Студопедия

Главная страница Случайная страница

КАТЕГОРИИ:

АвтомобилиАстрономияБиологияГеографияДом и садДругие языкиДругоеИнформатикаИсторияКультураЛитератураЛогикаМатематикаМедицинаМеталлургияМеханикаОбразованиеОхрана трудаПедагогикаПолитикаПравоПсихологияРелигияРиторикаСоциологияСпортСтроительствоТехнологияТуризмФизикаФилософияФинансыХимияЧерчениеЭкологияЭкономикаЭлектроника






Расчет проведем для линии А-1 итерационным методом.






 
А


U А RА1 jXА1 S ``А1 U 1


S А S 1

SА1

S А0 S 10

Рисунок 2.5 - Расчетная схема линии А-1

Дано:

кВ;

Ом;

МВАр;

МВт

МВА.

 

Решение:

Этап 1: Расчет мощностей в ветвях при номинальном напряжении линии.

Расчет при

Нагрузочные потери мощности в проводах:

Мощность в начале линии:

МВА

 

Потери мощности в ЛЭП:

МВА

 

Этап 2: Расчет напряжений в узле 1.

Падение напряжение в проводах ЛЭП:

 

Комплексное напряжение в узле 1:

Абсолютные потери напряжения:

кВ

Относительные потери напряжения:

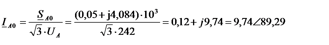
Определим токи в ветвях:

Ток нагрузки, ориентированный относительно вектора напряжения в ЛЭП:

А;

Ток в поперечной ветви:

А

Ток в проводе ЛЭП:

Ток в поперечной ветви:

А

Ток в узле А:

 

Коэффициент полезного действия, режима работы линии:

Рисунок 2.6 – Векторная диаграмма токов и напряжений линии А-1

 

 


Поделиться с друзьями:

mylektsii.su - Мои Лекции - 2015-2026 год. (0.852 сек.)Все материалы представленные на сайте исключительно с целью ознакомления читателями и не преследуют коммерческих целей или нарушение авторских прав Пожаловаться на материал