Студопедия

Главная страница Случайная страница

КАТЕГОРИИ:

АвтомобилиАстрономияБиологияГеографияДом и садДругие языкиДругоеИнформатикаИсторияКультураЛитератураЛогикаМатематикаМедицинаМеталлургияМеханикаОбразованиеОхрана трудаПедагогикаПолитикаПравоПсихологияРелигияРиторикаСоциологияСпортСтроительствоТехнологияТуризмФизикаФилософияФинансыХимияЧерчениеЭкологияЭкономикаЭлектроника






Определяем глубину резания






t = 5

(где 5 — это слой материала, срезаемый за один проход)


 

 

Определяем подачу на зуб (величина перемещения)

Величину технологически допустимой подачи выбирают с уче-

том следующих факторов:

 

 

заданного качества поверхности и требуемой точности;

мощности станка;

размеров нарезаемого зуба;

количества зубьев колеса.

Sтабл = 0, 12 - 0, 18 мм/зуб

S = 0, 15 мм/зуб (среднее значение подачи)

Sтабл.– табличное значение подачи, мм/об;

 

 

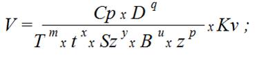
Расчитываем скорость резания по формуле

 

 


где:

Kv — поправочный коэффициент

D – диаметр инструмента = 112мм

T — стойкость инструмента = 180 мин (выбирается по справочнику Кассиловой

Ср = 101

показатели степени:

х = 0, 88

y = 0, 75

u = 1, 0

р = 0, 1

q = 0, 87

m = 0, 33

являются табличными значениями и находятся по справочнику Кассиловой.

Kv = Kmv x Kпv х Kuv

 

где Kmv = 0, 6 - коэффициент учитывающий обрабатываемый материал;

Kпv = 1, 0 - коэффициент учитывающий инструментальный материал;

Kuv = 0, 65 — коэффициент учитывающий условия обработки

 

где Qв — коэффициент текучести или вязкости обрабатываемого материала

Кr – (по таблице)

Kv = 0, 6 X 1, 0 x 0, 65 = 0, 39

 


Поделиться с друзьями:

mylektsii.su - Мои Лекции - 2015-2026 год. (0.605 сек.)Все материалы представленные на сайте исключительно с целью ознакомления читателями и не преследуют коммерческих целей или нарушение авторских прав Пожаловаться на материал