Студопедия

Главная страница Случайная страница

КАТЕГОРИИ:

АвтомобилиАстрономияБиологияГеографияДом и садДругие языкиДругоеИнформатикаИсторияКультураЛитератураЛогикаМатематикаМедицинаМеталлургияМеханикаОбразованиеОхрана трудаПедагогикаПолитикаПравоПсихологияРелигияРиторикаСоциологияСпортСтроительствоТехнологияТуризмФизикаФилософияФинансыХимияЧерчениеЭкологияЭкономикаЭлектроника






Показники використання основного капіталу.






Ступінь використання основних засобів залежить від множини взаємопов'язаних факторів організаційно-технічного характеру: технічного стану основного капіталу, рівня механізації та автоматизації виробничого процесу, ступеня завантаження обладнання, кваліфікації робітників і т.д.

Узагальнюючим показником використання основних виробничих засобів є капіталовіддача - відношення результату виробничої діяльності:

Капіталовіддача показує кількість виробленої продукції в

розрахунку на одиницю вартості виробничих засобів. У статистичній практиці використовують також обернену до капіталовіддачі величину - капіталоємність продукції:

На рівень капіталовіддачі та капіталоємності значною мірою впливає ступінь капіталоозброєності праці:

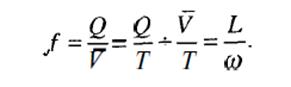
де Т- середньоспискова чисельність працюючих. Капіталоозброєність та капіталовіддача функціонально пов'язані з продуктивністю праці L, звідси капіталовіддача:

У практиці економіко-статистичного аналізу важливими є не лише значення показників, але й їх динаміка. Підвищення ефективності виробництва передбачає випереджаюче зростання обсягів виробництва порівняно зі збільшенням основного капіталу, або зростання продуктивності праці порівняне зі зростанням його капіталоємності. Динаміку рівня капіталовіддачі по сукупності підпрємств (галузі) вивчають за допомогою системи індексів середніх величин:

- індекс середньої капіталовіддачі характеризує відносну

зміну середнього (по галузі, регіону) рівня капіталовіддачі:

 

Де f1, f0- рівень капіталовіддачі окремих підприємств галузі в поточному і базисному періодах; d1, d0 - частка вартості основних засобів окремих підприємств у загальному їх обсязі по сукупності підприємств галузі в поточному і базисному періодах;

- індекс капіталовіддачі фіксованого складу показує, як у середньому змінився рівень капіталовіддачі по окремих підприємствах галузі:

- індекс структурних зрушеньоцінює вплив змін у структурі основних виробничих засобів:


Поделиться с друзьями:

mylektsii.su - Мои Лекции - 2015-2026 год. (1.114 сек.)Все материалы представленные на сайте исключительно с целью ознакомления читателями и не преследуют коммерческих целей или нарушение авторских прав Пожаловаться на материал