Студопедия

Главная страница Случайная страница

КАТЕГОРИИ:

АвтомобилиАстрономияБиологияГеографияДом и садДругие языкиДругоеИнформатикаИсторияКультураЛитератураЛогикаМатематикаМедицинаМеталлургияМеханикаОбразованиеОхрана трудаПедагогикаПолитикаПравоПсихологияРелигияРиторикаСоциологияСпортСтроительствоТехнологияТуризмФизикаФилософияФинансыХимияЧерчениеЭкологияЭкономикаЭлектроника






Теория Бриджмена, Перлица, Мотта и Рао






Теплопроводности жидких металлов

 

 

Выполнила ст. гр. Ф-09-2

Петрова В.П

Проверил д.т.н зав. Отделением

теплофизики и энергетики

ФТИ СВФУ

Степанов А.В.

 

Якутск 2012

Содержание

1. Введение

2. Теория Бриджмена, Перлица, Мотта и Рао

3. Теория Бидуэлла

4. Функция Лоренца для жидких металлов

5. Выводы

 

Введение

Жидкие металлы. Непрозрачные жидкости, обладающие большимитеплопроводностью и электропроводностью, а также др. свойствами, характерными для твердых металлов. жидким металлам является все расплавленные. металлы и сплавы металлов с рядом металлов. Некоторые полуметаллы и полупроводники после плавления становятся жидкими металлами одни — сразу после плавления (Ge, Si, CaSb и др.), другие — при нагревании выше температуры плавления (сплав Fe—Se, PbFe, PbSe, ZnSb и др.). Некоторые неметаллы (Н, Р, С, В) становятся жидкими металламипри высоких давлениях. При атм. давлении и комнатной температуре жидким металлом является лишь ртуть (темпеpaтура плавления -38, 9°С).

Носители заряда в жидкие металлы — электроны. Для чистых металлов электропроводность при плавлении уменьшается примерно вдвое и при дальнейшем нагревании убывает линейно с температурой. Исключение составляют двухвалентные Жидкие металлы— их электропроводность при повышении температуры проходит через минимум. Термоэдс скачком меняется при плавлении, и для многих жидких металлов она пропорционально абсолютной температуре. Коэффициент Холла R (см. Холла эффект) для жидких металлов< 0 и может быть приближённо вычислен по формуле: R= (nec)-1, где n — электронная концентрация, е — заряд электрона.

Так как теплопроводность металлов пропорция их электропроводности и температуре (см. ВидеманаФранца закон), а изменение электропроводности металлов при плавлении относительно мало, то теплопроводности твердых и жидких металлов одного порядка. Некоторые жидкие металлы сочетают, значит, теплопроводность с высокой теплоёмкостью. Это позволяет использовать их в качестве-ветеплоносителей. Наиболее изучены жидкие натрий и калий. Они обладают достаточно низкими точками плавления и применяются либо отдельно, либо в виде сплавов для отвода теплоты в ядерных реакторах.

Теория Бриджмена, Перлица, Мотта и Рао

 

Еще в 1921 г. Бриджмен отметил, что электрическое сопротивление металлов и сплавов резко меняется при плавлении. Это изменение происходит таким образом, что фаза с наименьшим удельным объемом имеет также минимальное электрическое сопротивление.

В 1926 г. Перлиц выдвинул гипотезу о том, что должна существовать связь между формой кристаллической решетки и изменением коэффициента электропроводности в точке плавления, поскольку можно считать, что атомы, расположенные упорядочение в твердой фазе, в жидкости распределяются хаотически. По его расчетам отношение при распределении металлов на три группы должно иметь следующие средние значения:

1. У висмута, сурьмы и галлия

2. У натрия, лития, калия, рубидия, цезия и алюминия

3. У серебра, кадмия, свинца, таллия, меди, цинка, теллура, олова и золота отношение

 

Таблица 1

Значения отношений коэффициентов электропроводности и теплопроводности металлов в твердом и жидком состоянии при температуре плавление по данным различных авторов (см. работу Поуэлла). Сравнение экспериментальных значений с теоретическими значениями Мотта и Рао

 

Щелочные металлы второй группы имеют объемноцентрированную кубическую кристаллическую решетку, а алюминий — гранецентрированную кубическую решетку. Большая часть металлов третьей группы имеет гексагональную или гранецентрированную кубическую решетку.

К сожалению, последующие исследования не подтвердили этого простого правила (табл. 1).

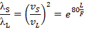
В 1934 г. Мотт предложил теоретическую зависимость отношения коэффициентов электропроводности до и после плавления от отношения частот колебаний атомов втвердой и жидкой фазах - Это отношение выражается экспоненциальной функцией с показателем в виде отношения скрытой теплоты плавления L (в кдж/г-атом) к температуре плавления F (°К).

(Значения, полученные Моттом, приведены в табл. 1.)

Для висмута и сурьмы меньше , причем эти значения близки к теоретическим. Это позволяет считать, что при плавлении металлов число свободных электронов увеличивается на порядок. Ртуть, наоборот, является единственным металлом, у которого увеличение электрического сопротивления в точке плавления значительно превосходит изменение сопротивления по теории Мотта.

Теория и эксперимент сравнительно хорошо согласуются. Это позволяет предполагать, что увеличение сопротивления в жидком состоянии связано с увеличением амплитуды колебаний атомов, а не с тем, что атомы в жидкости не упорядочены, как в твердом теле. Кроме того, исследование Мотта показывает, что коэффициент электропроводности изменяется обратно пропорционально абсолютной температуре.

В 1942 г. Рао провел аналогичное исследование отношения коэффициентов теплопроводности в твердом и жидком состояниях . На основании результатов экспериментов Бидуэлла он показал, что коэффициент теплопроводности металлов в твердой и жидкой фазах полностью определяется электронами. Если предположить, что функция Лоренца одинакова для обеих фаз, то отношение коэффициентов теплопроводности должно описываться формулой Мотта

Значения, вычисленные Рао, также приведены в табл. 1. (Отметим, что значения отношения использованные этим автором, точнее значений Мотта, поскольку они основаны на более поздних экспериментальных данных.)

 


Поделиться с друзьями:

mylektsii.su - Мои Лекции - 2015-2026 год. (2.266 сек.)Все материалы представленные на сайте исключительно с целью ознакомления читателями и не преследуют коммерческих целей или нарушение авторских прав Пожаловаться на материал