Студопедия

Главная страница Случайная страница

КАТЕГОРИИ:

АвтомобилиАстрономияБиологияГеографияДом и садДругие языкиДругоеИнформатикаИсторияКультураЛитератураЛогикаМатематикаМедицинаМеталлургияМеханикаОбразованиеОхрана трудаПедагогикаПолитикаПравоПсихологияРелигияРиторикаСоциологияСпортСтроительствоТехнологияТуризмФизикаФилософияФинансыХимияЧерчениеЭкологияЭкономикаЭлектроника






Моменты сопротивления сечения

Добавления для расчета РГР-1

Осевым моментом сопротивления называется отношение момента инерции относительно данной оси к расстоянию от оси до наиболее удаленной точки поперечного сечения

Полярным моментом сопротивления называется отношение полярного момента инерции к расстоянию от полюса до наиболее удаленной точки сечения

В качестве полюса принимается центр тяжести поперечного сечения стержня.


Осевые моменты сопротивления для простейших сечений (Ixc и Iyc - центральные моменты инерции сечений):


1. Для прямоугольника

 

2. Для треугольника


(для верхних волокон).

Аналогично можно вычислить моменты сопротивления относительно оси у левых и правых волокон Wул, Wуп


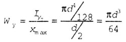
3. Для круга

 

4. Для полукруга


5. Для трубчатого сечения

Полярный момент сопротивления для трубчатого сечения.

<== предыдущая лекция | следующая лекция ==>
Практический семинар | График проведения тестирований в рамках текущего и итогового контроля
Поделиться с друзьями:

mylektsii.su - Мои Лекции - 2015-2026 год. (1.558 сек.)Все материалы представленные на сайте исключительно с целью ознакомления читателями и не преследуют коммерческих целей или нарушение авторских прав Пожаловаться на материал