Студопедия

Главная страница Случайная страница

КАТЕГОРИИ:

АвтомобилиАстрономияБиологияГеографияДом и садДругие языкиДругоеИнформатикаИсторияКультураЛитератураЛогикаМатематикаМедицинаМеталлургияМеханикаОбразованиеОхрана трудаПедагогикаПолитикаПравоПсихологияРелигияРиторикаСоциологияСпортСтроительствоТехнологияТуризмФизикаФилософияФинансыХимияЧерчениеЭкологияЭкономикаЭлектроника






Расчет избыточного давления взрыва для горючих газов






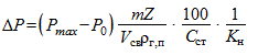
Избыточное давление для индивидуальных горючих веществ, состоящих из атомов Н определяется по формуле:

 

, (1)

 

где - максимальное давление, развиваемое при сгорании стехиометрической газовоздушной или паровоздушной смеси в замкнутом объеме, определяемое экспериментально или по справочным данным. При отсутствии данных допускается принимать равным 900 кПа;

- начальное давление, кПа (допускается принимать равным 101 кПа);

- масса горючего газа (ГГ), вышедшего в результате расчетной аварии в помещение, вычисляемая для ГГ по формуле (4), кг;

- коэффициент участия горючих газов и паров в горении, который может быть рассчитан на основе характера распределения газов и паров в объеме помещения (1);

- свободный объем помещения, м3;

- плотность газа при расчетной температуре , , вычисляемая по формуле:

 

, (2)

 

где - молярная масса, ;

- мольный объем, равный 22, 413 ;

- расчетная температура, °С. В качестве расчетной температуры следует принимать максимально возможную температуру воздуха в данном помещении.

- стехиометрическая концентрация ГГ, % (объемных), вычисляемая по формуле:

 

, (3)

 

где - стехиометрический коэффициент кислорода в реакции сгорания, равный 1;

- число атомов С, Н, О и галоидов в молекуле горючего;

- коэффициент, учитывающий негерметичность помещения и неадиабатичность процесса горения. Допускается принимать равным 3.

 

 

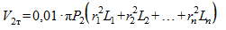
Масса m, кг, поступившего в помещение при расчетной аварии газа определяется по формуле:

 

, (4)

 

где - объем газа, вышедшего из аппарата, ;

- объем газа, вышедшего из трубопроводов, .

 

При этом

 

, (5)

 

где - давление в аппарате, кПа;

V - объем аппарата, м3;

 

, (6)

 

где - объем газа, вышедшего из трубопровода до его отключения, ;

- объем газа, вышедшего из трубопровода после его отключения, ;

 

, (7)

 

где q - расход газа, определяемый в соответствии с технологическим регламентом в зависимости от давления в трубопроводе, его диаметра, температуры газовой среды и т.д., ;

Т - время, с;

, (8)

 

где - максимальное давление в трубопроводе по технологическому регламенту, кПа;

- внутренний радиус трубопроводов, м;

- длина трубопроводов от аварийного аппарата до задвижек, м.

Категория помещений по взрывопожарной и пожарной опасности определяется по таблице 1.


Поделиться с друзьями:

mylektsii.su - Мои Лекции - 2015-2026 год. (1.206 сек.)Все материалы представленные на сайте исключительно с целью ознакомления читателями и не преследуют коммерческих целей или нарушение авторских прав Пожаловаться на материал