Студопедия

Главная страница Случайная страница

КАТЕГОРИИ:

АвтомобилиАстрономияБиологияГеографияДом и садДругие языкиДругоеИнформатикаИсторияКультураЛитератураЛогикаМатематикаМедицинаМеталлургияМеханикаОбразованиеОхрана трудаПедагогикаПолитикаПравоПсихологияРелигияРиторикаСоциологияСпортСтроительствоТехнологияТуризмФизикаФилософияФинансыХимияЧерчениеЭкологияЭкономикаЭлектроника






Разложение пространственной силы на






ПРОЕКЦИИ ПО ОСЯМ КООРДИНАТ

В плоскости (рис. 42)

Рис. 42. Разложение одной силы в плоскости

Рис. 43. Разложение одной силы на систему сходящихся сил

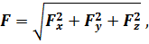
Если известны проекции , то значение силы будет (рис. 43)

а углы между силой F и её проекциями на оси будут

РАЗЛОЖЕНИЕ ПЛОСКОЙ СИЛЫ ПО СВЯЗЯМ

Кронштейн (рис. 44)

Рис. 44. Разложение силы по связям: кронштейн

и – стержни.

Дано: .

Решение:

Сила сжатия стержня

Сила растяжения стержня

Подвес на тросе (рис. 45)

Рис. 45. Разложение силы по связям: подвес на тросе

отсюда

Пример. Вытягивание завязшей машины с помощью туго натянутого троса (рис. 46).

Рис. 46. Вытягивание завязшей машины с помощью туго натянутого троса

Нельзя сильно натягивать тросы линий электропередач или бельевые верёвки – могут порваться при обледенении или под весом белья при сушке на ветру.


Поделиться с друзьями:

mylektsii.su - Мои Лекции - 2015-2026 год. (1.333 сек.)Все материалы представленные на сайте исключительно с целью ознакомления читателями и не преследуют коммерческих целей или нарушение авторских прав Пожаловаться на материал