Студопедия

Главная страница Случайная страница

КАТЕГОРИИ:

АвтомобилиАстрономияБиологияГеографияДом и садДругие языкиДругоеИнформатикаИсторияКультураЛитератураЛогикаМатематикаМедицинаМеталлургияМеханикаОбразованиеОхрана трудаПедагогикаПолитикаПравоПсихологияРелигияРиторикаСоциологияСпортСтроительствоТехнологияТуризмФизикаФилософияФинансыХимияЧерчениеЭкологияЭкономикаЭлектроника






Задача 2. На рисунке представлены графики движения двух тел






На рисунке представлены графики движения двух тел. Определить вид движения и написать уравнения их движений.

Решение.

1. Определяем вид движения.

Линейная зависимость пути от времени характерна для равномерного прямолинейного движения.

2. Определяем математические зависимости для обоих движений. Определение проводи по характерным точкам: точкам пересечения с осями координат.

Общий вид математической зависимости

Придавая поочередно переменной " X" и функции " Y" значения ноль, мы определим свободный член " b" и коэффициент " a", что в физической формуле будет соответствовать начальному пути и скорости.

3. Определяем по графикам указанным выше способом коэффициенты в уравнениях движения.

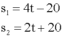
Получаем:

4. Записываем ответ

Оба тела движутся равномерно и прямолинейно в одну сторону. Уравнения их движения:


Поделиться с друзьями:

mylektsii.su - Мои Лекции - 2015-2026 год. (0.654 сек.)Все материалы представленные на сайте исключительно с целью ознакомления читателями и не преследуют коммерческих целей или нарушение авторских прав Пожаловаться на материал