Студопедия

Главная страница Случайная страница

КАТЕГОРИИ:

АвтомобилиАстрономияБиологияГеографияДом и садДругие языкиДругоеИнформатикаИсторияКультураЛитератураЛогикаМатематикаМедицинаМеталлургияМеханикаОбразованиеОхрана трудаПедагогикаПолитикаПравоПсихологияРелигияРиторикаСоциологияСпортСтроительствоТехнологияТуризмФизикаФилософияФинансыХимияЧерчениеЭкологияЭкономикаЭлектроника






Предварительная обработка






После того, как составлен план проведения эксперимента, можно приступать к его проведению. Вопросы непосредственного осуществления эксперимента рассматривать не будем, а перейдем к обработке результатов. Сущность обработки результатов эксперимента во многом одинакова для различных областей применения – поиска оптимума функции, описания поверхности отклика и др.

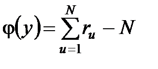
Необходимо учитывать, что любой эксперимент сопровождается погрешностями (методическими, измерений) и содержит элементы неопределенности (случайности). Проведение повторных опытов не дает полностью совпадающих результатов. Поэтому процедура обработки должна учитывать эти обстоятельства. Обработка результатов включает предварительную обработку результатов экспериментов, вычисление оценок коэффициентов функции отклика и проведение ряда проверок: однородности дисперсии воспроизводимости, адекватности модели и значимости коэффициентов [2, 5, 6]. Расчетные соотношения будут приведены в предположении, что в каждой точке плана производиться различное количество повторных опытов ru.

В ходе предварительной обработки вычисляются следующие параметры для всех точек плана экспериментов:

среднее значение функции отклика ;

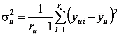
несмещенная оценка дисперсии функции отклика . Для данной величины количество степеней свободы j u = ru – 1;

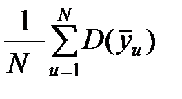
оценка дисперсии среднего значения функции отклика (оценка дисперсия воспроизводимости) = Du.

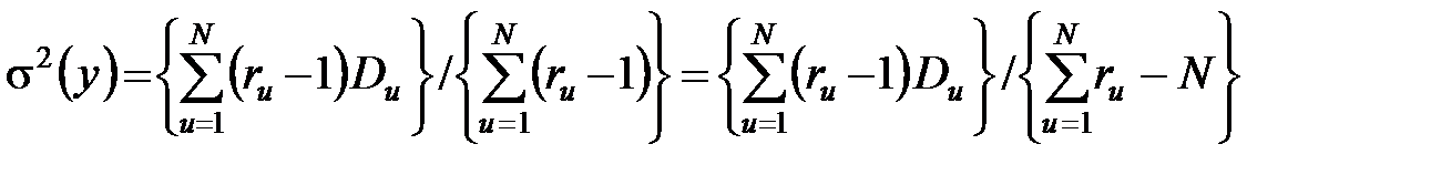
На основе частных оценок вычисляется средняя величина оценки дисперсии воспроизводимости среднего значения функции отклика по всей области планирования

. (4.1)

Эта оценка является несмещенной и ее можно рассматривать как случайную величину с количеством степеней свободы . Именно величину s2 (y) следует использовать как оценку дисперсии воспроизводимости среднего значения функции отклика вместо в выражении (3.2).


Поделиться с друзьями:

mylektsii.su - Мои Лекции - 2015-2026 год. (0.962 сек.)Все материалы представленные на сайте исключительно с целью ознакомления читателями и не преследуют коммерческих целей или нарушение авторских прав Пожаловаться на материал