Студопедия

Главная страница Случайная страница

КАТЕГОРИИ:

АвтомобилиАстрономияБиологияГеографияДом и садДругие языкиДругоеИнформатикаИсторияКультураЛитератураЛогикаМатематикаМедицинаМеталлургияМеханикаОбразованиеОхрана трудаПедагогикаПолитикаПравоПсихологияРелигияРиторикаСоциологияСпортСтроительствоТехнологияТуризмФизикаФилософияФинансыХимияЧерчениеЭкологияЭкономикаЭлектроника






Курс, 5В110300 – «Фармация» мамандығы студенттеріне арналған фармацевтикалық химия пәнінен тест сұрақтары, 27.05.2015 жылы. 1 страница






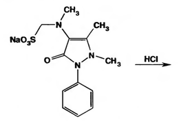
~Сынақ зертханасына сараптамағ а кофеин натрий бензоатының 20%-1, 0 шаншуғ а арналғ ан ерітіндісі қ абылданды. Нормативті қ ұ жат дә рілік тү рдің сандық мө лшерін кофеин жә не натрий бензоаты бойынша анық тауды ұ сынады.

Дә рілік тү р компоненттерінің мө лшері қ андай ә діспен анық талады?

@кофеин-йодометрия, натрий бензоаты – ацидиметрия ә дісімен

@ кофеин- сусыз ацидиметрия, натрий бензоаты - алкалиметрия ә дісімен

@ кофеин-гравиметрия, натрий бензоаты – ацидиметрия ә дісімен

@ кофеин-ацидиметрия, натрий бензоаты - йодометрия ә дісімен

@ кофеин - аргентометрия, натрий бензоаты - алкалиметрия ә дісімен

~Нормативті қ ұ жатқ а сай хлордиазепоксидтің сандық мө лшері оның физикалық жә не химиялық қ асиеттері негізінде берілген реакция бойынша анық талады:

 

Хлордиазепоксидтің сандық мө лшерін қ ай ә діспен анық тайды?

@сусыз ацидиметрия

@сусыз алкалиметрия

@ ацетилдеу ә дісі

@ фотоколориметрия

@ полярография

~Нормативті қ ұ жатқ а сай новокаин гидрохлоридінің сандық мө лшері оның физикалық жә не химиялық қ асиеттері негізінде берілген реакция бойынша анық талады:

 

 

 

Новокаин гидрохлоридінің сандық мө лшерін қ ай ә діспен анық тайды?

@нитритометрия

@ацидиметрия

@ фотоколориметрия

@ алкалиметрия

@ полярография

~Сынақ зертханасында стандартты ү лгінің болмауына байланысты изониазид дә рілік субстанциясының сандық мө лшерін анық тау ү шін спектрофотометрия ә дісі титриметриялық ә діспен алмастырылды.

Бұ л жағ дайда изониазид дә рілік субстанциясының сандық талдауында қ ай ә дісті қ олдануғ а болады?

@ кері йодометрия

@ перманганатометрия

@комплексонометрия

@ығ ыстыру аргентометрия

@сусыз ортада бейтараптау

~Фармацевтикалық ө неркә сіп натрий метамизол таблеткаларын ө ндіру ү шін субстанция қ абылдады. Фармацевт-аналитик субстанцияны идентификациялауда минералды қ ышқ ылдармен қ ыздыра отырып, жү ргізді. Нә тижесінде иісі бойынша анық талатын ө нім тү зілді. Салқ ындатқ аннан кейін темір (III) хлориді ерітіндісін қ осқ анда, қ анық -қ ызыл тү с пайда болды.

 

Натрий метамизол ыдырауы нә тижесінде қ андай ө нім тү зілді?

@формальдегид

@ацетальдегид

@этилацетат

@ бензальдегид

@изонитрил

~Сынақ зертханасында сорғ ыш шкафтың істен шығ уына байланысты хинин гидрохлоридінің сандық мө лшерін сусыз ортада бейтараптау ә дісімен анық тау мү мкін болмады.

Аталғ ан жағ дайда хинин гидрохлоридінің сандық мө лшерін қ андай қ арапайым жә не қ олжетімді ә діспен жү ргізуге болады?

@байланысқ ан хлорсутек қ ышқ ылы бойынша бейтараптау

@байланысқ ан хлорсутек қ ышқ ылы бойынша меркуриметрия

@хинин негізі бойынша гравиметрия

@гидролизден кейін броматометрия

@ гидролизден кейін йодатометрия

~Сынақ зертханасына метилурацил жақ памайы қ абылданды. Жақ памайдың сандық мө лшерін метилурацилдің стандартты ү лгісі болмағ андық тан спектрофотометрия ә дісімен анық тау мү мкін болмады. Сондық тан титриметриялық ә діспен алмастыру ұ сынылды.

Метилурацилдің сандық мө лшерін қ андай ә діспен анық тауғ а болады?

@ығ ыстыру аргентометрия

@сусыз алкалиметрия

@кері аргентометрия

@кері алкалиметрия

@кері йодометрия

~Сынақ зертханасына сараптамағ а хлорамфеникол субстанциясы қ абылданды. Хлорамфениколдың стандартты ү лгісі болмағ андық тан, субстанцияның сандық мө лшерін спектрофотометрия ә дісімен анық тау мү мкін болмады. Сондық тан титриметриялық ә діспен алмастыру ұ сынылды.

Хлорамфеникол субстанциясының сандық мө лшерін қ андай ә діспен анық тауғ а болады?

@нитритометрия

@сусыз алкалиметрия

@кері аргентометрия

@кері алкалиметрия

@йодометрия

~Нормативті қ ұ жат бойынша изониазид субстанциясының сандық мө лшерін тө менде келтірілген химиялық реакция бойынша кері броматометрия ә дісімен жү ргізеді:

 

Сандық есептеуде қ ай эквивалентті молекулалық масса қ олданылады?

@ г.экв=М.м/4

@ г.экв=М.м/3

@ г.экв=М.м/2

@ г.экв=М.м/5

@ г.экв=М.м

~Сынақ зертханасына неостигмин метилсульфатының 0, 05% - 1, 0 шаншуғ а арналғ ан ерітіндісі қ абылданды. Ерітінді сапасына бақ ылау жасауда фармацевт-аналитик идентификациялауды су моншасында натрий гидроксидінің 30% ерітіндісімен қ ыздыра отырып, жү ргізді. Нә тижесінде иісі бойынша анық талатын ө нім тү зілді.

 

Неостигмин метилсульфаты препаратының ыдырауы кезінде қ андай ө нім тү зілді?

@диметиламин

@аммиак

@этилацетат

@бензальдегид

@изонитрил

~Сынақ зертханасына шаншуғ а арналғ ан Кортексиннің лиофилизатты ұ нтағ ы, 10 мг қ абылданды. Қ Р мемлекеттік фармакопеясы талабына сай дә рілік препаратқ а келесі кө рсеткіштер бойынша сараптама жү ргізілді: идентификация, тү стілік, мө лдірлік, рН, тектес қ оспалар, стерилдік, мө лшерінің біркелкілігі, бактериальды эндотоксиндер, сандық анық тау.

Фармацевт-аналитик қ андай сапалық кө рсеткішіне қ осымша сынақ жү ргізуі қ ажет?

@масса біркелкілігі

@пирогендер

@жалпы технологиялық қ оспалар

@сульфатты кү л

@қ ышқ ылдық /сілтілік

~Сынақ зертханасына прокаин гидрохлоридінің 0, 5% - 5, 0 шаншуғ а арналғ ан ерітіндісі қ абылданды. Препараттың сандық мө лшерін нормативті қ ұ жат бойынша нитритометрия ә дісімен анық тауда келесі жағ дайлар бойынша жү ргізілді: дә л ө лшем алу, рН ортасы, температуралық режим, сыртқ ы индикатор – йодкрахмал қ ағ азы, титрант – 0.1М натрий нитриті.

Дә рілік препараттың нитритометриялық анық тауын қ осымша қ андай жағ дайда жү ргізу қ ажет?

@калий бромиді катализаторы қ атысында

@натрий гидроксиді қ атысында

@фосфатты буферлі ортада

@β -нафтол қ атысында

@40°С температурада

~Сынақ зертханасына Мильгамма 100 мг шаншуғ а арналғ ан ерітіндісі қ абылданды. Қ Р мемлекеттік фармакопеясы талабына сай дә рілік препаратқ а мө лшерінің біркелкілігі кө рсеткішінен басқ а барлық сапалық кө рсеткіштерге сараптама жү ргізілді: идентификация, мө лдірлік, тү стілік, рН, тектес қ оспалар, бө лініп алынатын кө лем, стерилдік, пирогендер, механикалық қ осылулар, сандық анық тау.

Сынақ зертханасында дә рілік препарат мө лшерінің біркелкілігіне неге сынау жү ргізілмеді?

@поливитаминді препараттарғ а сынау жү ргізілмейді

@шаншуғ а арналғ ан препараттарғ а сынау жү ргізілмейді

@комбинирленген препараттарғ а сынау жү ргізілмейді

@мө лшері 200 мг тө мен препараттарғ а сынау жү ргізілмейді

@мө лшері 50 мг жоғ ары препараттарғ а сынау жү ргізілмейді

~Сынақ зертханасына Кетопрофен 2, 5% гелі қ абылданды. Қ Р мемлекеттік фармакопеясы талабына сай дә рілік препаратқ а келесі кө рсеткіштер бойынша сараптама жү ргізілді: идентификация, рН, біркелкілік, микробиологиялық тазалығ ы, микробқ а қ арсы консерванттар, сандық анық тау.

Фармацевт-аналитик аталғ ан дә рілік препаратқ а қ осымша қ андай сынақ жү ргізуі қ ажет?

@тұ тқ ырлық

@стерилдік

@жалпы технологиялық қ оспалар

@қ ышқ ылдығ ы/сілтілігі

@мө лдірлік

~Нормативті қ ұ жат талабына сай новокаин гидрохлориді дә рілік субстанциясының сандық мө лшерін нитритометрия ә дісімен анық тайды. Эквивалент нү ктесін анық тау ү шін сыртқ ы индикатор – йодкрахмал қ ағ азы қ олданылады.

Титрлеу соң ын қ алай анық тайды?

@индикатор қ ағ азына зерттелетін ерітіндіні тамызғ анда, кө к дақ тың пайда болуы

@ зерттелетін ерітіндісі бар колбадағ ы индикатор қ ағ азының кө геруі

@индикатор қ ағ азындағ ы кө к дақ тың зерттелетін ерітінді ә серінен тү ссізденуі

@крахмал ерітіндісімен дымқ ылданғ ан индикатор қ ағ азының кө геруі

@йод ерітіндісімен дымқ ылданғ ан индикатор қ ағ азының кө геруі

~Сынақ зертханасына сараптамағ а токоферол ацетаты 100 мг капсуласы қ абылданды. Қ Р мемлекеттік фармакопеясы талабына сай дә рілік препаратқ а келесі кө рсеткіштер бойынша сараптама жү ргізілді: идентификация, масса біркелкілігі, мө лшерінің біркелкілігі, тектес қ оспалар, еруі, су, микробиологиялық тазалық, сандық анық тау.

Фармацевт-аналитик аталғ ан препаратқ а қ осымша қ андай сынақ жү ргізуі қ ажет?

@ыдырағ ыштығ ын анық тау

@бактериальды эндотоксиндерді анық тау

@жалпы технологиялық қ оспаларды анық тау

@тығ ыздығ ын анық тау

@сыну кө рсеткішін анық тау

 

~Глюкозаны дұ рыс сақ тамағ ан жағ дайда деструкцияғ а ұ шырайды. Осы жағ дайғ а байланысты Қ Р мемлекеттік фармакопеясы препаратта тектес қ оспалар мө лшерін нормалайды.

Қ Р мемлекеттік фармакопеясы субстанциядағ ы қ андай қ осылыстарды тектес қ оспалар тү рінде нормалайды?

@5-гидроксиметилфурфурол

@бө где қ анттар

@қ анттағ ы қ орғ асын

@пирогендер

@ерігіш крахмал, декстриндер

~Глюкозаны қ ышқ ылды-ферментативті гидролиз ә дісімен алуда нормативті қ ұ жат тектес қ оспаларды нормалайды.

Нормативті қ ұ жат зерттелетін препаратта қ андай тектес қ оспаларды анық тауды ұ сынады?

@5-гидроксиметилфурфурол

@бө где қ анттар

@қ анттағ ы қ орғ асын

@пирогендер

@ерігіш крахмал, декстриндер

~Сынақ зертханасына шаншуғ а арналғ ан гидрокортизон 0, 025/мл суспензия тү рінде қ абылданды. Нормативті қ ұ жат талабына сай препаратты талдауда калий гидроксидінің спиртті ерітіндісімен реакция жү ргізіп, ары қ арай конц. кү кірт қ ышқ ылын қ осқ анда ө зіне тә н балғ ын алманың иісі бар этилацетаты тү зілді.

Сынақ қ андай функциональды топқ а жү ргізілді?

@кү рделі-эфир тобына

@α -кетольды тобына

@стероидты цикліне

@метил тобына

@лактон цикліне

~Сынақ зертханасына индометацин 50 мг суппозиториялары қ абылданды. Қ Р мемлекеттік фармакопеясы дә рілік препаратқ а келесі кө рсеткіштер бойынша сараптама жү ргізді: идентификация, ыдырағ ыштық, балқ у температурасы, тектес қ оспалар, дозаланғ ан бірліктер біркелкілігі, микробиологиялық тазалық, сандық анық тау.

Фармацевт-аналитик қ андай сапалық кө рсеткішке қ осымша сынақ жү ргізуі қ ажет?

@толық деформациялану уақ ыты

@тығ ыздығ ы

@қ алдық еріткіштер

@мө лдірлік

@қ ышқ ылдық /сілтілік

~Сараптамағ а ксантиндер туындылары тобының дә рілік препараты қ абылданды. Жалпы алкалоидты реакциялар оң нә тиже берді. Препарат сілтілі ортада кү міс нитраты ерітіндісімен реакцияғ а тү сіп, ақ тү сті қ оймалжың тұ нба тү зеді, ары қ арай қ ыздырғ анда тұ нба ыдырап, салқ ындатқ анда қ айтадан қ атаяды.

Сараптамағ а қ андай дә рілік препарат қ абылданды?

@теофиллин

@теобромин

@ксантинол никотинаты

@пентоксифиллин

@кофеин натрий бензоаты

~Сараптамағ а тропандар туындылары тобының дә рілік препараты қ абыл-данды. Жалпы алкалоидты реакциялар оң нә тиже берді. Препаратты кү кірт қ ышқ ылымен калий дихроматы кристалдары қ атысында қ ыздырғ анда, бензальдегид тү зілуіне байланысты ащы бадамның иісі байқ алады.

Сараптамағ а қ андай дә рілік препарат қ абылданды?

@атропин сульфаты

@спазмолитин

@гоматропин гидробромиді

@тропафен

@тропацин

~Сынақ зертханасына натрий аминосалицилаты ұ нтағ ының инфузияғ а арналғ ан 100 мг дә рілік препараты тү сті. Қ Р мемлекеттік фармакопеясы талаптарына сә йкес дә рілік препаратқ а келесі кө рсеткіштер бойынша сараптама жасалды: идентификация, еру уақ ыты, мө лдірлік, тү стілік, рН, механикалық қ оспалар, тектес қ оспалар, стерилділік, бірліктерді дозалау біркелкілігі, пирогендер, сандық анық тау.

Фармацевт-аналитик дә рілік препаратта қ осымша қ андай сапа кө рсеткішін анық тауы тиіс?

@аномалды уыттылығ ы

@ыдырағ ыштық

@сульфат кү лі

@ү гілгіштік

@қ ышқ ылдық /сілтілік

~Клиниканың гинекологиялық бө ліміне парентералды қ олданылатын 1 мл дә рілік препарат ерітіндісі сараптамағ а алынды. Сипаттамасы бойынша мө лдір, тү ссіз ерітінді, иіссіз, ерітінді рН 4, 1-ге тең. Препарат оптикалық белсенді – меншікті айналу бұ рышы +54º шамасында. Жалпы алкалоидты реакциялармен оң нә тиже берді, бром суын тү ссіздендірді.

Фармацевт-аналитик қ андай дә рілік препаратқ а қ осымша идентификация жү ргізуі қ ажет?

@эргометрин малеаты ерітіндісіне

@эрготамин тартраты ерітіндісіне

@папаверин гидрохлориді ерітіндісіне

@кокарбоксилаза ерітіндісіне

@анальгин ерітіндісіне

~Ауруханааралық дә ріхананың аналитикалық бө лмесіне парентералды қ олданылатын 100 мл ерітінді тү сті. Сипаттама бойынша мө лдір, тү ссіз ерітінді, иіссіз, рН мә ні 6, 6. Препарат кү міс нитратымен азот қ ышқ ылы қ атысында ақ ірімшік тә різді тұ нба берді. Тү ссіз жалынды сары тү ске бояйды.

Аналитикалық бө лмеге қ андай дә рілік препарат сараптамағ а тү сті?

@натрий хлориді ерітіндісі

@калий хлориді ерітіндісі

@метронидазол ерітіндісі

@реополиглюкин ерітіндісі

@глюкоза ерітіндісі

~Сынақ зертханасына 1, 4-бензодиазепин тобының субстанциясы сараптамағ а тү сті. Қ ыздыра отырып қ ышқ ылдық гидролиз жү ргізгенде келесі ө німдерді тү зді:

 

Фармацевт-аналитик қ андай дә рілік препаратқ а қ осымша идентификация реакция-ларын жү ргізуі тиіс?

@феназепамғ а

@нитразепамғ а

@оксазепамғ а

@хлозепидке

@диазепамғ а

~Сынақ зертханасына 1, 4-бензодиазепин тобының субстанциясы сараптамағ а тү сті. Қ ыздыра отырып қ ышқ ылдық гидролиз жү ргізгенде келесі ө німдерді тү зді:

 


Фармацевт-аналитик қ андай дә рілік препаратқ а қ осымша идентификация реакция-ларын жү ргізуі тиіс?

@хлордиазепоксидке

@нитразепамғ а

@оксазепамғ а

@нозепамғ а

@диазепамғ а

~Туберкулезге қ арсы диспансерден инфузияғ а арналғ ан лиофилизацияланғ ан ұ нтақ тү ріндегі дә рілік препарат сараптамағ а алынды. Сипаттамасы бойынша борпылдақ сары жолағ ы бар ақ тү сті ұ нтақ. Тү ссіз жалынды сары тү ске бояды. Темір (III) хлориді ерітіндісімен кү лгін бояу пайда болады. УК-спектр 265±2 нм жә не 299±2 нм толқ ын ұ зындығ ында екі жұ ту максимумын кө рсетті.

Фармацевт-аналитик қ андай дә рілік препаратқ а қ осымша сапа кө рсеткішін жү ргізуі тиіс?

@натрий аминосалицилатына

@изониазидке

@метамизол натрийғ а

@протионамидке

@рифампицинге

~Туберкулезге қ арсы диспансерден 250 мг таблеткалар тү ріндегі дә рілік препарат сараптамағ а алынды. Сипаттамасы бойынша қ абық шамен қ апталғ ан сары тү сті таблетка, домалақ, екі жағ ы дө ң ес. УК-спектр 290±2нм толқ ын ұ зындығ ында жұ ту максимумын кө рсетті. Кү міс нитратымен қ ою-қ оң ыр тү сті тұ нба тү зді. Сынап ацетаты ерітіндісімен малынғ ан қ ағ азды хлорсутек қ ышқ ылының буында қ ыздырғ анда қ ара тү ске бояды.

Фармацевт-аналитик қ андай дә рілік препаратқ а қ осымша сапа кө рсеткішін жү ргізуі тиіс?

@этионамидке

@изониазидке

@фтивазид гидратына

@натрий аминосалицилатына

@рифампицинге

~Сынақ зертханасына қ ұ рамында қ атты бө лшектері жоқ, ақ ұ нтақ тү ріндегі дә рілік препарат тү сті. Препарат іс жү зінде суда жә не органикалық еріткіштерде ерімейді, қ ышқ ылдарда жә не сілтілік жер металдар гидроксидтері ерітінділерінде ө те аз ериді. Препарат сынамасын идентификациялау ү шін натрий карбонаты ерітіндісімен қ айнатады, сү зеді. Қ алдық ты судың аз мө лшерімен жуады, хлорсутек қ ышқ ылымен қ ышқ ылдайды жә не сұ йытылғ ан кү кірт қ ышқ ылын қ осады. Осы кезде натрий карбонаты ерітіндісінде ерімейтін ақ тұ нба пайда болады.

Фармацевт-аналитик қ андай дә рілік препаратқ а қ осымша сапа кө рсеткішін жү ргізуі тиіс?

@барий сульфаты

@кальций хлориді

@натрий хлориді

@магний сульфаты

@натрий тиосульфаты

~Сараптамағ а ақ тү сті ә лсін сұ р жолағ ы бар ұ нтақ тү ріндегі дә рілік препарат алынды, иіссіз, ө те ащы дә мді. Препарат жалпы алкалоидты реактивтермен оң нә тиже береді. Қ ышқ ылды ортада йод ерітіндісімен қ оң ыр, кү міс тү сті тұ нба береді.

Фармацевт-аналитик қ андай дә рілік препаратқ а қ осымша сапа кө рсеткішін жү ргізуі тиіс?

@дибазолғ а

@клофелинге

@метронидазолғ а

@нафтизинге

@галазолинге

~Сынақ зертханасына токоферол ацетатының 50% - 1, 0 шаншуғ а арналғ ан ерітіндісі қ абылданды. Препарат сары тү сті, жең іл лайлану байқ алатын тұ тқ ыр ерітінді. Қ Р ө неркә сіптің фармакопеялық мақ аласына сай сапасын талдауда «мө лдірлік», «тү стілік» кө рсеткіштері сынағ ына тө теп бермеді. Бө где қ оспаларды жоғ ары эффективті сұ йық тық хроматография ә дісімен анық тауда спецификалық қ оспалар мө лшерінің жоғ ары екендігін кө рсетті.

Препарат тұ рақ тылығ ының ө згеруіне қ андай жағ ымсыз ү дерістер ә сер етті?

@сақ тау кезінде дә рілік препараттың тотығ уы

@сақ тау кезінде дә рілік препараттың гидролизі

@синтез кезінде субстанцияның толық тазартылмауы

@талдау жасауда дә рілік препараттың деструкцияғ а ұ шырауы

@синтез жағ дайының бұ зылуы

~Қ Р мемлекеттік фармакопеясы диализге арналғ ан ерітінділер ө ндірісінде қ олданылатын шаншуғ а арналғ ан суда қ андай тазалық кө рсеткішін анық тауды ұ сынады?

@алюминий қ оспасын

@аммоний тұ здары қ оспасын

@кальций жә не магний қ оспасын

@тотығ атын заттар қ оспасын

@бактериальды эндотоксиндерді

~Фармацевтикалық ө неркә сіп рутин 0, 05 г таблеткаларын ө ндіру ү шін субстанция сатып алды. Субстанцияны идентификациялау ү шін фармацевт-аналитик магний ұ нтағ ымен спиртті ортада конц. хлорсутек қ ышқ ылының қ атысында реакция жү ргізді. Қ ызыл тү с пайда болды.

Фармацевт-аналитик дә рілік препаратты идентификациялау ү шін қ андай реакция жү ргізді?

@цианидин сынамасын

@каролин сынамасын

@мурексид сынамасын

@ Марш реакциясын

@Бельштейн сынамасын

~Фармацевтикалық ө неркә сіп рутин 0, 05 г таблеткаларын ө ндіру ү шін субстанция сатып алды. Субстанцияны идентификациялау ү шін фармацевт-аналитик қ ышқ ылды гидролизден кейін Фелинг реактивін қ олданды.

Фармацевт-аналитик дә рілік препаратты молекуланың қ ай функционалды фрагменті бойынша идентификациялады?

@ глюкоза қ алдығ ы

@ фруктоза қ алдығ ы

@кверцетин

@дигидрокверцетин

@халкон

~Пурин туындысына жататын белгісіз дә рілік субстанцияғ а талдау жасауда танин ерітіндісімен ә сер еткенде ақ тұ нба тү зілді, йод ерітіндісімен жылтыр қ ызыл тұ нба тү зілді.

Препараттың ө зі екендігін дә лелдеу ү шін қ осымша қ андай сынақ жү ргізу қ ажет?

@мурексид сынағ ы

@гидроксам сынағ ы

@Бейльштейн сынағ ы

@коралин сынағ ы

@таллейохин сынағ ы

~Нормативті қ ұ жатқ а парентеральды қ олданылатын кофеин-натрий бензоаты 20% - 1, 0 шаншуғ а арналғ ан ерітіндісіне келесі сапалық кө рсеткіштер енгізілген: мө лдірлігі, тү стілігі, рН, мө лшер біркелкілігі, тектес қ оспалар, механикалық қ осындылар, жалпы технологиялық қ оспалар.

Нормативті қ ұ жатқ а аталғ ан препаратқ а қ андай сапалық кө рсеткіш қ осымша енгізілуі қ ажет?

@бактериалды эндотоксиндер

@сульфатты кү л

@бө лшектер ө лшемі

@сыну кө рсеткіші

@тығ ыздығ ы

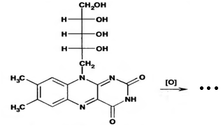
~Сараптамағ а рибофлавиннің 1% - 1, 0 шаншуғ а арналғ ан ерітіндісі қ абылданды. Сипаттамасы бойынша сары тү сті ерітінді, спиртті ерітіндісі жасыл флюресценция береді.Тексеру барысында оптикалық активсіз екені байқ алды.

Қ андай қ оспаның пайда болуына байланысты препарат нормативті қ ұ жат талаптарына сай емес?

@люмифлавин

@люмихром

@лейкофлавин

@кө мірқ ышқ ыл газы

@изоаллоксазин

~Сараптамағ а рибофлавиннің 1% - 1, 0 шаншуғ а арналғ ан ерітіндісі қ абылданды. Сипаттамасы бойынша тү ссіз ерітінді. Спиртті ерітіндісі флюресценция бермейді. Тексеру барысында тотығ у-тотық сыздану процесіне ұ шырағ аны анық талды.

 

Қ андай қ оспаның пайда болуына байланысты препарат нормативті қ ұ жат талаптарына сай емес?

@лейкофлавин

@люмихром

@люмифлавин

@рибоза

@аммиак

~Фармацевтикалық ө ндіріске дә рілік субстанция қ абылданды. Фармацевт-аналитик сапасын бақ ылау кезінде субстанцияның ақ кристалды ұ нтақ жә не суда оң ай еритіндігін анық тады. Ө зі екендігін анық тау кезінде Витали-Морен реакциясы оң нә тиже берді жә не аммиак ерітіндісі қ атысында тұ нба пайда болды. Сонымен қ атар, субстанцияның балқ у температурасы 1900С.

Фармацевтикалық ө ндіріске қ андай дә рілік субстанция қ абылданды?

@атропин сульфаты

@дротаверин гидрохлориді

@норадреналин гидрохлориді

@морфин гидрохлориді

@хинин сульфаты

~Бақ ылау зертханасына цианокобаламиннің 500 мг – 1, 0 шаншуғ а арналғ ан ерітіндісі қ абылданды. Фармацевт-аналитик сапасына бақ ылау жү ргізуде алдын-ала калий гидросульфаты қ атысында минерализация жү ргізді. Ары қ арай натрий гидроксиді ерітіндісімен бейтараптап, натрий ацетаты, сірке қ ышқ ылы жә не нитрозо-R-тұ зы қ атысында жү ргізілген реакция нә тижесінде қ ызыл тү сті ө нім тү зілді.

Фармацевт-аналитик цианокобаламиннің қ ай фрагменті бойынша ө зі екендігін анық тады?

@ Со+2 ионына

@гидразин қ алдығ ына

@ 6, 7-диметилбензимидазолғ а

@синил қ ышқ ылының қ алдығ ына

@азометин тобына

~Сараптамағ а пиразол туындысы – феназон қ абылданды. Дә рілік препарат суда ө те оң ай, этанолда жә не хлороформда оң ай ериді. Нормативті қ ұ жат талабына сай сандық мө лшерін кері йодометрия ә дісімен анық тауда препаратты хлороформда ерітіп, натрий ацетатын қ осып, йодтың артық мө лшерін 0, 1М натрий тиосульфаты ерітіндісімен титрледі.

Талдау барысында еріткіш ретінде неліктен хлороформ қ олданылды?

@ йодтың адсорбциялану ү рдісін тежеу ү шін

@ реакция кері жү рмеу ү шін

@еріткіш ретінде

@тотығ у реакциясын тежеу ү шін

@катализатор ретінде

~Сараптамағ а пиразол туындысы – феназон қ абылданды. Нормативті қ ұ жат талабына сай сандық мө лшерін кері йодометрия ә дісімен анық тауда препаратты хлороформда ерітіп, натрий ацетатын қ осып, йодтың артық мө лшерін 0, 1М натрий тиосульфаты ерітіндісімен титрледі.

Талдау барысында натрий ацетаты қ андай мақ сатта қ олданылды?

@ реакция кері жү рмеу ү шін

@йодтың адсорбциялану ү рдісін тежеу ү шін

@еріткіш ретінде

@тотығ у реакциясын тежеу ү шін

@катализатор ретінде

~Сараптау орталығ ына сараптамағ а никотин қ ышқ ылы, никотинамид жә не никетамид дә рілік препараттары қ абылданды. Фармацевт-аналитик талдау жү ргізу кезінде жалпы топтық реакция жү ргізді. Реакция нә тижесінде ө зіне тә н иісі бар пиридин жә не ақ кө піршікті кө міртек диоксиді газдары тү зілді.


Поделиться с друзьями:

mylektsii.su - Мои Лекции - 2015-2026 год. (0.891 сек.)Все материалы представленные на сайте исключительно с целью ознакомления читателями и не преследуют коммерческих целей или нарушение авторских прав Пожаловаться на материал