Студопедия

Главная страница Случайная страница

КАТЕГОРИИ:

АвтомобилиАстрономияБиологияГеографияДом и садДругие языкиДругоеИнформатикаИсторияКультураЛитератураЛогикаМатематикаМедицинаМеталлургияМеханикаОбразованиеОхрана трудаПедагогикаПолитикаПравоПсихологияРелигияРиторикаСоциологияСпортСтроительствоТехнологияТуризмФизикаФилософияФинансыХимияЧерчениеЭкологияЭкономикаЭлектроника






Подпись студента___






 

Подпись руководителя проекта________

Исходные данные к проекту: 39 вариант

 

Таблица 1

 

Наименование энергосистемы и состав приемников электрической энергии

 

Сетевой район электрической системы Состав приемников электроэнергии в пунктах питания по категории надежности, %
         
I II III I II III I II III I II III I II III
Алтайэнерго 0, 7                              

 

Таблица 2

 

Сведения о максимальных нагрузках, коэффициенте мощности, числе часов использования максимальной нагрузки на трансформаторных подстанциях сетевых районов

Максимальная нагрузка в пункте, МВА Коэффициент мощности в пункте, о.е. Число часов использования максимальной нагрузки в пункте
                             
          0, 85 0, 87 0, 90 0, 85 0, 85          

 

Таблица 3

 

Координаты, км, расположения пунктов питания и потребления электрической энергии

 

А          
X Y X X X Y X Y X Y X Y
                       

 

Таблица 4

 

Коэффициенты аварийной перегрузки силовых трансформаторов общего назначения

 

Коэффициент, о. е., аварийной перегрузки трансформаторов в пункте.  
         
1, 1 1, 2 1, 3 1, 4 1, 3

 

 

Таблица 5

 

Номинальное напряжение распределительных сетей потребителей; средний коэффициент мощности генераторов станций; минимальная нагрузка в процентах от максимальной

 

Номинальное напряжение распределительной сети потребителей электроэнергии в пунктах, кВ Средний коэффициент мощности генераторов, cos г Минимальная нагрузка (от максимальной), %
          0, 89  
         
                 

 

1 ВЫБОР ГРАФА, СХЕМЫ И НОМИНАЛЬНОГО НАПРЯЖЕНИЯ ПРОЕКТИРУЕМОЙ СЕТИ

 

1.1 ВЫБОР ГРАФА ПРОЕКТИРУЕМОЙ СЕТИ

 

Электрическая сеть представляет собой совокупность электроустановок для передачи и распределения электрической энергии, состоящей из подстанций, распределительных устройств, токопроводов, воздушных (ВЛ) и кабельных (КЛ) линий электропередачи (ЛЭП), работающих на определенной территории.

Разработаем и начертим граф проектируемо электрической сети (Рисунок 1.1.)

 

 
 
 
А
 
 

 

 

Рисунок 1.1 – Граф проектируемой электрической сети

 

 

 
 
 
 
 
 

 


1.2 РАСПРЕДЕЛЕНИЕ АКТИВНЫХ МОЩНОСТЕЙ ПО ЛЭП ЭЛЕКТРИЧЕСКОЙ СЕТИ В ОСНОВНОМ РЕЖИМЕ

 

Распределение мощностей по ЛЭП рекомендуется определять упрощенно, считая сеть однородной. В однородной сети сопротивления отдельных участков ЛЭП эквивалентны их длинам, при этом необходимо принимать длину ЛЭП с учетом коэффициента удлинения трасс.

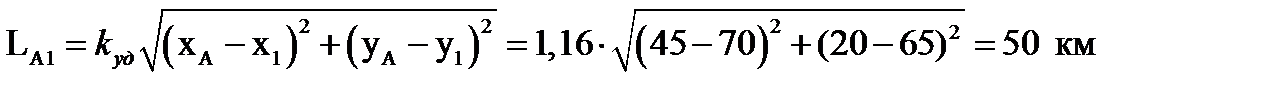
Для Алтайэнерго k уд=1, 16.

 

Найдем длины линий:

 

Таблица 1.1 -Длины ЛЭП, км

 

ЛЭП А-1 А-2 А-3 2-5 1-4 5-4 1-2 5-3 3-4
L, км                  

 

Распределение активной мощности:

S1=120МВА, cosφ 1=0, 85 P1=S1 ·cosφ 1=120·0, 85 =102МВт

S2=80МВА, cosφ 2=0, 87 P2=S2 ·cosφ 2=80·0, 87=69, 6МВт

S3=90МВА, cosφ 3=0, 90 P3=S3 ·cosφ 3=90·0, 90=81МВт

S4=60МВА, cosφ 4=0, 85 P4=S4 ·cosφ 4=60·0, 85 =51МВт

S5=50МВА, cosφ 5= 0, 85 P5=S5 ·cosφ 5=50·0, 85=42, 5МВт

 

Суммарная активная мощность:

 

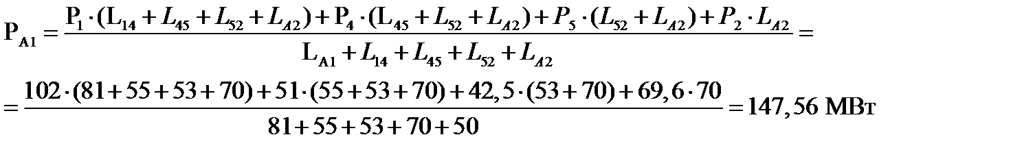
Рассмотрим PА3=P3= 81 МВт

 

Рассчитаем распределение активной мощности, считая что сеть однородная.

Рассмотрим кольцо А1452:

 

А’ 147, 56 1 45, 56 4▼ 5, 44 5 47, 94 2 117, 54 А”

50 км 81 км 55 км 53 км 70 км

P1 = 102P4 = 51P5 = 42, 5P2 = 69, 6

 

Рисунок 1.2 – Распределение активных мощностей в кольце А1452

 

 

Далее осуществляется проверка правильности вычисления мощностей на головных участках ЛЭП:

Остальные мощности:

P14=PА1 –P1 = 147, 56 – 102 = 45, 56 МВт

P25=PА2–P2 = 117, 54 – 69, 6 = 47, 94 МВт

P54 =P25 –P5 = 47, 94 – 42, 5 = 5, 44 МВт

 

Таблица 1.2 - Мощности ЛЭП в режимах максимальной нагрузки

 

ЛЭП А-1 А-2 А-3 2-5 1-4 5-4 1-2 5-3 3-4
Основной режим, P, МВт 147, 56 117, 54 81/2 47, 94 45, 56 5, 44      

 

 

1.3 ВЫБОР НОМИНАЛЬНОГО НАПРЯЖЕНИЯ ЭЛЕКТРИЧЕСКОЙ СЕТИ

 

Выбор номинального напряжения районной сети производится одновременно с выбором графа сети и схемы электрических соединений на основе технико-экономических расчетов. Номинальное напряжение определяется значениями передаваемой активной мощности и длины линии.

 

;

где L – длина линии, км;

P– мощность ЛЭП основного режима, МВт.

Рассчитаем рациональное напряжение для линии А-1 для первого графа:

А-1: кВ

Для остальных ЛЭП, рациональные напряжения находятся аналогично.

 

Таблица 1.3 - Рациональное и номинальное напряжение ЛЭП

 

ЛЭП Мощность основного режима, МВт Напряжение, кВ
Между узлами Длина, км рациональное номинальное
А-1   147, 56 192, 66  
А-2   114, 54 185, 79  
А-3     121, 74  
2-5   47, 94 127, 43  
1-4   45, 56 127, 99  
5-4   5, 44 46, 19  

 

1.4 Баланс реактивной мощности в сетевом районе

 

Реактивная мощность в каждом пункте вычисляется по формуле:

гдеQi – реактивная мощность в i-ом пункте, МВАр;

Si – полная мощность в i-ом пункте, МВА;

Pi – активная мощность в i-ом пункте, МВт.

 

Таблица 1.4 - Мощность в узлах нагрузки ПС

 

ПС Si, MBA Pi, МВт Qi, МВАр
      63, 21
    69, 6 39, 44
      39, 23
      31, 61
    42, 5 26, 34

Поскольку часть реактивной мощности экономически целесообразно вырабатывать децентрализованно, то условие баланса реактивной мощности может быть записано в следующем виде:

Qг+Qку+Qс³ Qм+DQс,

гдеQг – реактивная мощность, которая может быть получена от генераторов электростанций;

Qку – реактивная мощность компенсирующих устройств;

Qc – реактивная мощность, генерируемая емкостью линий электропередачи;

Qм – реактивная мощность, одновременно потребляемая приемниками электроэнергии, присоединенными к подстанциям сетевого района;

DQc – потери реактивной мощности в элементах электрической сети.

Реактивная мощность, получаемая от генераторов электростанций, может быть найдена по формуле

QГ=(Pм+DPc)× tgjГ,

гдеРм – активная мощность, одновременно потребляемая в сетевом районе;

с – потери активной мощности в сети; в сетях с одной-двумя ступенями трансформации DРс составляют 4-6 % от полной передаваемой мощности в сети;

tgjГ – угол сдвига между векторами тока и напряжения генераторов станций относительно шин высшего напряжения.

Рм= 346, 1 МВт.

Sм= 120 + 80 + 90 + 60 + 50 = 400 МВА.

DPc= 0, 05× å Si= МВт.

Qм = 63, 21 + 39, 44 + 39, 23 + 31, 61 + 26, 34 = 199, 83МВАр;

Средний коэффициент мощности генераторов cosjГ= 0, 89.

Следовательно, tgjГ= 0, 512.

QГ= (346, 1 + 20)× 0, 512 = 187, 44МВАр.

Потери реактивной мощности в основной электрической сети ориентировочно можно рассчитать:

DQc=(0.06…0.08)× Sм× nт+(0.04…0.05)× Sм,

гдеSм – полная мощность потребителей сетевого района;

nт - число ступеней трансформации в сетевом районе (рекомендуется принять равным 1).

DQc=0.06× 400+0.04× 400 = 40МВАр.

Реактивная мощность, генерируемая линиями, условно принимается 120 кВАр/км при 220.

 

Qc = 0, 12× (50+81+55+53+70) + 2× 0, 12× 87= 57, 96МВАр.

 

Из приведенного баланса реактивных мощностей находится мощность компенсирующих устройств:

Qку³ Qм + DQс –Qс–Qг.

 

Qку = Qм+DQс –Qс–Qг = 199, 83 + 40 – 57, 96 – 187, 44 = –5, 57МВАр

 

Установка компенсирующих устройств при Qку< 0 не требуется. В этом случае необходимо рассчитать распределение реактивных мощностей по ЛЭП.

 

QА3 =Q3 = 39, 23 МВт

 

Рассчитаем распределение реактивной мощности, считая что сеть однородная. Рассмотрим кольцо А1452:

 

А’ 90, 61 1 27, 40 4▼ 4, 21 5 30, 55 2 69, 99 А”

50 км 81 км 55 км 53 км 70 км

Q1 = 63, 21Q4 = 31, 61 Q5 = 26, 34 Q2 = 39, 44

 

Рисунок 1.3 – Распределение реактивных мощностей в кольце А1452

 

 

Далее осуществляется проверка правильности вычисления мощностей на головных участках ЛЭП:

Остальные мощности:

Q14 =QА1 –Q1 = 90, 61 – 63, 21 = 27, 4 МВAp

Q25 =QА2 –Q2 = 69, 99 – 39, 44 = 30, 55 МВAp

Q54 =Q25 –Q5 =30, 55– 26, 34 = 4, 21 МВAp

 

Таблица 1.5 - Мощности ЛЭП в режимах максимальной нагрузки

 

ЛЭП А-1 А-2 А-3 2-5 1-4 5-4 1-2 5-3 3-4
Основной режим, Q, МВAp 90, 61 69, 99 39, 23/2 30, 55 27, 40 4, 21      

Поделиться с друзьями:

mylektsii.su - Мои Лекции - 2015-2026 год. (1.252 сек.)Все материалы представленные на сайте исключительно с целью ознакомления читателями и не преследуют коммерческих целей или нарушение авторских прав Пожаловаться на материал