замуж за иностранца и уехать жить за границу; 9 — выйти замуж за военнослужащего; 10 — выйти замуж за политического деятеля; 11 — выйти замуж за рабочего; 12 — находиться на содержании у состоятельного мужчины; 13 — выйти замуж за «звезду» (спорта, эстрады, кино); 14 — выйти замуж без любви, по расчету; 15 — выйти замуж за фермера; 16 — выйти замуж за человека другой расы; 17 — не выходить замуж, полагая, что лучше прожить жизнь одной; 18 — выйти замуж за глубоко религиозного человека; 19 — выйти замуж за представителя криминальных структур)

Рис. 10.1. Брачные предпочтения российских и американских женщин

 

Наиболее предпочтительным для российских женщин (в основном это были москвички) является брак с человеком более высокого социального статуса или с простым человеком, хорошим хозяином, живущим «земными» проблемами. За этими выборами, отмечают авторы, просматривается желание найти в браке безопасность, стабильность, гарантированный уровень жизни. Для американок наиболее предпочтителен муж-бизнесмен, хотя велика доля женщин, желавших иметь мужа более высокого социального статуса.

< Когда мужчина берет жену ниже себя по званию, он не унижает себя, но возвышает свою супругу; и наоборот, заключая брак с особою более высокого звания, он и ее унижает, и сам не возвышается. Ж.-Ж. Руссо >

Существенным моментом, затрудняющим женщинам вступление в брак, является их высокий уровень образования и зарплаты. Сказывается то обстоятельство, что некоторые мужчины начинают ощущать свою неполноценность и чувствуют себя некомфортно с женщинами более образованными, особенно с теми, кто имеет ученую степень (Л. А. Коростылева, 2000). В то же время более низкий образовательный уровень женщины мужчину не смущает. Об этом свидетельствует тот факт, что уровень образования у мужчин, вступивших в брак, значительно выше, чем у женщин. То же можно сказать и в отношении зарплаты женщин: среди вступивших в брак мужчин их зарплата чаще более высокая, чем у женщин.

Важным фактором при выборе супруга являются их ростовые данные. Культурная норма в большинстве стран предписывает, что муж должен быть выше жены. Согласно одному из исследований (Gillis, Avis, 1980), лишь одна супружеская пара из 720 нарушает эту норму. Поэтому мужчины низкого роста испытывают немалые затруднения при выборе супруги. Однако нелегко выбрать себе жену и мужчинам большого роста, но причина здесь другая — они обычно пользуются большим успехом у многих женщин и избалованы их вниманием. У мужчин любого роста большим успехом пользуются женщины среднего роста (от 165 до 170 см).

По данным Л. А. Коростылевой (2000), при отказе мужчин и женщин от вступления в брак учитываются как общие, так и различные отрицательные характеристики личности друг друга. Общими для тех и других неприемлемыми характеристиками являются грубость, вспыльчивость, гневливость, пьянство, наркомания, азартные игры. Кроме того, женщины считают неприемлемыми у мужчин отсутствие или недостаточную сформированность семейных установок, безволие, недостаточность проявления положительных чувств. Мужчины не приемлют у женщин неопрятность во внешнем виде, в быту, неупорядоченный образ жизни, излишние сетования на недомогание. К существенным женским недостаткам мужчины относят также несдержанность, склонность к бурному проявлению эмоций и «взвинченность», несоответствие принятому в обществе эталону женственности, чрезмерную занятость внесемейной жизнью.

Вообще женщины относятся к браку более серьезно, чем мужчины. По данным VI Всесоюзной переписи населения СССР, в стране оказалось на 2, 5 миллиона больше замужних женщин, чем женатых мужчин. Следовательно, 2, 5 миллиона мужчин, соединившись с женщинами, семейными себя не считали.

< Мужчина женится, потому что влюбился. Женщина влюбляется, потому что хочет выйти замуж. Анри Девернуа >

Типы жен. М. С. Мацковский (1978) выделяет три типа жен. Первый тип — «жена-хозяйка», для которой важнее всего семья — муж, дети, дом. Она огромную часть времени уделяет уходу за детьми, домашнему хозяйству. Главные ее помыслы — чтобы хозяйство велось экономно, чтобы в квартире было чисто и уютно, чтобы дети были вовремя и вкусно накормлены, хорошо одеты. Она живет интересами своих близких, и для нее производственные успехи мужа, школьные успехи детей куда важнее ее собственных успехов. Слово мужа в доме — закон, и во всем, кроме хозяйственных дел, его авторитет признается неукоснительно. Однако при этом она не успевает как следует следить за собой, мало читает, редко ходит в кино, ее культурные запросы, сначала по необходимости, а потом и в силу привычки, ограничиваются телевизионными передачами. В гости она ходит только с мужем, за столом молчит или обсуждает с женщинами хозяйственные вопросы.

< Женщина стала очень самостоятельным человеком. Ей мужчина нужен только в том случае, если она его любит. Если женщина его не любит, то он мешает ей жить. Отсюда возникают просто лишние хлопоты с ненужными мужчинами. В. Нарбекова, писательница>

Второй тип — «жена-возлюбленнная». Этот тип встречается намного реже, в основном в семьях с небольшим стажем замужества. Эта женщина все делает для того, чтобы нравиться мужу и его знакомым. Она тщательно следит за собой. Для нее очень важно, чтобы муж считал ее привлекательной женщиной и интересным человеком. Она тоже живет интересами мужа, но главное внимание уделяет его духовным запросам. Для хозяйства у нее остается мало времени, сил, да и желания его вести у нее немного. В ее доме всегда много гостей, тратится много денег, которые в основном зарабатывает муж, — и окружающим кажется, что она живет с мужем легко и беззаботно. «Жена-возлюбленная», отдавая все свои силы и способности преуспеванию мужа, ждет от него в ответ рыцарского поклонения, цветов, подарков, комплиментов и постоянного внимания к ее желаниям, а нередко и капризам. Сложности и конфликты в таких семьях возникают из-за того, что мужу приходится слишком много работать, и из-за изменений в укладе семьи, связанных с рождением ребенка.

Третий тип — «жена-товарищ». Эта женщина предана работе так же, как и ее муж. Ее интересы намного шире интересов семьи, у нее есть свои друзья, увлечения. По всем вопросам она имеет собственное мнение и нередко дает мужу полезные советы. Им интересно разговаривать друг с другом, потому что оба живут полной жизнью. Но такая жена не хочет брать на себя львиную долю домашних дел, а будет настаивать, чтобы они делились поровну. Она не всегда может так же горячо сопереживать мужу в его производственных делах, как жена-возлюбленная, так как у нее хватает собственных забот. Делая все для детей, она старается сэкономить время для других занятий.

Как видим, у каждого типа жены есть и преимущества, и недостатки.

 


Поделиться с друзьями:

mylektsii.su - Мои Лекции - 2015-2026 год. (0.956 сек.)Все материалы представленные на сайте исключительно с целью ознакомления читателями и не преследуют коммерческих целей или нарушение авторских прав Пожаловаться на материал