Студопедия

Главная страница Случайная страница

КАТЕГОРИИ:

АвтомобилиАстрономияБиологияГеографияДом и садДругие языкиДругоеИнформатикаИсторияКультураЛитератураЛогикаМатематикаМедицинаМеталлургияМеханикаОбразованиеОхрана трудаПедагогикаПолитикаПравоПсихологияРелигияРиторикаСоциологияСпортСтроительствоТехнологияТуризмФизикаФилософияФинансыХимияЧерчениеЭкологияЭкономикаЭлектроника






Проблема амнезий






Памятью называется сохранение информации о раздражителе после того, как его действие уже

прекратилось.

Это общее определение памяти подходит к самым различным ее проявлениям. В настоящее время

различают память как биологическую функцию и память как функцию психическую (или нервно-

психическую).

Все биологические системы характеризуются наличием механизмов памяти, т. е. обладают определенными

нервными аппаратами, которые обеспечивают фиксацию, сохранение, считывание и воспроизведение следа.

Эти четыре самостоятельные фазы, выделяемые в процессах памяти как в биологических, так и в более

сложных — психических — системах, являются всеобщими.

Память как биологическая функция — это прежде всего память филогенетическая, или наследственная,

которая определяет строение каждого организма в соответствии с историей его вида. Биологическая память

существует не только в филогенетической, но и в онтогенетической форме. К последней относятся,

например, явление иммунитета, приобретаемого в процессе онтогенеза, и многие другие явления,

протекающие на элементарных — физиологическом и даже клеточном — уровнях. Память как психическая

функция тоже относится к онтогенетической памяти.

Основными характеристиками памяти как биологической и психической функции являются:

♦ длительность формирования следов;

♦ их прочность и продолжительность удержания;

♦ объем запечатленного материала;

♦ точность его считывания;

♦ особенности его воспроизведения.

По мнению E. H. Соколова (1974, 1997), разные биологические системы четко различаются по этим параметрам. Многие биологические системы памяти характеризуются слабым развитием и даже отсутствием механизмов считывания и воспроизведения. У человека, обладающего сложными формами мнестической деятельности, эти две фазы (считывания и воспроизведения) развиты в максимальной форме. Однако именно механизмы считывания и воспроизведения следов являются наиболее ранимыми при разных патологических состояниях (в том числе и при локальных поражениях мозга). По длительности процессы памяти подразделяются на три категории.

1. Мгновенная память — кратковременное запечатление следов, длящееся несколько секунд.

2. Кратковременная память — процессы запечатления, которые длятся несколько минут.

3. Долговременная память — длительное (возможно, в течение всей жизни) сохранение следов. Предполагается, что в основе этих видов памяти лежат разные механизмы (физиологические, структурные и др.).

Память как психическая функция помимо перечисленных параметров характеризуется еще рядом других.

Во-первых, процессы памяти можно характеризовать с точки зрения их модальности. Мнестические процессы могут протекать в разных анализаторных системах; соответственно, выделяют разные модально-специфические формы памяти:

♦ зрительную;

♦ слуховую;

♦ тактильную;

♦ двигательную (или моторную);

♦ обонятельную и др.

Существует также аффективная, или эмоциональная, память, или память на эмоционально окрашенные события. Разные формы памяти характеризуют работу различных систем и имеют отношение к разным модальностям или качеству раздражителя.

Во-вторых, это уровень управления или регуляции мнестическими процессами. Как и все другие высшие психические функции, память характеризуется произвольным и непроизвольным уровнями реализации (запоминания и воспроизведения материала), т. е. существует произвольная и непроизвольная память. Именно в произвольной форме память выступает как особая мнестическая деятельность.

Хомская Е. Д. Х = Нейропсихология: 4-е издание. — СПб.: Питер, 2005. — 496 с: ил. 129


В-третьих — это характеристика памяти с точки зрения ее семантической организации. Согласно этому параметру, память подразделяется на неосмысленную (механическую) и семантически организованную (семантическую). Эти три основных параметра характеризуют процессы памяти у человека.

В нейропсихологии лучше всего исследована память как произвольная мнестическая деятельность, которая, как и всякая другая произвольная психическая деятельность, имеет определенную структуру. Она включает в себя:

а) стадию мотива (или намерения);

б) стадию программирования мнестической деятельности;

в) стадию использования различных способов запоминания материала, различных мнестических операций (приема укрупнения материала, его семантической организации и др.);

г) стадию контроля за результатами деятельности и коррекции, если эти результаты неудовлетворительны с точки зрения поставленной задачи.

Можно выделить и некоторые специфические закономерности, которые характеризуют произвольную мнестическую деятельность как таковую.

1. Известно, что различные по модальности раздражители запечатлеваются испытуемыми по-разному. В этом, по-видимому, немаловажную роль играют врожденные способности человека. Одни склонны к лучшему запечатлению зрительной информации, другие — кожно-кинестетической или звуковой (вербальной или невербальной). Этот феномен имеет отношение к так называемым частным способностям, которые проявляются также и в особенностях памяти.

2. Мнестическая деятельность четко зависит и от характера смысловой организации материала (как невербального, наглядно-образного, так и вербального).

3. Различные этапы (или стадии) мнестической деятельности в разной степени подчиняются произвольной регуляции. Наиболее регулируемыми являются стадия запечатления (с помощью специальных приемов) и стадия воспроизведения материала. В меньшей степени произвольному контролю подчиняется стадия хранения материала. Эти особенности организации произвольной мнестической деятельности находят свое проявление в особенностях их нарушений при локальных поражениях мозга.

Непроизвольное запоминание материала характеризуется своими закономерностями. Существует ряд факторов, от которых зависит лучшее или худшее непроизвольное запоминание материала.

1. Из классических работ по психологии известно, что лучше запоминается то, что является целью деятельности или вызывает какие-то затруднения во время ее осуществления (П. И. Зинченко, 1961 и др.).

2. Известно также, что непроизвольная (или непосредственная) память неодинакова в разные периоды жизни человека: она лучше в детском возрасте и постепенно ухудшается по мере старения. Однако механизмы непроизвольного запечатления информации действуют, конечно, в течение всей жизни человека. И человеческий мозг, так же как и мозг высокоразвитых животных, в той или иной степени запечатлевает, по-видимому, всю информацию, которую он воспринимает. В то же время огромное количество следов в обычных условиях не воспроизводится, и они актуализируются лишь в специальных ситуациях (например, в условиях гипноза или при каких-то особых — в том числе патологических — состояниях).

3. Хранение следов, запечатленных непроизвольно (а также с помощью произвольных усилий), не пассивный процесс. В это время происходит их определенное преобразование, которое совершается по особым законам (по закону семантизации или кодирования информации и др.).

4. Воспроизведение следов при непроизвольном запоминании как конечная фаза мнестических процессов происходит либо в виде пассивного узнавания объектов, либо в виде активного припоминания.

Эти закономерности мнестической деятельности хорошо изучены в общей психологии.

Закономерности нарушений непроизвольного запоминания, наблюдающиеся в клинике локальных

поражений головного мозга, начали особенно подробно изучаться в связи с интересом к проблеме

межполушарной асимметрии мозга и межполушарного взаимодействия.

Нейропсихология памяти как специальный раздел нейропсихологии когнитивных процессов стала

интенсивно разрабатываться лишь в 60-70-е годы XX века, хотя описания различных форм нарушений (и

аномалий) памяти при разных патологических состояниях в клинической литературе довольно

многочисленны.

Нарушения памяти бывают чрезвычайно разнообразными. В качестве особых форм аномальной памяти в клинической литературе описаны не только ослабление или полное выпадение памяти, но и ее усиление. Гипомнезия, или ослабление памяти, может иметь различное происхождение. Она может быть связана с возрастными изменениями, или быть врожденной, или появиться как следствие какого-либо мозгового заболевания (склероза мозговых сосудов и др.). Такие больные, как правило, характеризуются ослаблением

Хомская Е. Д. Х = Нейропсихология: 4-е издание. — СПб.: Питер, 2005. — 496 с: ил. 130


всех видов памяти.

Как самостоятельные нарушения памяти описаны парамнезии (ложные узнавания) — особые состояния, когда человек испытывает ощущение «знакомости» при встрече с незнакомыми объектами. Это обманы памяти, связанные с изменениями состояния сознания, хорошо известны в психиатрии и описаны как состояния «дежа вю» (dйjа vu).

Одной из аномалий памяти является гипермнезия — обострение памяти, резкое увеличение объема и прочности запоминания материала по сравнению со средними нормальными показателями. Известны случае врожденных гипермнезий. Один из них описан А. Р. Лурия в «Маленькой книжке о большой памяти» (1968), где рассказывается о человеке с исключительной механической памятью, основанной на тесном взаимодействии разных видов ощущений (синестезиях). Возможны гипермнезий и при локальных поражениях мозга, например при гипофизарных очагах, воздействующих на срединные структуры мозга. Особый тип аномалий памяти составляют амнезии (значительное снижение или отсутствие памяти). Среди разного рода амнезий самостоятельную группу составляют амнезии (или нарушения памяти), возникающие при локальных поражениях мозга.

Следует отметить, что нарушения памяти (как и нарушения внимания) при локальных поражениях мозга длительное время расценивались как общемозговые симптомы, не имеющие локального значения. Считалось, что у всех больных, независимо от локализации очага поражения, наблюдаются симптомы ослабления или нарушений памяти. Действительно, нарушения памяти очень широко представлены в клинике локальных поражений мозга и наблюдаются в той или иной степени почти у каждого больного. Нейропсихологические исследования нарушений памяти, проведенные А. Р. Лурия и его сотрудниками, показали, что мозговая организация мнестических процессов подчиняется тем же законам, что и другие формы познавательной психической деятельности, и разные

Из произведений А. Р. Лурия

Наличие такого сложного процесса кодирования материала, который многие авторы рассматривают как основную характеристику человеческой памяти, выступает особенно отчетливо при исследовании процесса запоминания бессмысленных слогов или слов и позволяет рассматривать запоминание как процесс, опирающийся на многомерную систему связей, включающую в свой состав как элементарные (сенсорные), так и более сложные (перцептивные) и, наконец, наиболее сложные (понятийные) компоненты. В каких соотношениях между собой находятся эти компоненты многомерной системы связей и до каких уровней организации доходит процесс запоминания материала, зависит от задачи, поставленной перед субъектом, от характера запоминаемого материала и от того, какое время дается субъекту для его запечатления.

Положение о запечатлении многомерной системы связей, противоположное упрощенному представлению о запоминании как о непосредственной «записи» доходящей до субъекта информации, является исходным для современной психологии; оно заставляет относиться к человеческой памяти как к сложной познавательной деятельности, проходящей через ряд последовательных этапов и состоящей в постепенном включении предложенного материала в сложную систему связей. Не менее сложным, чем процесс запечатления, является и процесс хранения запечатленных следов, с одной стороны, и процесс их воспроизведения, или припоминания, — с другой...

Психология хорошо знала две основные формы воспроизведения следов: узнавание прежде запечатленной информации, с одной стороны, и активное припоминание ранее запечатленной информации — с другой. Естественно, что характеристика воспроизведения следов как поиск ==>

формы и звенья этой деятельности имеют различные мозговые механизмы (А. Р. Лурия, 1962, 1974д, 1976;

Я. К. Киященко и др., 1975; Ю. В. Микадзе, 1979; Я. К. Корсакова, Ю. В. Микадзе, 1982; С. Б. Буклина, 1998

и др.).

Были выделены два основных типа нарушений памяти, а также особый тип нарушений, который можно

обозначить как нарушение мнестической деятельности (или псевдоамнезия).

К первому типу относятся модально-неспецифические нарушения памяти. Это целая группа патологических

явлений, неоднородных по своему характеру, для которых общим является плохое запечатление

информации любой модальности. Модально-неспецифические нару-

Из произведений А. Р. Лурия

► ранее закрепленных образов и выбор адекватного следа из многих возможных прежде всего относятся к структуре процессов активного припоминания. Именно здесь необходим сложный активный характер процесса; именно здесь могут всплывать совершенно различные следы прежнего опыта, связанные с искомым образом различными, многомерными связями. Именно здесь пытающийся припомнить забытое должен проявлять известную «стратегию» припоминания, выделять одни и тормозить другие связи, принимая окончательное решение. Иначе говоря, именно здесь мы имеем дело с подлинной специальной мнестической деятельностью, структура которой приближается к решению задачи и проявляет черты, общие с другими познавательными процессами, связанными с «декодированием» прежде использованных кодов. В отличие от этого процесс узнавания вновь предъявленного образа имеет гораздо более простое строение: в этом случае субъект не должен активно искать нужные связи, создавать гипотезы и осуществлять активный выбор. Его задача ограничивается здесь лишь тем, чтобы выделить нужные признаки и сличить вновь предъявленный объект с тем, который был запечатлен ранее. Естественно, что значительное число сложных операций, характерных для активного припоминания, в этом случае устраняется; однако и здесь по-прежнему сохраняется последняя часть этого сложного процесса — критическое сличение выделенных признаков с теми, которые имел раннее предъявленный образ, — операция, приводящая к тому, чтобы в случае несовпадения (или «рассогласования») обоих образов — прежнего и вновь предъявленного — прийти к выводу об их несоответствии, а в случае их полного совпадения «узнать» старый образ и прекратить дальнейшие поиски. (А. Р. Лурия. Нейропсихология памяти. — М.: Педагогика, 1974.-С. 12-14.)

шения памяти возникают при поражении разных уровней срединных неспецифических структур мозга.

Хомская Е. Д. Х = Нейропсихология: 4-е издание. — СПб.: Питер, 2005. — 496 с: ил. 131


В зависимости от уровня поражения неспецифических структур модально-неспецифические нарушения памяти носят разный характер. При поражении уровня продолговатого мозга (ствола) нарушения памяти протекают в синдроме нарушений сознания, внимания, цикла «сон—бодрствование». Эти нарушения памяти характерны для травматических поражений мозга и описаны в клинической литературе как ретроградная и антероградная амнезия, сопровождающая травму. В нейропсихологии эта форма нарушений памяти изучена сравнительно мало. Лучше всего изучены мнестические расстройства, связанные

с поражением диэнцефального уровня (уровня гипофиза). Гипофизарные заболевания, весьма частые в нейрохирургической клинике, долгое время считались с точки зрения нейропсихологии бессимптомными. Однако при тщательном изучении у этой категории больных были обнаружены отчетливые нарушения памяти, имеющие ряд особенностей. Прежде всего, у таких больных существенно больше страдает кратковременная, а не долговременная память. Кратковременная память, или память на текущие события, у них очень ранима. В то же время даже при грубых нарушениях памяти мнестический дефект связан не столько с самим процессом запечатления следов, сколько с плохим их сохранением в связи с усиленным действием механизмов интерференции (т. е. воздействия на следы побочных раздражителей), что и является причиной повышенной тормозимости следов кратковременной памяти.

При запоминании словесного, зрительного, двигательного или слухового материала введение интерферирующей деятельности на стадии кратковременной памяти приводит к резкому ухудшению последующего воспроизведения материала. Посторонняя деятельность, предложенная таким больным сразу же после предъявления материала, как бы «стирает» предшествующие следы. Изучению механизмов интерференции следов у больных с поражением срединных диэнцефальных неспецифических структур мозга был посвящен цикл исследований А. Р. Лурия (1974а, 1976) и его сотрудников (Я. К. Киященко, 1973; Л. Т. Попова, 1973 и мн. др.), в которых подробно проанализированы особенности нарушений памяти у данной категории больных. Исследовались два типа интерференции: гомогенная и гетерогенная. Гомогенной называется интерференция, при которой в качестве «помех» также используется деятельность запоминания, но уже другого материала. Например, больному предлагается для запоминания 3-4 слова. После их повторения ему предлагается запомнить другие 3-4 слова. После того как больной правильно воспроизводит вторую группу слов, его просят воспроизвести первую группу. Именно в этих условиях, когда запоминаются две группы слов (т. е. когда интерферирующим фактором выступает та же мнестическая деятельность), возникает наиболее отчетливый феномен тормозимости следов (слов первой группы — словами второй группы).

При гетерогенной интерференции в качестве «помехи» используется другая — немнестическая — деятельность (например, счет в уме, чтение и др.). В этих случаях следы запечатлеваются лучше, однако тоже оказываются весьма ранимыми по сравнению с фоновыми данными (при «пустой паузе»).

Таким образом, диэнцефальный уровень поражения мозга характеризуется нарушениями преимущественно кратковременной памяти, ее повышенной ранимостью, подверженностью следов явлениям интерференции (особенно гомогенной).

Другой особенностью этого типа нарушений памяти является повышенная реминисценция следов, т. е. лучшее воспроизведение материала при отсроченном (на несколько часов или даже дней) воспроизведении материала по сравнению с непосредственным воспроизведением.

Это пока еще недостаточно хорошо изученное явление в определенной степени присуще и здоровым людям. Однако у больных с поражением диэнцефальной области оно проявляется более отчетливо, что связано, по-видимому, с нарушениями нейродинамики следовых процессов.

К модально-неспецифическим нарушениям памяти приводит и поражение лимбической системы (лимбической коры, гиппокампа, миндалины и др.). К ним относятся описанные в литературе случаи нарушений памяти, которые обозначаются как корсаковский синдром. У больных с корсаковским синдромом практически отсутствует память на текущие события. Они по несколько раз здороваются с врачом, хотя он только что был в палате, не могут вспомнить, что они делали несколько минут тому назад и т. п. Это грубый распад памяти на текущие события. В то же время у этих больных сравнительно хорошо сохраняются следы долговременной памяти, т. е. памяти на далекое прошлое. Такие больные сохраняют и профессиональные знания. Они помнят, например, что с ними было во время войны, когда и где они учились и т. п. В развернутой форме этот синдром возникает при поражении гиппокампальных структур обоих полушарий. Однако даже одностороннего поражения области гиппокампа достаточно, чтобы возникла картина выраженных нарушений кратковременной памяти. Особую форму корсаковского синдрома составляют нарушения памяти в сочетании с нарушениями сознания, что нередко встречается при психических заболеваниях.

Специальное изучение больных с корсаковским синдромом в клинике локальных поражений мозга показало, что в целом логика нарушений памяти у данной категории больных та же, что и у больных с поражением диэнцефальной области мозга, т. е. непосредственное запечатление и воспроизведение материала оказалось у них отнюдь не таким плохим, как это можно было предположить (А. Р. Лурия, 1974а, 1976). Больные иногда могли правильно воспроизвести 4-5 элементов ряда (например, 4-5 слов из 10) после первого их предъявления. Однако достаточно было пустой паузы (не говоря уже о гомо- и гетерогенной

Хомская Е. Д. Х = Нейропсихология: 4-е издание. — СПб.: Питер, 2005. — 496 с: ил. 132


интерференции), чтобы следы «стирались». Здесь фактически

наблюдалась та же картина, что и у больных с диэнцефальными поражениями мозга, но в более обостренном виде. В этих случаях следы еще в большей степени оказывались подверженными влиянию различных «помех» (рис. 44, А, Б). Это первая особенность нарушений памяти у данной категории больных.

Рис. 44. «Кривые заучивания» ряда из 10 слов у больных с опухолями верхних отделов ствола мозга с выраженным корсаковским синдромом:

А — результаты заучивания слов у больных с тяжелым корсаковским и Б — у больных с легким корсаковским синдромом. По оси абсцисс — номера последовательных опытов, по оси ординат — число удержанных элементов (по Л. Т. Поповой, 1973)

Вторая особенность связана с процессами компенсации дефекта. Клинические наблюдения показали, что при диэнцефальных поражениях запоминание материала улучшается, если больной особенно заинтересован в результатах исследования или если материал организуется в семантически осмысленные структуры. Таким образом, у этих больных существует определенный резерв компенсации дефекта. У больных с корсаковским синдромом этот резерв практически отсутствует. Повышенная мотивация или обращение к семантическому структурированию материала не приводят у них к заметному улучшению запоминания. Следует отметить, что у таких больных нередко наблюдаются и конфабуляции (тонкие симптомы нарушения сознания), так что нарушения памяти протекают у них в ином синдроме. В целом, однако, это те же модально-неспецифические нарушения памяти, подверженной влиянию интерференции, как и у больных с диэнцефальными поражениями мозга.

Следующая форма модально-неспецифических нарушений мнестической деятельности связана с поражением медиальных и базальных отделов лобных долей мозга, которые нередко поражаются при аневризмах передней соединительной артерии. В этих случаях возникают относительно узко локальные зоны поражения, что и позволяет изучать их симптоматику. Именно такая группа больных изучалась А. Р. Лурия, А. Н. Коноваловым и А. Я. Подгорной (1970) для оценки роли медиальных отделов мозга в мнестических процессах.

Базальные отделы лобных долей мозга сравнительно часто поражаются опухолями разной этиологии, что также дает возможность исследовать нейропсихологические проявления этих поражений. Нередко наблюдаются смешанные медиобазальные очаги поражения. У таких больных возникают нарушения памяти в целом также по модально-неспецифическому типу в виде преимущественного нарушения кратковременной памяти и повышенной интерференции следов. Однако, кроме того, нередко к этим нарушениям добавляются и расстройства семантической памяти, или памяти на логически связанные понятия. Они смыкаются с нарушениями сознания по типу конфабуляции, которые также нередко

Хомская Е. Д. Х = Нейропсихология: 4-е издание. — СПб.: Питер, 2005. — 496 с: ил. 133


наблюдаются у таких больных, особенно в острой стадии заболевания.

Расстройства семантической памяти проявляются прежде всего в нарушении избирательности воспроизведения следов, например в трудностях логического последовательного изложения сюжета только что прочитанного больному рассказа, басни (или какого-либо другого логически связного текста), в легком соскальзывании на побочные

ассоциации. В заданиях на повторение серии слов такие больные обнаруживают «феномен привнесения новых слов», т. е. тех, которых не было в списке, слов-ассоциаций (смысловых или звуковых). Неустойчивость семантических связей у подобных больных проявляется не только в заданиях на запоминание логически связного материала (словесного, наглядно-образного), но и при решении разного рода интеллектуальных задач (на аналогии, определение понятий и др.). У этой категории больных страдают и процессы опосредования запоминаемого материала (например, с помощью его семантической организации), что также является особенностью нарушений памяти при медиобазальных поражениях лобных долей мозга.

Ко второму типу мнестических дефектов, встречающихся в клинике локальных поражений головного мозга, ОТНОСЯТСЯ модально-специфические нарушения памяти. Эти нарушения связаны с определенной модальностью стимулов и распространяются только на раздражители, адресующиеся какому-то одному анализатору (рис. 45, А, Б).

К модально-специфическим нарушениям относятся нарушения зрительной, слухоречевой, музыкальной, тактильной, двигательной памяти и др. В отличие от модально-неспецифических расстройств памяти, которые наблюдаются при поражении I функционального блока мозга, модально-специфические нарушения памяти возникают при поражении разных анализаторных систем, т. е. II и III функциональных блоков мозга. При поражении разных анализаторных систем соответствующие модальные нарушения памяти могут проявиться вместе с гностическими дефектами. Однако нередко нарушения в работе анализаторной системы распространяются только на мнестические процессы, в то время как гностические функции остаются сохранными.

Наиболее изученной формой модально-специфических нарушений памяти являются нарушения слухоречевой памяти, которые лежат в основе акустико-мнестической афазии. В этих случаях у больных нет общих нарушений памяти, как у описанной выше группы больных (как и нарушений сознания). Дефект слухоречевой памяти выступает в изолированной форме. В то же время у таких больных отсутствуют и четкие расстройства фонематического слуха, что указывает на возможность поражения только одного мнестического уровня слухоречевой системы (А. Р. Лурия, 1962, 1974а, 1976; М. Климковский, 1966 и др.). При оптико-мнестической форме афазии определенным образом нарушается зрительно-речевая память и больные не могут назвать

Хомская Е. Д. Х = Нейропсихология: 4-е издание. — СПб.: Питер, 2005. — 496 с: ил. 134


Рис. 45. Модально-специфические нарушения памяти у больных с поражениями

разных отделов мозга:

затруднения узнавания слухового (слоги, сплошная линия) и зрительного (бессмысленные фигуры, пунктир) материала у больных с поражением левой затылочно-теменной (А) и левой височной (Б) областей мозга. По оси абсцисс — последовательность опытов; по оси ординат — число правильно узнанных элементов (по Е. Н. Булгаковой, Н. К. Киященко, В. П. Фомину)

показываемые им предметы, хотя их функциональное назначение им понятно и они пытаются его описать (жестами, междометиями и т. п.). У этих больных нарушены зрительные представления объектов, вследствие чего нарушен и рисунок, однако они не обнаруживают никаких собственно гностических зрительных расстройств, полностью ориен-

Из произведений А. Р. Лурия

В качестве примера нарушений модально-специфической памяти при поражении левой теменно-затылочной области,

можно привести больного Засецкого из книги «Потерянный и возвращенный мир»:

«Ранение принесло непоправимый ущерб его мозгу, оно перечеркнуло его память, раздробило познание на множество

кусков. Лечение и время возвратили ему жизнь, положили начало работе над возвращением этого мира, который он

должен был собирать из маленьких кусочков — отдельных памяток. Они сделали его беспомощным умственным афазиком,

который должен был жить в своем новом беспамятном мире. Они заставили его начать титаническую работу над собой,

работу, источником которой была постоянная надежда возвратиться к жизни, стать полезным другим.

Но вот удивительный результат ранения: оно полностью пощадило мир его переживаний, мир его творческого энтузиазма,

оно оставило полностью сохранным его личность, личность человека, гражданина, борца!

Как беззаветно он борется за восстановление своего раздробленного беспамятного мира! Как остро он чувствует свои

огромные пробелы и свои маленькие, иногда столь трудно ощутимые успехи. И какое яркое ==>

тируясь в окружающем зрительном мире (и его изображениях). В этих случаях также страдает лишь мнестический уровень работы зрительной (или зрительно-речевой) системы. Нарушения слухоречевой и зрительно-речевой памяти характерны лишь для поражений левого полушария мозга (у правшей). Для поражения правого полушария мозга присущи другие формы модально-специфических расстройств памяти. В этих случаях нарушения слуховой памяти распространяются преимущественно на неречевой (музыкальный) слух — возникают явления амузии, в которых объединяются и гностические, и мнестические дефекты. Нарушения зрительной памяти наблюдаются по отношению к конкретным невербализуемым объектам (например, лицам) — возникают явления агнозии на лица, в которых также объединены и гностические, и мнестические дефекты. Как специальные формы модально-специфических нарушений памяти, связанные преимущественно с поражением теменно-затылочных отделов

Хомская Е. Д. Х = Нейропсихология: 4-е издание. — СПб.: Питер, 2005. — 496 с: ил. 135


правого полушария, возможны нарушения пространственной и цветовой памяти, протекающие на фоне сохранного пространственного и цветового гнозиса.

Из произведений А. Р. Лурия

► воображение сохранилось у него: как красочно он вспоминает свое детство, как ярко и образно описывает он леса и озера, как трогательно переживает он свои прогулки, каждую травинку, каждый цветочек...

И он продолжает так же тонко чувствовать людей, воспринимая их мотивы, оценивая их поступки, вместе с ними переживая

их беды и радуясь их достижениям.

Больной и лишенный речи-памяти, он продолжает жить жизнью своей страны, он остается ее гражданином.

И вот что особенно поразительно: он, потерявший свои знания, не способный сразу схватить значение грамматической

конструкции, бессильный перед задачей быстро подсчитать в уме несколько чисел, — он сохранил удивительное по

яркости эмоциональное воображение, тонкое умение представить себе людей с их столь разнообразными мотивами и

переживаниями.

Как ярко он представляет их и как удивительно тонко он анализирует их!» (А. Р. Лурия. Романтические эссе. — М.:

Педагогика-Пресс, 1996. — С. 228.)

Помимо двух основных типов амнезий, описанных выше, в нейропсихологии выделяется еще один тип мнестических нарушений, когда память страдает главным образом как мнестическая деятельность. Такого типа нарушения памяти, которые можно назвать псевдоамнезией, характерны для больных с массивными поражениями лобных долей мозга (левой лобной доли или обеих лобных долей). Сама задача запомнить материал не может быть поставлена перед «лобными» больными, так как у них грубо нарушается процесс формирования намерений, планов и программ поведения, т. е. страдает структура любой сознательной психической деятельности, в том числе и мнестической.

То, что больной «не принимает» задание, отнюдь не означает, что У него грубо нарушена память. Опыты показали, что на непроизвольном уровне память у этих больных может быть достаточно сохранной. Так, если больному показать несколько картинок, он легко узнает их среди многих других при непроизвольном пассивном узнавании. Однако если ему дается инструкция произвольно запомнить какой-либо материал (например, 10 слов), то активная мнестическая деятельность

Из произведений А. Р. Лурия

Мнестическая деятельность оказалась при ближайшем рассмотрении очень сложным психологическим процессом, в состав которого входит ряд компонентов и который может протекать на различных уровнях организации. Поэтому совершенно естественно, что нарушение мнестических процессов при различных по локализации поражениях мозга может протекать неодинаково и иметь различную психологическую структуру...

Поражения верхних отделов мозгового ствола, лимбической системы, поражения, распространяющиеся на стенки желудочка и нарушающие нормальную циркуляцию возбуждения по «кругу Пейпеца», вызывают общие или модально-неспецифические нарушения памяти. В стертых случаях они могут быть только намечены, равномерно проявляясь в наиболее сложных мнестических процессах различной модальности и выступая в повышенной тормозимости сенсомоторных, зрительных, словесных следов (преимущественно серий дискретных, не связанных друг с другом элементов). В случаях наиболее массивных поражений, когда патологическое состояние медиальных отделов полушарий распространяется и на диэнцефальные образования и протекает на фоне общемозговых дефектов (повышение внутричерепного давления, нарушения гемо- и ликвородинамики), эти общие нарушения памяти могут принимать форму корсаковского синдрома, протекать на фоне сновидного, онейродного состояния и очень часто -в связи с наблюдаемыми в этих случаях выраженными нарушениями тонуса коры — принимать форму колеблющихся, «флуктуирующих» состояний сознания с явлениями дезориентированности в месте и времени, а иногда и с явлениями конфабуляций.==>

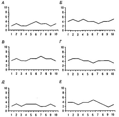
оказывается нарушенной. Больной в лучшем случае воспроизводит 3-4 слова из 10, несмотря на многократное повторение материала. Возникает «плато» в кривой воспроизведения материала, очень характерное для данной категории больных. Оно свидетельствует об отсутствии у них какой-либо стратегии, обдуманного плана запоминания материала (рис. 46, А —Е).

В то же время при чтении списка слов, в котором имеются и эти 10 слов, больной легко узнает почти все слова, так как в этом случае от него не требуется активного произвольного воспроизведения. Таким образом, в целом у больных с поражением лобных долей мозга непроизвольная память (непроизвольное запечатление и непроизвольное узнавание) лучше, чем произвольная; последняя, как и всякая другая произвольная психическая деятельность, у данной категории больных

Из произведений А. Р. Лурия

► Последние выступают особенно отчетливо в тех случаях, когда в процесс вовлекаются также медиальные отделы лобных долей мозга и когда снижение тонуса коры начинает протекать на фоне общей инактивности и нарушения критики (дефекты в оценке больным своего состояния)... и др.

Совершенно иные явления наблюдаются у больных с очаговыми поражениями конвекситальных отделов мозга.

Ни в одном из этих случаев (исключение могут составлять только массивные поражения лобных долей мозга, протекающие

на фоне выраженной общемозговой патологии, например гипертензионно-дислокационных явлений с влиянием на ствол)

мы не наблюдали общих нарушений «личностной» памяти, переходящих в расстройства ориентировки в месте и времени

и в нарушения сознания.

Дефекты мнестических процессов, которые возникают в этих случаях, выступали на фоне ясного сознания и носили либо

парциальный, модально-специфический характер, наблюдаясь в пределах лишь одной (зрительной или слуховой) сферы,

или были системно-специфическими, проявляясь с особенной отчетливостью лишь в одной (речевой) системе. Если

Хомская Е. Д. Х = Нейропсихология: 4-е издание. — СПб.: Питер, 2005. — 496 с: ил. 136


поражение располагалось в пределах левой височной области, оно ограничивалось нарушениями слухоречевой памяти и существенно не распространялось на зрительную и двигательную память; если очаг поражения смещался назад и захватывал образования затылочно-теменной области, нарушения памяти проявлялись в зрительно-пространственной сфере. Во всех этих случаях нарушения памяти по существу являлись продолжением или ==>

нарушена первично. Нарушения памяти как мнестической деятельности имеют генеральный характер, распространяясь на любой материал: вербальный, невербальный, осмысленный, неосмысленный. Как уже говорилось выше, эти нарушения можно обозначить как псевдоамнезию, поскольку у «лобных» больных нет первичных нарушений следовых процессов, а страдает общая организация любой произвольной психической деятельности в целом. Нужно сказать, что у «лобных» больных (особенно при двухстороннем поражении лобных долей) наблюдается не только псевдоамнезия, но и другие псевдодефекты (зрительная, слуховая, тактильная псевдоагнозия и др.), связанные с распадом любой произвольной познавательной деятельности (А. Р. Лурия, 1962, 1963, 1973; «А. Р. Лурия и современная психология», 1982; «Функции лобных долей...», 1982 и др.).

Из произведений А. Р. Лурия

► переносом в мнестическую сферу соответствующих гностических расстройств и были лишь вариантами тех

затруднений кодирования информации, которые характерны для соответствующих видов поражений...

Существенное значение имеют изменения характера мнестических дефектов в зависимости от латерализации очага

поражения в левом (доминантном) или правом (субдоминантном) полушарии.

При расположении очага в левом (доминантном) полушарии нарушения мнестической деятельности, в которой у человека

существенную роль играет речь, принимали системно-специфический характер и выступали особенно резко при

выполнении мнестических заданий, связанных с речевой деятельностью. Типичным примером такой патологии являются

нарушение запоминания слухоречевых структур при поражениях левой височной области и их повышенная тормозимость;

однако естественно, что выраженные нарушения могут выступать здесь также и в удержании следов гностических или

праксических операций, в осуществлении которых у человека речь играет столь существенную роль....

Некоторые наблюдения, которыми мы располагаем, заставляют предполагать, что нарушения памяти, возникающие при

локальных поражениях правого полушария, выступают не только в сфере формирования и сохранения системы

аффективно-личностных отношений или в сфере непосредственной ориентировки в окружающем

(А. Р. Лурия. Нейропсихология памяти.М.: Педагогика, 1974.-С. 189-197.)

Нейропсихологический анализ нарушений памяти является достижением отечественной нейропсихологии и прежде всего А. Р. Лурия. В ряде его монографий — «Высшие корковые функции...» (1962), «Маленькая книжка о большой памяти» (1968), «Нейропсихология памяти» (1974, т. 1; 1976, т. 2 и др.) — подробно описаны различные формы нарушений памяти при локальных поражениях мозга и дан их подробный нейропсихологический анализ. Нейропсихология памяти в последние годы продолжает разрабатываться в нескольких направлениях:

♦ изучается структура нарушений памяти, возникающих при разных по локализации очагах поражения;

♦ исследуется роль определенных мозговых структур в осуществлении разных по характеру мнестических процессов;

Хомская Е. Д. Х = Нейропсихология: 4-е издание. — СПб.: Питер, 2005. — 496 с: ил. 137


Рис. 46. «Кривые заучивания» серии из 10 слов у больных с грубым «лобным

синдромом»:

А—Е— разные больные. По оси абсцисс — порядковые номера опытов, по оси ординат — число удержанных слов (по Л. Р.Лурия, 1974а)

♦ анализируются особенности нарушений разных звеньев и этапов в структуре мнестической деятельности;

♦ исследуются особенности модально-неспецифических и модально-специфических нарушений памяти в детском возрасте и др.

Среди этих работ значительное место занимают нейропсихологические исследования, посвященные вкладу левого и правого полушарий в процессы запоминания вербального и невербального материала (работы Э. Г. Симерницкой, Н. К. Корсаковой, Л. И. Московичюте, Ю. В. Микадзе, О. А. Кротковой и др.). Авторам удалось установить, что левое полушарие играет ведущую роль в произвольной мнестической деятельности (или в ее произвольных компонентах, звеньях),

в то время как правое полушарие доминирует в ее непроизвольных формах (компонентах, звеньях). В контексте проблемы межполушарной асимметрии мозга изучаются и временные параметры осуществления произвольной мнестической деятельности. Непосредственное и отсроченное запоминание и воспроизведение также соотносятся со структурами правого и левого полушарий. Показано, что при непосредственном запоминании и воспроизведении в осуществлении мнестической деятельности прежде всего участвует правое полушарие, а при отсроченном запоминании и воспроизведении — левое (у правшей). При левосторонних поражениях непосредственное воспроизведение материала более сохранно, чем при правосторонних.

Разрабатываются также представления о разной роли левого и правого полушарий мозга в узнавании и воспроизведении вербального и невербального материала. Показаны латеральные различия в кодировании и запоминании информации (вербальной и невербальной) по ведущим и специфическим для каждого вида информации признакам. Так, для вербального материала ведущими являются смысловые характеристики, которые обеспечиваются преимущественно левым полушарием, а для невербального материала — перцептивные признаки, которые «кодируются» и «запоминаются» преимущественно структурами правого полушария (Ю. В. Микадзе, 1979 и др.). Быстро накапливаются новые данные о нарушениях памяти и в рамках детской нейропсихологии.

Новое и интенсивно развивающееся направление в нейропсихологии памяти — это изучение особенностей нарушений мнестических процессов (в том числе и латеральных различий) при поражении глубоких подкорковых областей мозга и при воздействии на эти структуры вследствие стереотаксических операций. Отчетливые латеральные различия в нарушениях мнестических процессов обнаружены и в этих случаях (см. гл. 22).

Хомская Е. Д. Х = Нейропсихология: 4-е издание. — СПб.: Питер, 2005. — 496 с: ил. 138


Перечисленные направления работ по нейропсихологии памяти свидетельствуют об интенсивном развитии этого раздела нейропсихологии когнитивных процессов, происходящем в русле как клинических, так и экспериментальных исследований.


Поделиться с друзьями:

mylektsii.su - Мои Лекции - 2015-2026 год. (4.185 сек.)Все материалы представленные на сайте исключительно с целью ознакомления читателями и не преследуют коммерческих целей или нарушение авторских прав Пожаловаться на материал