Студопедия

Главная страница Случайная страница

КАТЕГОРИИ:

АвтомобилиАстрономияБиологияГеографияДом и садДругие языкиДругоеИнформатикаИсторияКультураЛитератураЛогикаМатематикаМедицинаМеталлургияМеханикаОбразованиеОхрана трудаПедагогикаПолитикаПравоПсихологияРелигияРиторикаСоциологияСпортСтроительствоТехнологияТуризмФизикаФилософияФинансыХимияЧерчениеЭкологияЭкономикаЭлектроника






Курс, 5В110300 – «Фармация» мамандығы студенттеріне арналған фармацевтикалық химия пәнінен тест сұрақтары, 27.05.2015 жылы. 3 страница






@ Гидролитикалық ыдырау

@ Анаэробты тотығ у

~Емдеу мекемесінен пилокарпин гидрохлориді кө з тамшысының орамы келіп тү сті. Спектральды жә не химиялық талдау нә тижесі препараттың ө зі екендігін дә лелдеді.

Аталғ ан препараттың тү пнұ сқ алығ ын дә лелдеу ү шін қ андай сапалық параметрге қ осымша сынақ жү ргізілуі қ ажет?

@ Меншікті айналу

@ Жұ тылу кө рсеткіші

@ Қ ышқ ыл саны

@ Сыну кө рсеткіші

@ Эфир саны

~Кө з тамшысы қ ұ рамына дикаин жә не метилцеллюлоза кіреді. Нормативті қ ұ жат жобасында дә рілік затқ а келесі сапалық кө рсеткіштер енгізілген: мө лдірлік, тү стілік, рН, механикалық қ осылулар, орам ішіндегісінің кө лемі, стерилдік, осмоляльдық.

Аталғ ан препараттың нормативті қ ұ жат жобасында қ андай сапалық кө рсеткіш қ осымша енгізілуі қ ажет?

@ Тұ тқ ырлық

@ Тығ ыздық

@ Пирогенділік

@ Қ ышқ ылдық

@ Сілтілік

~Белгісіз дә рілік субстанция ашық -сары тү сті майда кристалды ұ нтақ, ванилиннің ә лсіз иісі бар, дә мсіз. Спектральды жә не элементті талдау препарат молекуласында амидті жә не азометин топтары бар екендігін кө рсетті.

Ө зі екендігін анық тау ү шін қ андай препаратқ а қ осымша сынақ жү ргізіледі?

@ Фтивазид

@ Изониазид

@ Рибофлавин

@ Фурагин

@ Фурадонин

~Белгісіз дә рілік субстанция сары-қ ызғ ылт кристалды ұ нтақ, ө зіндік ә лсіз иісі бар, ащы дә мді. Препараттың сулы ерітіндісі ашық жасыл-сары тү с жә не УК-жарық та қ арқ ынды жасыл флюоресценция береді.

Қ андай препаратқ а тү пнұ сқ алығ ын анық тау ү шін қ осымша сынақ жү ргізіледі?

@ Рибофлавин

@ Фурагин

@ Фурацилин

@ Рутин

@ Хинозол

~Қ ұ рамында метилцеллюлозасы бар пилокарпин кө з тамшысының нормативті қ ұ жат жобасында келесі сапалық кө рсеткіштер енгізілген: мө лдірлік, тү стілік, рН, механикалық қ осылулар, орам ішіндегісінің кө лемі, осмоляльдық, тектес қ оспалар.

Аталғ ан препараттың нормативті қ ұ жат жобасына қ андай сапалық параметр енгізілуі қ ажет?

@ Тұ тқ ырлық

@ Тығ ыздық

@ Пирогенділік

@ Бө лшек ө лшемі

@ Изотондылық

~Қ андай сапалық параметр «мө лшердің сыналатын ү лгідегі мө лшерінің бекітілген орташа мә ндері шектерінде екенін анық тау мақ сатында дә рі-дә рмектің жеке бір дозалық бірлігінің мө лшерін сандық анық тауғ а негізделген» сынағ ымен анық талады?

@ Ә сер етуші зат мө лшерінің біркелкілігі

@ Ә сер етуші зат мө лшерін сандық анық тау

@ Тектес қ оспалардың шектік мө лшері

@ Жалпы технологиялық қ оспалардың шектік мө лшері

@ Дозаланғ ан дә рі-дә рмектің масса біркелкілігі

~ «Кө рсетілген пайызда ә сер етуші заттың тиісті уақ ыт ішіндегі ерітіндіге ө ту мө лшері» анық тамасы қ андай сапалық параметрге сә йкес келеді?

@ Еру

@ Ыдырағ ыштық

@ Мө лшерінің біркелкілігі

@ Биологиялық белсенділігі

@ Сандық мө лшері

~Парацетамол суппозиториясының ө ндірістік нормативті қ ұ жат жоба-сында келесі сапалық кө рсеткіштер енгізілген: орташа массасы жә не масса біркелкілігі, мө лшер біркелкілігі, толық деформациялану уақ ыты, еру, тектес қ оспалар.

Аталғ ан препараттың нормативті қ ұ жат жобасына қ андай сапалық кө рсеткіш енгізілуі қ ажет?

@ Бө лшектер ө лшемі

@ Тығ ыздық

@ рН кө рсеткіші

@ Тұ тқ ырлық

@ Ыдырағ ыштық

~Метилурацил жақ памайының ө ндірістік нормативті қ ұ жат жобасында келесі сапалық кө рсеткіштер енгізілген: сипаттама, идентификация, біркелкілік, бө лшектердің ө лшемі, рН, қ ышқ ыл саны, пероксид саны, сандық анық тау.

Аталғ ан препараттың нормативті қ ұ жат жобасына қ осымша қ андай сапалық кө рсеткіш енгізілуі қ ажет?

@ Контейнердің герметикалығ ы

@ Механикалық қ осылулар

@ Еру

@ Ыдырағ ыштық

@ Салыстырмалы тығ ыздық

~Сараптамағ а фенотиазин тобына жататын дә рілік субстанция тү сті. Спектральды жә не элементті талдау нә тижесі препарат қ ұ рылымында қ абысқ ан –СH=CH-байланыс, S жә не N атомдарының бар екендігін кө рсетті.

Аталғ ан препараттың ө зі екендігін анық тау ү шін қ осымша қ андай ө зіндік реакция жү ргізіледі?

@ Бром суымен

@ Йодпен

@ Кү кірт қ ышқ ылымен

@ Кү міс нитратымен

@ Хлор қ ышқ ылымен

~Сараптамағ а емдеу мекемесінен хинин гидрохлориді таблеткалары қ абылданды. Емдеу нә тижесі бойынша препарат қ ажетті фармакологиялық ә серді кө рсете алмады. Препаратты қ абылдағ аннан кейін науқ аста жү рек жиырылуы жиілігінің ө згерісі байқ алды. Сараптама препараттың ө зі екендігін анық тады: жалпы алкалоидты реакция мен таллейохин сынағ ы оң нә тиже берді.

Хининнің қ андай аналогына ө зі екендігін анық тауда қ осымша сынақ жү ргізу қ ажет?

@ Хинидин

@ Трихомонацид

@ Хингамин

@ Энтеросептол

@ Хинозол

~ Сараптамағ а емдеу мекемесінен хинин гидрохлориді таблеткалары қ абылданды. Емдеу нә тижесі бойынша препарат қ ажетті фармакологиялық ә серді кө рсете алмады. Препаратты қ абылдағ аннан кейін науқ аста жү рек жиырылуы жиілігінің ө згерісі байқ алды. Сараптама препараттың ө зі екендігін анық тады: жалпы алколоидты реакция мен таллейохин сынағ ы оң нә тиже берді.

Аталғ ан препараттың ө зі екендігін қ андай физикалық константа бойынша анық тау қ ажет?

@ Меншікті айналу бұ рышы

@ Сыну кө рсеткіші

@ Балқ у температурасы

@ Жұ тылу кө рсеткіші

@ рН кө рсеткіші

~ Сараптамағ а емдеу мекемесінен хинин гидрохлориді таблеткалары қ абылданды. Емдеу нә тижесі бойынша препарат қ ажетті фармакологиялық ә серді кө рсете алмады. Препаратты қ абылдағ аннан кейін науқ аста жү рек жиырылуы жиілігінің ө згерісі байқ алды. Сараптама препараттың ө зі екендігін анық тады: жалпы алколоидты реакция мен таллейохин сынағ ы оң нә тиже берді.

Аталғ ан препараттың ө зі екендігін анық тау ү шін қ осымша қ андай талдау ә дісі қ олданылады?

@ Поляриметрия

@ Потенциометрия

@ Фотометрия

@ Нефелометрия

@ Рефрактометрия

~ Дә рілік препаратты синтездеу ү шін бастапқ ы зат ретінде тропин спирті қ олданылды, ол ары қ арай дифенилсірке қ ышқ ылымен этерификацияланды. Синтездің соң ғ ы сатысында алынғ ан ө нім хлорсутек қ ышқ ылымен ө ң делді.

Жоғ арыда кө рсетілген схемамен қ андай препарат синтезделген?

@ Тропацин гидрохлориді

@ Атропин сульфаты

@ Тропафен гидрохлориді

@ Гоматропин гидробромиді

@ Апрофен гидрохлориді

~Белгісіз дә рілік субстанция сары тү сті ө зіне тә н иісі бар майлы сұ йық тық. Су, этанол, эфир, хлороформмен оң ай араласады. Натрий гидроксидімен қ ыздырғ анда, диэтиламиннің иісі шығ ады, Цинке реакциясы оң нә тиже береді.

Қ андай дә рілік препаратқ а ө зі екендігін анық тауда қ осымша сынақ жү ргізіледі?

@ Кордиамин

@ Токоферол

@ Ретинол

@ Валидол

@ Никотинамид

~Белгісіз дә рілік субстанция ә лсіз ванилин иісі бар ашық -сары тү сті майда кристалды ұ нтақ. Суда ө те аз, қ ышқ ыл мен сілті ерітінділерінде бояу қ арқ ындылығ ын арттыра отырып, оң ай ериді. Сусыз натрий карбонатымен пиролиз реакциясы оң нә тиже береді.

Ө зі екендігін анық тау ү шін қ андай дә рілік субстанцияғ а қ осымша сынақ жү ргізіледі?

@ Фтивазид

@ Изониазид

@ Ниаламид

@ Протионамид

@ Этионамид

~Дә рілік субстанцияны синтездеу ү шін бастапқ ы зат ретінде изоникотин қ ышқ ылының гидразиді қ олданылды. Оны Шифф негізін тү зу реакциясы бойынша концентрлі кү кірт қ ышқ ылы қ атысында 3-метокси-4-оксибензаль-дегидпен ө ң дейді.

Аталғ ан реакциямен қ андай препарат синтезделеді?

@ Фтивазид

@ Изониазид

@ Никотинамид

@ Никодин

@ Кордиамин

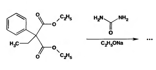
~Дә рілік субстанцияны синтездеудің негізгі сатысында 2-этил-2-фенилмалон қ ышқ ылының диэтил эфирі натрий метилаты қ атысында қ ыздырғ анда мочевинамен конденсацияланады. Ары қ арай алынғ ан ө німнің натрий тұ зы сұ йытылғ ан кү кірт қ ышқ ылы ә серінен қ ышқ ылды тү рге ауысады.

Аталғ ан реакциямен қ андай препарат синтезделеді?

@ Фенобарбитал

@ Барбитал

@ Бензонал

@ Гексенал

@ Барбамил

~Дротаверин гидрохлоридінің (Но-шпа) химиялық қ ұ рылымындағ ы қ андай фрагмент препараттың спазмолитикалық ә серін кө рсетеді?

@ Бензил радикалы

@ Этокси - тобы

@ Бензол ядросы

@ Пиридин ядросы

@ Изохинолин ядросы

~Бутадионның химиялық қ ұ рылымындағ ы қ андай фрагмент препараттың айқ ын қ абынуғ а қ арсы ә серін кө рсетеді?

@ Дифенилгидразин

@ Кето - тобы

@ Бутил радикалы

@ Гидразин

@ Пиразолин ядросы

~Фармацевтикалық ө ндіріс қ оймасынан безендірілмеген флаконда дә рілік субстанция алынды. Сипаттамасы бойынша тү ссіз сусымалы ине тә різді, иіссіз, ө те ащы дә мді. Суда ериді, қ айнағ ан су мен спиртте оң ай, хлороформда су тамшыларын бө ле отырып ериді. Препарат оптикалық белсенді. Жалпы алкалоидты реакция мен талейохин сынағ ы оң нә тиже берді.

Қ андай дә рілік препаратқ а қ осымша идентификациялау реакциясын жү ргізу қ ажет?

@ Хинин гидрохлориді

@ Хинин сульфаты

@ Трихомонацид

@ Энтеросептол

@ Хинин дигидрохлориді

~Морфин молекуласының қ андай фрагментін оның синтетикалық аналогтары химиялық қ ұ рылысының негізі ретінде алуғ а болады?

@ Фенилметилпиперидин

@ Фенилизохинолин

@ Фенантренизохинолин

@ Метилфенантрен

@ Метилморфолин

~Сараптамағ а тү ссіз, ине тә різді, иіссіз, ө те ащы дә мді белгісіз субстанция келіп тү сті. Суда оң ай, спиртте ериді. Спектральды талдау нә тижесі препаратта ү шіншілік азот атомы -N<, ароматты циклдің қ абысқ ан қ ос байланысы – СН=СН- жә не метокси –ОСН3- топтың бар екендігін кө рсетті. Субстанция оптикалық белсенді.

Сараптамағ а қ андай препарат тү сті?

@ Хинин гидрохлориді

@ Нитроксолин

@ Энтеросептол

@ Ацеклидин

@ Хинозол

~ Фармацевтикалық ө ндірістің техникалық бақ ылау бө ліміне ашық -сары тү сті жақ па май дә рілік препаратының сериясы қ абылданды. Спектральды жә не элементті талдау нә тижесі препаратта ү шіншілік азот атомы -N<, ароматты циклдің қ абысқ ан қ ос байланысы – СН=СН-, фенолды гидроксил – ОН –, кү кірт атомы S (VI) бар екендігін кө рсетті.

Қ андай препаратқ а ө зі екендігін анық тау ү шін қ осымша сынақ жү ргізу қ ажет?

@ Хинозол

@ Левомицетин

@ Фурацилин

@ Фурагин

@ Метронидазол

~Фоль қ ышқ ылы молекуласындағ ы қ андай фрагмент сульфаниламидтер дә рілік препараттарының бә секелес антогонистері болып табылады?

@ П-аминобензой қ ышқ ылы

@ Д-глютамин қ ышқ ылы

@ Птеридил-6-карбон қ ышқ ылы

@ Метил-аминобензой қ ышқ ылы

@ Птерой қ ышқ ылы

~Ауруханааралық дә ріхана қ оймасынан кө лемі 200 мл флаконда шаншуғ а арналғ ан инфузиялық ерітінді алынды. Препарат иіссіз, ащы дә мді тү ссіз мө лдір сұ йық тық. Спектральды жә не элементті талдау нә тижесі препаратта ү шіншілік азот атомы - N<, кето-тобы > С=О, спиртті гидроксил тобы –ОН жә не нитротобы – NО2 бар екендігін кө рсетті.

Қ андай препаратқ а қ осымша идентификациялау реакциясын жү ргізу қ ажет?

@ Метронидазол

@ Реополиглюкин

@ Глюкоза

@ Ацесоль

@ Трисоль

~Дә ріханағ а пациент сульфадиметоксин таблеткасына рецептпен келді. Фармацевт препаратты босатар алдында пациентке қ алай қ олдану туралы кең ес беріп, бір таблеткадан кү ніне бір рет тамақ тан соң қ абылдау керектігін тү сіндірді.

Сульфаниламидтердің химиялық қ ұ рылысы мен биотрансформациясын ескере отырып, фармацевт міндетті тү рде қ андай кең ес беруі тиіс еді?

@ Кө п мө лшерде негіздік қ асиеті бар заттармен ішу

@ Жылы сү тпен ішу

@ Кө п мө лшердегі сумен бірге ішу

@ Кө п мө лшерде қ ышқ ылдық қ асиеті бар заттармен ішу

@ Кө п мө лшерде бейтарап қ асиеті бар заттармен ішу

~Сынақ зертханасына қ оң ыр шыныда тығ ыз тығ ындалғ ан белгісіз препарат тү сті. Сипаттамасы бойынша препарат ақ кристалды ұ нтақ, қ ұ рамында тиаминді витаминдерге тә н иісі бар.

Бұ л жағ дайда қ андай жалпы топтық реакция жү ргізілуі тиіс?

@ Тиохром сынағ ын жү ргізу

@ Ерігіштігін анық тау

@ Балқ у температурасын анық тау

@ Қ ышқ ылдық немесе сілтілікті анық тау

@ Ерітіндінің рН мә нін анық тау

~Сараптамағ а бензолсульфаниламидтер тобына жататын дә рілік субстанция тү сті. Сипаттамасы бойынша ақ, аздап сарғ ыш рең і бар кристалды ұ нтақ. Суда іс жү зінде ерімейді, негіздерде ериді. Біріншілік ароматты амин тобына тә н реакцияларды (лигнин сынағ ы, азоқ осылыс тү зу) бермейді.

Бұ л жағ дайда қ андай препаратқ а ө зі екендігін анық тайтын қ осымша реакция жү ргізілуі тиіс?

@ Фталазол

@ Сульфадиметоксин

@ Салазопиридазин

@ Сульфален

@ Сульфацил-натрий

~Белгісіз препарат сыртқ ы кө рінісі бойынша ақ тү сті кристалды ұ нтақ, иіссіз, суда жең іл ериді, этанолда ериді, эфирде іс жү зінде ерімейді. Бром суымен реакцияғ а тү седі. Оттекте жандырғ анда кү кірт жә не фтор иондары анық талды.

Қ андай препаратқ а ө зі екендігін анық тайтын қ осымша талдау жү ргізілуі тиіс?

@ Фторфеназин

@ Аминазин

@ Диазепам

@ Феназепам

@ Этацизин

~Сараптамағ а атауы жазылмағ ан дә рілік препарат - кө з тамшысы тү сті. Контейнердегі кө з тамшысы тү ссіз, мө лдір, иіссіз сұ йық тық. Шифф негізін тү зу реакциясын береді.

Қ андай препаратқ а ө зі екендігін анық тайтын қ осымша талдау жү ргізілуі тиіс?

@ Cульфацил-натрий ерітіндісі

@ Левомицетин ерітіндісі

@ Пилокарпин ерітіндісі

@ Атропин ерітіндісі

@ Мырыш сульфаты ерітіндісі

~Сору шкафының жұ мыс істемеуіне байланысты сынақ зертханасында атропин сульфатының сандық мө лшерін сусыз нейтрализация ә дісімен анық тауғ а мү мкіншілік болмады.

Бұ л жағ дайда атропин сульфатының сандық анық тауы қ андай қ арапайым, жедел ә діспен анық тауғ а болады?

@ Байланысқ ан кү кірт қ ышқ ылы бойынша бейтараптану ә дісі

@ Байланысқ ан кү кірт қ ышқ ылы бойынша гравиметрия ә дісі

@ Атропин негізі бойынша гравиметрия ә дісі

@ Троп қ ышқ ылы бойынша броматометрия ә дісі

@ Гидролизден соң троп қ ышқ ылы бойынша бейтараптану ә дісі

~Хлорпромазин гидрохлоридіне толық фармакопеялық талдау жасау барысында химик - аналитиктің қ ол терісі тітіркеніп, соң ынан инфильтрат пайда болды. Талдау резиналық қ олғ аппен сору шкафында орындалды.

Эксперт жұ мыс соң ында қ андай қ осымша сақ тылық шараларын қ олдануы тиіс?

@ Қ олды салқ ын аздап қ ышқ ылданғ ан сумен, сабынсыз жуу қ ажет

@ Қ олды жылы сабынды сумен жуу қ ажет

@ Қ олды жылы, сілті қ осылғ ан сабынды сумен жуу қ ажет

@ Қ олды жылы, қ ышқ ыл қ осылғ ан сабынды сумен жуу қ ажет

@ Қ олды салқ ын, сілті қ осылғ ан сабынсыз сумен жуу қ ажет

~Сараптауғ а тү скен фенотиазин туындысының ИҚ -спектрін анық тау барысында амидті карбонил тобының валентті тербелісіне тә н жұ тылу максимумы аанық талды.

Қ андай препаратқ а ө зі екендігін анық тайтын қ осымша талдау жү ргізілуі тиіс?

@ Этацизин

@ Дипразин

@ Аминазин

@ Пропазин

@ Трифтазин

~Белгісіз дә рілік препарат сыртқ ы кө рінісі бойынша ақ кристалды ұ нтақ, суда жең іл ериді, этанолда ериді, балқ у температурасын анық тағ анда ыдырайды. Онда 5 гидроксиметил - 2, 4 - диметилпиридин -3-ол ө зіндік қ оспасы анық талды.

Қ андай препаратқ а ө зі екендігін анық тайтын ө зіне тә н реакция жасалуы тиіс?

@ Пиридоксин гидрохлориді

@ Папаверин гидрохлориді

@ Дротаверин гидрохлориді

@ Тиклодипин гидрохлориді

@ Дифенилтропин гидрохлориді

~Сараптамағ а тропан тобындағ ы алкалоидтарғ а ұ қ сас дә рілік зат тү сті. Ол ақ кристалды ұ нтақ, иіссіз, суда жең іл, этанолда орташа ериді. Кең істікті бұ ру қ асиеті жоқ. Тропан тобындағ ы алкалоидтарғ а тә н жалпы реакция - Витали-Морен реакциясын бермейді.

Қ андай дә рілік затқ а ө зі екендігін анық тайтын қ осымша талдау жү ргізілуі тиіс?

@ Гоматропин

@ Скополамин

@ Тропацин

@ Тропафен

@ Тровентол

~Тө тенше жағ дайғ а ұ шырағ ан жә бірленушіден алынғ ан қ ара шыныдағ ы аты ө шірілген дә рілік препарат сараптамағ а жеткізілді. Шыныдағ ы препараттың (5 мл) тү ссіз, мө лдір, иіссіз, сумен оң ай араласып, қ ыздырғ анда от алатын сұ йық тық екені анық талды. Белгісіз препаратпен жұ мыс кезінде зерттеушінің басы қ атты ауыра бастады.

Қ андай затқ а ө зі екендігін анық тайтын реакция жасалуы тиіс?

@ Нитроглицерин

@ Адреналин

@ Эфедрин

@ Но-шпа

@ Атропин

~Қ ала дә ріханасынан бактерияғ а қ арсы ә сері жоқ деген шағ ыммен хлорамфеникол таблеткалары зерттеуге алынды. Хлорамфеникол таблетка-сының ә сер етуші затын иденфикациялау жә не сандық мө лшерін анық тау барысында нормативті қ ұ жат талабына сай екендігі анық талды.

Препаратта қ андай сапалы кө рсеткіш қ осымша тексерілуі тиіс?

@ Меншікті айналу бұ рышы

@ Тектес қ оспалар

@ Еруі

@ Микробиологиялық тазалығ ы

@ Ыдырағ ыштығ ы

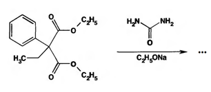
~Дә рілік препаратты алу ү шін бензилхлорид бастапқ ы зат ретінде қ олданылды, одан фенилэтилмалон қ ышқ ылының диэтил эфирі алынды. Соң ғ ы ө нім мочевинамен конденсирленген.

Аталғ ан схема бойынша қ ай препарат алынғ ан?

@ Фенобарбитал

@ Барбитал

@ Бензонал

@ Гексенал

@ Гексамидин

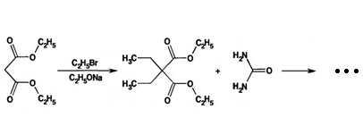
~Дә рілік препаратты алу ү шін бензилхлорид бастапқ ы зат ретінде қ олданылды, одан диэтилмалон қ ышқ ылының диэтил эфирі алынды. Соң ғ ы ө нім мочевинамен конденсирленген.

Аталғ ан схема бойынша қ ай препарат алынғ ан?

@ Барбитал

@ Фенобарбитал

@ Гексенал

@ Бензонал

@ Тиопентал

~Папаверин гидрохлориді дә рілік субстанциясының фармакопеялық мақ аласында тектес қ оспалар (папаверинол, папавералдин, дигидропапаверин) жоғ ары эффективті сұ йық тық хроматография ә дісімен анық тау барысында тектес қ оспалардың жіберілу шегінен асқ андығ ы анық талды.

Бұ л жағ дайда папавериннің қ андай сапалық кө рсеткіші анық талуы тиіс?

@ Ерітіндінің тү стілігі

@ Идентификациясы

@ Ерітіндінің рН ортасы

@ Ерігіштігі

@ Сандық мө лшері

~Сынақ зертханасында фармакопеялық мақ ала бойынша фурациллин субстанциясының сандық мө лшерін спектрофотометрия ә дісімен анық тауда стандартты ү лгінің болмауына байланысты титриметриялық ә діспен алмастыру қ ажет болды.

Фурациллиннің сандық талдауында қ андай ә дісті қ олдануғ а болады?

@ Кері йодометрия

@ Нитротоп тотық сызданғ аннан кейін нитритометрия

@ Мыс кешені тү зілгеннен кейін комплексонометрия

@ Ығ ыстыру аргентометрия

@ Сулы ортада нейтрализация

~Қ андай препарат бутилмалон қ ышқ ылы мен гидразобензолғ а дейін ыдырайды?

@ Бутадион

@ Диклофенак натрий

@ Анальгин

@ Антипирин

@ Амидопирин

~Қ андай препарат макроциклді коррин жү йесінің кобальт кешені мен бензимидазол нуклеотидінен тұ рады?

@ Цианокобаламин

@ Фосфотиамин

@ Ко-тримоксазол

@ Этионамид

@ Тропацин

~Пиразолон-5 туындысының қ андай препараты минералды қ ышқ ылдармен қ ыздырғ анда кү кірт жә не формальдегид бө леді?

@ Анальгин

@ Бутадион

@ Антипирин

@ Этионамид

@ Тропацин

~Қ андай препарат п-бутиламинобензой қ ышқ ылы тү зілгенге дейін ыдырайды?

@ Дикаин

@ Новокаин

@ Ультракаин

@ Бупивакаин

@ Анестезин

~Тропан туындылары дә рілік препараттарын идентификациялауда қ олданылатын Витали-Морен реакциясы олардың қ андай химиялық қ асиетіне негізделген?

@ Электрофильді орынбасу

@ Полимеризация

@ Тотық сыздану

@ Гидролитикалық ыдырау

@ Дисмутация

~Қ андай дә рілік препарат гидроксам сынағ ы реакциясымен идентификацияланады?

@ Новокаин

@ Натрий пара-аминосалицилаты

@ Мефенам қ ышқ ылы

@ Натрий диклофенак

@ Салицил қ ышқ ылы

~Қ андай препараттың сандық мө лшерін анық тау сынап ацетаты қ атысында сусыз ортада титрлеу ә дісімен жү ргізіледі?

@ Морфин гидрохлориді

@ Кодеин фосфаты

@ Кодеин

@ Натрий диклофенак

@ Индометацин

~Қ андай препарат екі еселенген кү рделі эфирге жатады?

@ Резерпин

@ Ацетилсалицил қ ышқ ылы

@ Мефенам қ ышқ ылы

@ Парацетамол

@ Анестезин

~Қ андай дә рілік зат қ ұ рамында хинолин мен хинуклидин сақ инасы бар гетероциклді жү йеден тұ рады?

@ Хинин дигидрохлориді

@ Хинозол

@ Нитроксолин

@ Хингамин

@ Хлорохин фосфаты

~Қ андай дә рілік препарат Витали-Морен реакциясымен идентификацияланады?

@ Атропин сульфаты

@ Фурадонин

@ Эфедрин гидрохлориді

@ Фуросемид

@ Метилурацил

~Қ андай дә рілік препарат каролин сынағ ы реакциясымен идентификацияланады?

@ Папаверин

@ Резерпин

@ Кодеин

@ Фуросемид

@ Метилурацил

~Индол туындылары дә рілік препараттарын қ андай жалпы топтық реакциямен идентификациялайды?

@ Ван-Урка

@ Каролин сынағ ы

@ Витали - Морен

@ Мурексид сынағ ы

@ Гидроксам сынағ ы

~Бензилизохинолин туындылары ү шін қ андай реакция жалпы топтық болып саналады?

@Каролин сынағ ы

@Гидроксам сынағ ы

@Мурексид сынағ ы

@ Бельштейн реакциясы

@ Витали-Морен реакциясы

~ Сараптамағ а Но-шпа 2% - 1, 0 шаншуғ а арналғ ан ерітіндісі қ абылданды. Ерітінді тү сінің қ арқ ындылығ ы салыстыру ерітіндісі қ арқ ындылығ ынан жоғ ары.

Қ андай сапалық кө рсеткіші бойынша қ осымша сараптама жү ргізу қ ажет?

@Тектес қ оспалар

@Қ алдық еріткіштер

@Кептіргендегі масса шығ ыны

@Жалпы технологиялық қ оспалар

@Микробиологиялық тазалық

~ Сараптамағ а Но-шпа 2% - 1, 0 шаншуғ а арналғ ан ерітіндісі қ абылданды. Ерітінді тү сінің қ арқ ындылығ ы салыстыру ерітіндісі қ арқ ындылығ ынан жоғ ары.

Препаратты сақ тау кезінде қ андай жанама ү рдістер болуы мү мкін?

@Тотығ у

@Тотық сыздану

@Гидролиз

@Мутаротация

@Дисмутация

~ Сараптамағ а фенантренизохинолин тобының дә рілік препараты келіп тү сті. Жалпы алкалоидты тү сті жә не тұ нба беру реакциялары оң нә тиже берді; сірке ангидридімен ә сер еткенде ақ тұ нба тү зілді.

Дә рілік препаратты идентификациялауда қ осымша қ андай реакциялар жү ргізу қ ажет?


Поделиться с друзьями:

mylektsii.su - Мои Лекции - 2015-2026 год. (1.166 сек.)Все материалы представленные на сайте исключительно с целью ознакомления читателями и не преследуют коммерческих целей или нарушение авторских прав Пожаловаться на материал