Студопедия

Главная страница Случайная страница

КАТЕГОРИИ:

АвтомобилиАстрономияБиологияГеографияДом и садДругие языкиДругоеИнформатикаИсторияКультураЛитератураЛогикаМатематикаМедицинаМеталлургияМеханикаОбразованиеОхрана трудаПедагогикаПолитикаПравоПсихологияРелигияРиторикаСоциологияСпортСтроительствоТехнологияТуризмФизикаФилософияФинансыХимияЧерчениеЭкологияЭкономикаЭлектроника






Напряжённость электрического поля. Потенциал электрического поля. Разность потенциалов.






Напряженность электрического поля характеризуется силой, которая действует на точечный электрический заряд, помещенный в это поле.

Напряженность электрического поля — это отношение силы, действующей на заряд, к величине заряда.

Если:
E — напряженность электрического поля — Векторная величина (Вольт/метр)
F — сила действующая на заряд q — Векторная величина (Ньютон),
q — заряд — Скалярная величина (Кулон),
То, напряженность электрического поля описывается следующей формулой:

Потенциал электрического поля - это скалярная энергетическая характеристика электростатического поля, характеризующая потенциальную энергию, которой обладает единичный положительный пробный заряд, помещённый в данную точку поля. Единицей измерения является вольт.

Разность потенциалов (или электрическое напряжение) между точками 1 и 2 есть отношение работы, которую совершают электрические силы при перемещении заряда из точки 1 в точку 2, к этому заряду.

12. Постоянный ток. Сила тока. Электрическое сопротивление. Виды соединения проводников. Закон Ома для однородного участка цепи.

Постоянный ток — ток, направление и величина которого слабо меняются во времени.

Сила тока (Амперы) — физическая величина, равная отношению количества заряда, прошедшего за некоторое время через поперечное сечение проводника, к величине этого промежутка времени.

U - напряжение. R — сопротивление.

Электрическое сопротивление (Ом) — физическая величина, характеризующая свойства проводника препятствовать прохождению электрического тока и равная отношению напряжения на концах проводника к силе тока, протекающего по нему.

Виды соединения проводников:

· Последовательно (Сопротивления суммируются R=R1+R2+R3)

· Параллельно (Сопротивления уходят в знаменатель и суммируются 1/R=1/R1+1/R2)

· Смешанно (Послед. суммируются с параллельными, а там как обычно)

Закон Ома:

сила тока I в однородном металлическом проводнике прямо пропорциональна напряжению U на концах этого проводника и обратно пропорциональна сопротивлению R этого проводника: I=U/R

13.Электродвижущая сила. Закон Ома для замкнутой цепи.

Электродвижущая сила - физ. величина, характеризующая действие сторонних (непотенциальных) сил в источниках пост. или перем. тока; в замкнутом проводящем контуре равна работе этих сил по перемещению единичного положит.заряда вдоль всего контура. Если через Есгр обозначить напряжённость поля сторонних сил, то эдс? взамкнутом контуре L равна

где dl — элемент длины контура.

Закон Ома для замкнутой цепи
Величина тока в замкнутой цепи, которая состоит из источника тока обладающего внутренним сопротивлением, а также внешним нагрузочным сопротивлением. Будет равна отношению электродвижущей силы источника к сумме внешнего и внутреннего сопротивлений.

Где:

R Сопротивление внешней цепи измеряется в Омах

r внутреннее сопротивление источника тока также измеряется в Омах

I Сила тока в цепи. Измеряется в Амперах

E Электродвижущая сила источника тока измеряется в Вольтах

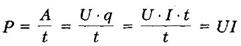
14.Работа и мощность тока. Закон Джоуля-Ленца

Работа тока (Дж) - это работа электрического поля по переносу электрических зарядов вдоль проводника;

Работа тока на участке цепи равна произведению силы тока, напряжения и времени, в течение которого работа совершалась.

Мощность тока (Вт)

Закон Джоуля-Ленца


При прохождении тока по проводнику проводник нагревается, и происходит теплообмен с окружающей средой, т.е. проводник отдает теплоту окружающим его телам.


Количество теплоты, выделяемое проводником с током в окружающую среду, равно произведению квадрата силы тока, сопротивления проводника и времени прохождения тока по проводнику.

По закону сохранения энергии количество теплоты, выделяемое проводником численно равно работе, которую совершает протекающий по проводнику ток за это же время.

15.Магнитное поле. Индукция магнитного поля. Правила определения магнитной индукции.

Магнитное поле - это особый вид материи, посредством которой осуществляется взаимодействие между движущимися электрически заряженными частицами.

Индукция магнитного поля (Векторная величина, измер. в теслах(Тл)) - это силовая характеристика магнитного поля. Вектор магнитной индукции направлен всегда так, как сориентирована свободно вращающаяся магнитная стрелка в магнитном поле.

B=F / (I*L) Где, L — длина проводника

16.Сила Ампера. Сила Лоренца. Правило левой руки.

Сила Ампера - сила, действующая на проводник с током в магнитном поле.

F=B.I.ℓ. sin α — закон Ампера

I - сила тока в проводнике;

B - модуль вектора индукции магнитного поля;

L - длина проводника, находящегося в магнитном поле;

a - угол между вектором магнитного поля инаправлением тока в проводнике.

Сила Лоренца - сила, действующая со стороны магнитного поля на движущиеся в нем заряды

F = q·V·B·sina

q - величина движущегося заряда;

V - модуль его скорости;

B - модуль вектора индукции магнитного поля;

a - угол между вектором скорости заряда и вектором магнитной индукции.

Правило левой руки.
Плюс - левая рука, минус - правая рука. Х - ладошка на нас смотрит, " Точка" - ладошка смотрит от нас.

17.Механические колебания. Электромагнитные колебания. Уравнение гармонических колебаний. Частота, циклическая частота, период, амплитуда колебаний.

Механические колебания (Звук, вибрация) - периодические (или почти периодические) изменения физической величины, описывающей механическое движение.

Электромагнитные колебания (Свет, радиоволны, тепловые) - взаимосвязанные колебания электрического и магнитного полей

Уравнение гармонических колебаний

x= Asin(wt + j)

где A - амплитуда колебаний, t - время, j - фаза колебаний, w - угловая частота колебаний

Период колебаний T — интервал времени, в течение которого происходит одно полное колебание.

Частота колебаний v=1/T — число полных колебаний в единицу времени. В системе СИ выражается в герцах (Гц).

Период и частота колебаний связаны соотношением:

Циклическая (или круговая) частота ω = 2π ν. Она связана с периодом отношением:

Амплитуда колебаний - наибольшее отклонение (от среднего) значения величины, совершающей гармонические колебания

18.Колебательный контур. Преобразование энергии в колебательном контуре.

Колебательный контур - электрическая цепь, содержащая катушку индуктивности и конденсатор, в которой могут возбуждаться электрические колебания

Преобразование энергии в колебательном контуре

 
 

19.Переменный ток. Нагрузка в цепи переменного тока: активная, индуктивная, емкостная. Действующее значение переменного тока и напряжения.

Переменный ток — электрический ток, который с течением времени изменяется по величине и направлению или, в частном случае, изменяется по величине, сохраняя своё направление в электрической цепи неизменным.

Тип сопротивления    
Активное Индуктивное Емкостное
Пропускает постоянный и переменный ток Пропускает постоянный и переменный ток Пропускает переменный ток и не пропускает постоянный
         

Действующим (эффективным) значением силы переменного тока называют величину постоянного тока, действие которого произведёт такую же работу (тепловой или электродинамический эффект), что и рассматриваемый переменный ток за время одного периода, и которое равняется среднему значению тока за период. В современной литературе чаще используется математическое определение этой величины — среднеквадратичное значение силы переменного тока.

20.Электромагнитные волны. Шкала электромагнитных волн.

Электромагнитная волна - процесс распространения электромагнитного поля в пространстве.

Электромагнитная волна представляет собой процесс последовательного, взаимосвязанного изменения векторов напряжённости электрического и магнитного полей, направленных перпендикулярно лучу распространения волны, при котором изменение электрического поля вызывает изменения магнитного поля, которые, в свою очередь, вызывают изменения электрического поля

21.Физические основы радиосвязи. Схема детекторного приемника и передатчика.

Радио — разновидность беспроводной связи, при которой в качестве носителя сигнала используются радиоволны, свободно распространяемые в пространстве.

Радиостанции любого типа характеризует ряд параметров:

1) чувствительность приемника - чем меньше, тем лучше (в пределах 0.25-5 мкВ.);

2) мощность передатчика (обычно 4-10 Ватт) - мощностью определяется дальность и качество cвязи;

3) число каналов вещания (обычно - 40-80, но бывает и больше). Число каналов имеет важное значение в местностях, где радиосвязь развита - чем больше каналов у ваших станций, тем легче найти свободный от помех;

4) модуляция - у некоторых станций только амплитудная (АМ), у некоторых - переключаются амплитудная и частотная (AM/FM). Станции, работающие на одном канале, но с разной модуляцией, связаться не смогут;

5) сетка частот - бывает европейская (Е) и русская (R). Все импортные рации изначально работают в европейской сетке, но переделать их в российскую не очень сложно и стоит недорого (около 5 долларов), хотя в этом мало смысла. Часть станций имеет две сетки (RE) - они наиболее универсальны.

22.Геометрическая оптика. Законы отражения и преломления.

Геометрическая оптика — раздел оптики, изучающий законы распространения света в прозрачных средах, отражения света от зеркально-отрж без учёта его волновых свойств.

Закон отражения. Угол падения равен углу отражения (a = b). Падающий луч AO, отраженный луч OB и перпендикуляр OC, восставленный в точке падения, лежат в одной плоскости

Законы преломления. Луч падающий AO и преломленный OB лежат в одной плоскости с перпендикуляром CD, проведенным в точке падения луча к плоскости раздела двух сред

Показатель преломления n=sina/sinb

23.Волновая оптика. Интерференция света

Волновая оптика — раздел оптики, объясняющий оптические явления на основе волновой природы света.

Интерференция света — это сложение двух и более волн, вследствие которого наблюдается устойчивая картина усиления и ослабления световых колебаний в разных точках пространства.

24.Волновая оптика. Дифракция света. Дифракционная решётка. Явление фотоэффекта. Уравнение Эйнштейна для фотоэффекта. Законы фотоэффекта.

Волновая оптика — раздел оптики, объясняющий оптические явления на основе волновой природы света.

Дифракцией света — явление отклонения света от прямолинейного направления распространения при прохождении вблизи препятствий.

Дифракционная решётка — оптический прибор, работающий по принципу дифракции света, представляет собой совокупность большого числа регулярно расположенных штрихов (щелей, выступов), нанесённых на некоторую поверхность.


Фотоэффект — это явление испускания электронов веществом под действием света.

Уравнение Эйнштейна для фотоэффекта

Законы фотоэффекта:

1. Число электронов, вылетающих с поверхности тела под действием электромагнитного излучения, пропорциональное его интенсивности.

2. Максимальная кинетическая энергия фотоэлектронов зависит от частоты облучения и не зависит от его интенсивности.

3. Для каждого вещества в зависимости от ее температуры и состояния поверхности существует минимальная частота света, при которой еще возможен внешний фотоэффект.

 


Поделиться с друзьями:

mylektsii.su - Мои Лекции - 2015-2026 год. (0.986 сек.)Все материалы представленные на сайте исключительно с целью ознакомления читателями и не преследуют коммерческих целей или нарушение авторских прав Пожаловаться на материал