Студопедия

Главная страница Случайная страница

КАТЕГОРИИ:

АвтомобилиАстрономияБиологияГеографияДом и садДругие языкиДругоеИнформатикаИсторияКультураЛитератураЛогикаМатематикаМедицинаМеталлургияМеханикаОбразованиеОхрана трудаПедагогикаПолитикаПравоПсихологияРелигияРиторикаСоциологияСпортСтроительствоТехнологияТуризмФизикаФилософияФинансыХимияЧерчениеЭкологияЭкономикаЭлектроника






Для стабілізованого магніту МПС якого змінюється по висоті і від нейтрального перерізу Sm за лінійним законом виділимо нескінченно малий елемент площі






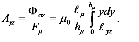
для aj бокової поверхні на відстані у від нейтрального перерізу висотою dy елементарний потік з бокової поверхні на аналогічну поверхню 2.

Провідність елементарної силової трубки

,

де – довжина dp силової лінії трубки на один полюс.

Потік розсіяння g бокової поверхні ПМ

Звідки провідність розсіяння з бокової поверхні

Так само визначається приведена провідність розсіяння з торцевої поверхні магніту Аs1. Провідність розсіяння між двома робочими поверх­нями полюсів визначається як провідність між двома еквіпотенціальними поверхнями, оберненими в протилежні боки.

Сумарна приведена провідність розсіяння магніту у вільному стані

1.4.2. Заступна схема МК.

Якщо магніт стабілізований у вільному стані і точці відходу прямої повернення К відповідають координати Вк і jк, Нк Fк, то продовження лінії поверхні вліво (розтяг) перетне вісь ОХ у точці Нm0 Fm0. Напруженість поля Нm0 на зивають фіктивною коерцептивною силою

Нm0 = Нкк / mв;

Fm0 = Fкк / Lm,

відповідно Нm0 фіктивна МРС ПМ дорівнює

Fm0 = Нm0 hm.

Введення поняття фіктивної МРС (j МРС) дозволяє замінити Ам джерелом МРС з внутрішнім опором Rm = 1 / Lm, що зручно при розрахунку магнітних систем з розгалуженими МК (для матеріалу з ¡» 0, 25 – це реальна Нс ).

Нехай магніт працює на зовнішнє магнітне коло (рис. 14.)

Рис.14. Рис.15.

Тоді потік ПМ

Fm = Фбs = Fm (Lб + Ls),

де

Ls =

Коли І = 0 (нехтуючи поясненням)

Fm = Hm hm = Fб = Hs d.

Робоча точка на DM при F = 0 знаходиться на ПП в точці Р (рис. 14.):

При І ¹ 0 в обмотці наводиться зовнішня МОС Fв. Згідно з законом повного струму

Fm = Fб ± Fв,

знак + – розмагнічуюча зовнішня МРС; - – намагнічуюча.

Рівнянням відповідає заступна схема МК (рис. 15). У цій схемі магнітний опір Rs враховує потік розсіяння обмотки сердечника j3. З рис.15. видно, що заступна схема МК при стабілізованому магніті є аналогом електричного кола і може бути розрахована на основі теорії електричних кіл.

Із схеми (рис.15.) легко знайти координати робочої точки N на DM з врахуванням зовнішньої МРС.

де Fвm МРС ( – зовнішнього поля, прикладене до полюсів ПМ.


Поделиться с друзьями:

mylektsii.su - Мои Лекции - 2015-2026 год. (3.474 сек.)Все материалы представленные на сайте исключительно с целью ознакомления читателями и не преследуют коммерческих целей или нарушение авторских прав Пожаловаться на материал