Студопедия

Главная страница Случайная страница

КАТЕГОРИИ:

АвтомобилиАстрономияБиологияГеографияДом и садДругие языкиДругоеИнформатикаИсторияКультураЛитератураЛогикаМатематикаМедицинаМеталлургияМеханикаОбразованиеОхрана трудаПедагогикаПолитикаПравоПсихологияРелигияРиторикаСоциологияСпортСтроительствоТехнологияТуризмФизикаФилософияФинансыХимияЧерчениеЭкологияЭкономикаЭлектроника






Проверка значимости оценок коэффициентов модели






Проверка значимости оценок коэффициентов полинома производится на основе проверки статистической гипотезы о равенстве математического ожидания случайной величины нулю, т.е. проверки условия bi = 0 для всех коэффициентов. Проверка осуществляется с помощью критерия Стьюдента ti = (| b i | – 0)/ s(b i) = |b i | / s(b i).

Критическое значение t кр = t (a; j(y)) находится стандартным образом: критическая область является двусторонней, так как коэффициент может быть положительным или отрицательным; количество степеней свободы соответствует количеству степеней свободы для оценки дисперсии воспроизводимости j(y). Если вычисленное значение критерия больше t кр, то данный коэффициент отличается от нуля и оставляется в уравнении функции отклика, иначе коэффициент незначим. Отсутствие значимости коэффициента в моделях описания поверхности отклика говорит о целесообразности исключения соответствующего слагаемого из уравнения (частный градиент равен нулю).

После проверки значимости коэффициентов может оказаться, что все коэффициенты незначимы. Эти выводы являются следствием одной их следующих причин:

достигнута область оптимума функции отклика. Следует перейти к построению функции на основе полных полиномов второго порядка;

интервал варьирования факторов слишком мал. Необходимо увеличить интервал варьирования факторов;

отклик системы не зависит от выбранных факторов. В выбранной области значений факторы не оказывают влияние на функцию отклика или для анализа выбраны несущественные факторы.

Формальных правил выявления соответствующих ситуаций не существует.

Рассмотренные этапы обработки результатов экспериментов должны выполняться не только в случае полного или дробного факторного эксперимента, но и при реализации других планов оптимизации и описания поверхности отклика.

В условиях относительно небольшого влияния случайности на значение функции отклика (например, случайные ошибки измерительных приборов) в каждой точке плана проводится только по одному опыту. Очевидно, что в такой ситуации оценка дисперсии воспроизводимости невозможна. Следовательно, проверки однородности дисперсии воспроизводимости и адекватности модели не проводятся. И только в условиях ненасыщенного планирования возможна проверка значимости коэффициентов полинома, если в качестве дисперсии коэффициентов взять величину s2 (b i) = s a 2/ N с количеством степеней свободы j a = Nm.

 


ПЛАНЫ ДЛЯ ОПИСАНИЯ ПОВЕРХНОСТИ ОТКЛИКА

Композиционные планы

Применение линейных планов совместно с методом градиентного поиска оптимума позволяет достичь окрестностей точки оптимума. Поиск оптимального решения в этой области требует перехода от линейных моделей к моделям более высокого порядка – как минимум к полиномам второй степени [2, 6]. Полином второго порядка содержит эффектов:

. (5.1)

Построение такой модели требует применения плана, в котором каждая переменная принимает хотя бы три различных значения. Существуют различные подходы к построению планов второго порядка. Можно воспользоваться ПФЭ типа 3 k, но такие планы обладают большой избыточностью. Например, для трех переменных количество точек плана составит 27, а количество оцениваемых коэффициентов в функции отклика равно 10. В соответствии с идеей пошагового эксперимента планирование рационально осуществлять путем добавления специально подобранных точек к “ядру”, образованному планированием для линейного приближения. Такие планы называют композиционными (последовательными), они позволяют использовать информацию, полученную в результате реализации линейного плана.

Композиционные планы используются обычно на заключительном этапе исследования, когда модель приходится подбирать последовательно, начиная с простейшего линейного уравнения, которое потом достраивается до полной квадратичной формулы. В этом случае композиционные планы дают выигрыш по числу опытов по сравнению с другими планами. Эти планы можно применять и при непосредственном построении функции отклика в виде полинома (5.1).

Решение подобных задач основано на применении ортогональных или ротатабельных центральных композиционных планов (ЦКП). Эти планы используют в качестве ядра полный факторный эксперимент или минимально возможные регулярные дробные реплики типа 2 k p. В качестве дробной реплики применяют такую, в которой два любых парных взаимодействия по модулю не равны друг другу

| xixj |¹ | xs xz | (5.2)

для любых попарно различных индексов. Именно план ПФЭ или дробные реплики, удовлетворяющие указанному условию, служат ядром ЦКП. На практике широкое распространение получили два типа ЦКП, известные как планы Бокса и Хартли. Понятие “центральный” означает, что факторы принимают значения, симметричные относительно центра плана.

Центральный композиционный план второго порядка называют планом Бокса, если его ядром является ПФЭ 2 k или регулярная реплика типа 2 k p, для которой парные взаимодействия не равны по модулю линейным факторам: xi ¹ ± xsxz; s ¹ z; i, s, z = 1, 2, …, k и, кроме того, выполняется условие (5.2). Применение ПФЭ или регулярных реплик, отвечающих этим условиям, позволяет получить несмещенные оценки коэффициентов модели (5.1). Из условий построения дробной реплики следует, что разрешающая способность ядра плана должна быть больше четырех, т.е. определяющий контраст должен содержать не менее пяти переменных. Следовательно, ядром плана Бокса при k < 5 является ПФЭ, а при k ³ 5 может быть ДФЭ. План Бокса можно сделать ортогональным либо ротатабельным. Но нельзя добиться одновременного и строго соблюдения обоих свойств. В некоторых случаях ЦКП можно сделать приближенно и ортогональным, и ротатабельным, если вначале построить ротатабельный план, а затем подобрать необходимое количество опытов в центральной точке.

Центральный композиционный план второго порядка называют планом Хартли, если его ядром является регулярная реплика типа 2 k p, в которой некоторые парные взаимодействия равны по модулю линейным факторам. Иначе говоря, ЦКП второго порядка будет или планом Бокса или планом Хартли. Планы Хартли более экономны по числу опытов, чем планы Бокса, но уступают им по точности оценивания коэффициентов, кроме того, их нельзя сделать ни ортогональными, ни ротатабельными. Такой план не позволяет получить раздельные оценки соответствующих коэффициентов. Планы Хартли целесообразно применять, если известно, что часть эффектов bj или bju в модели отсутствует (следовательно, простые эффекты можно смешивать с парными взаимодействиями, не теряя в разрешающей способности плана) или тогда, когда дисперсия наблюдений относительно мала.

Ортогональные центральные композиционные планы

В планах Бокса к ядру, построенному на основе ПФЭ или ДФЭ, добавляется одна точка в центре плана с координатами (0, 0,..., 0) и 2 k " звездных" точек с координатами (± g, 0,..., 0),..., (0, 0,..., ± g). Построенный таким образом план будет ЦКП второго порядка. Общее количество точек плана при использовании композиционного планирования составит N = N 0 +2 k+ 1, где N 0 – количество точек ядра плана. В табл. 5.1 и 5.2 содержится описание соответствующих матриц планирования для ЦКП при k = 2. Количество опытов для данного плана N = 22 + 2·2 + 1 = 9. Аналогично строятся ЦКП для произвольного числа факторов, при этом каждый фактор варьируется на пяти уровнях: – g; – 1; 0; 1; g.

Таблица 5.1   Таблица 5.2
Ядро плана   Дополнительные точки
x 1 x 2   x 1 x 2
+ +   g  
+   – g  
+     g
    – g
         

В матрице плана второго порядка не у всех столбцов соблюдается условие симметрии и не все пары столбцов ортогональны. Например, рассмотрим ЦКП второго порядка для трех переменных, табл. 5.3.

Таблица 5.3

План x 0 x 1 x 2 x 3 x 1 x 2 x 1 x 3 x 2 x 3 x 12 x 22 x 32
ПФЭ + + + + + + +
+ + + + + +
  + + + + + +
  + + + + + + +
  + + + + + +
  + + + + + + +
  + + + + + + +
  + + + + + + + + + +
Звезд­ный + –g           g2    
план + g           g2    
  +   –g           g2  
  +   g           g2  
  +     –g           g2
  +     g           g2
Центр плана +                  

Суммы так как ¹ 0 для всех строк плана. Для устранения асимметрии и нарушений ортогональности ЦКП Бокса необходимо провести преобразование квадратичных параметров и специальным образом выбрать величину плеча g.

Чтобы добиться соблюдения свойства симметричности следует перейти от xi 2 к центрированным величинам xi * = xi 2x 2 i ср (сумма центрированных величин равна нулю). Среднее значение x 2 i ср, как видно из табл. 5.3, для всех xi 2 одинаково и равно

c = (N 0+2g2)/ N. (5.3)

Тогда исходную квадратичную модель (5.1) можно преобразовать

y' = b 0 + b 1 x 1+ … + b 1 xk + b 12 x 1 x 2 + … + bk –1, k xk– 1 xk +

+ b 11(x 12x 21 ср + x 21 ср) + … + bkk (xk 2x 2 k ср + x 2 k ср) =

= d 0 + b 1 x 1+ … + b 1 xk + b 12 x 1 x 2 + … + bk –1, k xk– 1 xk + b 11 x 1* + … + bkkxk *,

где d 0 = b 0 + b 11 x 21 ср + … + bk –1, k x 2 k ср = b 0 + c (b 11 + … + bk –1, k).

Исходная и преобразованная модели эквивалентны, кроме того, в них все коэффициенты, за исключением нулевого, совпадают.

После преобразования получим матрицу планирования, табл. 5.4.

Таблица 5.4

План x 0 x 1 x 2 x 3 x 1 x 2 x 1 x 3 x 2 x 3 x 1* x 2* x 3*
ПФЭ + + + + 1–с 1–с 1–с
+ + + 1–с 1–с 1–с
  + + + 1–с 1–с 1–с
  + + + + 1–с 1–с 1–с
  + + + 1–с 1–с 1–с
  + + + + 1–с 1–с 1–с
  + + + + 1–с 1–с 1–с
  + + + + + + + 1–с 1–с 1–с
Звездный + –g           g2–с –с –с
план + g           g2–с –с –с
  +   –g         –с g2–с –с
  +   g         –с g2–с –с
  +     –g       –с –с g2–с
  +     g       –с –с g2–с
Центр плана +             –с –с –с

Нетрудно заметить, что в этой таблице суммы элементов по всем столбцам, за исключением столбца x 0, равны нулю, т.е. в преобразованной таблице соблюдается свойство симметричности.

Но столбцы квадратичных членов не являются ортогональными при произвольных значениях g

= ¹ 0, i ¹ j.

Ортогонализация столбцов, т. е. приравнивание к нулю, достигается специальным выбором величины g. Это значение величины g находится из уравнения

N 0 (1 – c)2 – 4 c (g2 c) + (2 k – 4) c 2 + c 2 = 0

или

N 0 – 2 сN 0 + N 0 с 2 – 4 c g2 +4 c 2 + 2 2 – 4 c 2 + c 2 =

N 0 – 2(N 0 +2g2) с + c 2 (N 0 + 2 k +1)= N 0 – 2 с 2 N + c 2 N = 0.

Следовательно, с 2 N = N 0. Тогда с = (N 0 / N)1/ 2.

Подставим найденное значение величины с в уравнение (5.3)

(N 0 / N)1/ 2 = (N 0+ 2g2)/ N.

Решив уравнение, найдем величину g, которая придает матрице планирования (в том числе табл. 5.4) свойство ортогональности

g = {[(N N 0)1/2 N 0]/2}1/ 2. (5.4)

Значения g, обеспечивающие ортогональность, например, для ядер 22, 23, 24, 25–1, составляют соответственно 1; 1, 215; 1, 414; 1, 547.

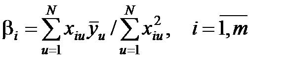
Оценки коэффициентов регрессии определяются по модифицированной матрице независимых переменных, табл. 5.4:

.

В приведенной формуле m = и обозначает общее количество оцениваемых коэффициентов полинома, за исключением нулевого.

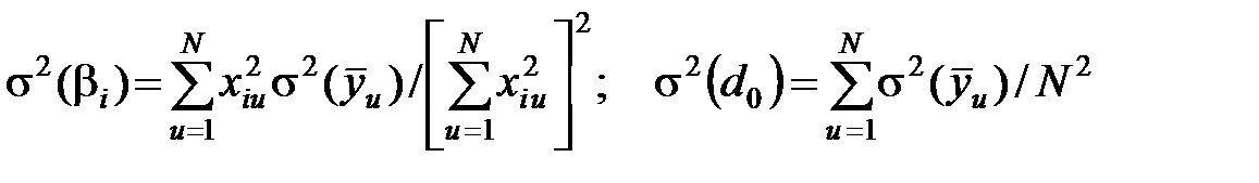
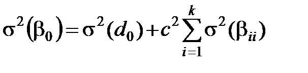
Оценка коэффициента , тогда .

Оценки дисперсии коэффициентов

;

,

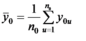
где – оценка дисперсии среднего значения функции отклика в u -й точке плана.

Оценка дисперсии функции отклика

.

Оценки дисперсии коэффициентов являются различными, так как вычисляются по разным совокупностям точек плана. Оценка дисперсии функции отклика зависит не только от расстояния до заданной точки от центра, но и от ее положения в пространстве, т. е. ортогональный план второго порядка не являются ротатабельным.

Проверка однородности дисперсии воспроизводимости, адекватности модели, значимости коэффициентов полинома в случае применения ортогональных ЦКП второго порядка осуществляется по рассмотренной выше схеме.

Ротатабельные центральные композиционные планы

В некоторых случаях ортогональное планирование второго порядка не отвечает потребностям практики – при описании поверхности отклика, особенно в окрестностях точки оптимума, более значимой является оценка дисперсии уравнения в целом, чем оценка дисперсии отдельных коэффициентов полинома. В этом случае обычно стремятся к равномерности распределения информации в уравнении функции отклика по всем направлениям. Такому положению отвечают ротатабельные планы. Кроме сказанного, подобные планы второго порядка позволяют минимизировать систематические ошибки, связанные с неадекватностью представления результатов полиномами второго порядка. Но построение ротатабельного плана второго порядка более сложно, чем ортогонального, а сама задача построения не имеет однозначного решения. Один из подходов к построению таких планов состоит в следующем [2].

Путем специального подбора звездного плеча g ЦКП Бокса можно сделать ротатабельным, иначе говоря, ЦКП Бокса можно сделать или ортогональным или ротатабельным.

Точки ротатабельного ЦКП Бокса второго порядка располагают на концентрических гиперсферах, количество которых не менее двух. Первая гиперсфера может быть вырожденной, т. е. представлять собой центральную точку плана, ее радиус r1 = 0. Именно такая сфера часто используется на практике.

Вторая гиперсфера соответствует вписанному в нее кубу, выбранному в качестве ядра плана. Для ядра хi = 1, следовательно, радиус этой гиперсферы r2 = (х 12 + х 22 + … + хk2)1/2 = (k)1/2. Ядро представляет собой ПФЭ вида 2 k или ДФЭ вида 2 k p , причем должно соблюдаться условие (k – p)/4 > 3/4. Следовательно, с учетом ограничений на ЦКП Бокса, если k ³ 5, то в качестве ядра можно использовать полуреплику, если k ³ 8, ядром может служить четверть реплика.

Третья гиперсфера имеет радиус r3 = 2 k / 4 для ядра в виде ПФЭ и радиус r3 = 2 ( k - p )/ 4 для ядра в виде ДФЭ.

Таким образом, каждый фактор в ротатабельном ЦКП Бокса варьируется на пяти уровнях. В некоторых случаях радиусы второй и третьей гиперсферы совпадают:

n = 2. r2 = 2 1/2, r3 = 2 2/4 = 21/2;

n = 8 и p = 2. r2 = 8 1/2 = 2 3/2, r3 = 2 (8 – 2)/4 = 23/2.

Пример 5.3.1. Построить матрицу ротатабельного ЦКП Бокса второго порядка для трех факторов.

Решение.

Ядром плана является ПФЭ вида 23 (радиус соответствующей гиперсферы r2 = 31/2 = 1, 732). Звездные точки располагаются на гиперсфере с радиусом r3 = 23/4 = 1, 682 и имеют координаты ( 1, 682; 0; 0), (0; 1, 682; 0), (0; 0; 1, 682). Матрица планирования включает три гиперсферы и соответствует табл. 5.3, в которой g = 1, 682. План содержит 15 точек и является ненасыщенным – количество оцениваемых коэффициентов 10.

В табл. 5.5 приведены минимально необходимые сведения для составления рассмотренного вида ротатабельных ЦКП.

Таблица 5.5

Количество факторов Число точек ПФЭ Число звездных точек Значение g
      1, 414
      1, 682
      2, 000
      2, 378
5, полуреплика     2, 000
      2, 828
6, полуреплика     2, 378
      3, 364
7, полуреплика     2, 828

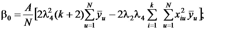
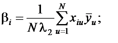
Коэффициенты модели и их дисперсии рассчитываются по формулам [2]:

;

,

;

;

;

;

;

.

Представленные формулы справедливы для ротатабельного планирования при любом количестве независимых переменных. Такое планирование не позволяет получить независимые оценки для всех коэффициентов модели, коррелированными оказываются коэффициенты (b0, b ii) и (b ii, b ij). Взаимную связь этих пар коэффициентов можно охарактеризовать ковариациями:

cov(b0, b ii) = – 2s2(ỹ) l4 A/ N;

cov(b ii, b ij) = s2 (ỹ) (1–l4 )A/ N.

Проверка однородности дисперсии воспроизводимости, адекватности модели и значимости коэффициентов модели производится по схеме, рассмотренной в разделе 4.

Если повторные наблюдения имеются только в центре плана, то и величина будет несмещенной оценкой дисперсии ошибок наблюдения. При ненасыщенном планировании остаточная сумма SR 2 = отличается от нуля. Здесь – величина, предсказанная уравнением модели, – найденная экспериментально. Величина s R 2 =SR / [ N –(k +1)(k +2)/2] характеризует неадекватность модели и также является несмещенной оценкой дисперсии ошибок наблюдения.

На основании рассчитанных величин можно провести все необходимые проверки коэффициентов и модели в целом.

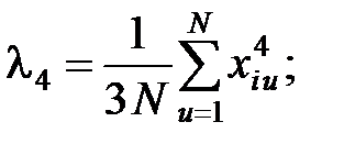
Иногда интерес представляет информация о функции отклика в некоторой окрестности центра плана. В этом случае следует добиться одинаковой погрешности модели внутри гиперсферы единичного радиуса. План, обеспечивающий такое свойство функции отклика, называется униформ-ротатабельным. Для его формирования достаточно обеспечить равенство дисперсии в центре плана (r0 = 0) и на поверхности гиперсферы радиуса r2 = 1. Этого добиваются подбором числа наблюдений n 0 в центре плана, а именно, параметр λ 4 следует взять равным положительному корню квадратного уравнения

4 4 – 1)(k + 2) + λ 4 (k + 1) – (k – 1) = 0.

Рассмотренное композиционное планирование представляет собой один из возможных подходов к построению ротатабельных планов второго порядка.

5.4. Композиционные планы типа Вn

Планы типа Вn представляют собой симметричные планы второго порядка с ядром в виде ПФЭ 2 k или ДФЭ 2 k p, дополненные 2 k звездными точками с плечом g =1 и опытами в центре плана. Иначе говоря, эти планысостоят из 2 k (2 k p) вершин k -мерного гиперкуба с координатами ±1, из 2 k центров (n– 1)-мерных граней и некоторого числа опытов в центре гиперкуба. Количество точек плана с ядром из ПФЭ составляет N = 2 k + 2 k +1, для ДФЭ N = 2 k p + 2 k +1. В каждой точке проводится равное число опытов. Планы этого типа имеют минимально количество уровней варьирования факторов, равное трем, что позволяет более точно выдерживать режимы работы изделий при натурных испытаниях по сравнению с планами, в которых требуется большее число уровней изменения управляемых переменных. Планы типа Вn близки к D - и G -оптимальным планам.

Обычно результаты опытов в нулевой точке служат для проверки гипотезы об адекватности модели экспериментальным данным. Если оценку параметров выполнять по результатам опытов в звездных точках и точках ядра, то [2]

;

;

;

;

где N 1 – число точек ядра плана; – среднее значение отклика в u -й точке, полученное по r опытам. Если некоторые коэффициенты незначимы, то остальные уточняются по специальным формулам.

Каталоги оптимальных планов

Построение оптимальных планов для произвольных функций отклика представляет сложную задачу. В интересах облегчения решения такой задачи для некоторых типовых функций отклика составлены каталоги оптимальных планов [5, 9]. Рассмотрим некоторые из них для случаев, когда многомерное пространство допустимых значений факторов представляет собой куб или шар. Соответственно допустимые области значений факторов должны удовлетворять условиям:

для куба –1£ хi £ 1, i = 1, 2, …, k;

для шара х 12 + х 22 + … + хk2 £ 1.

1. Функция отклика представляет собой полином порядка q одного фактора (k = 1)

y ' = b0 + b1 x + b2 x 2 + … + b q x q, q = 1, 2, ….

Примеры А -оптимальных планов представлены в табл. 5.6, D- оптимальных планов – в табл. 5.7. Соблюдение свойства оптимальности планов требует выполнения определенных соотношений по количеству реализаций в каждой точке плана. Это соотношение задается значением веса wj. Например, значение веса, равное 0, 152, означает, что в соответствующей точке плана в ходе исследования следует провести 0, 152-ю часть всех опытов. Для A -оптимальных планов веса точек различны, для D -оптимальных планов веса всех точек одинаковы.

Таблица 5.6

Степень полинома, q Значения фактора х / вес точки плана w
x (1) / w 1 x (2) / w 2 x (3) / w 3 x (4) / w 4 x (5) / w 5
  –1, 0 / 0, 25 0, 0 / 0, 5 1, 0 / 0, 25
  –1, 0 / 0, 152 –0, 468 / 0, 348 0, 468 / 0, 348 1, 0 / 0, 152
  –1, 0 / 0, 107 –0, 683 / 0, 25 0, 0 / 0, 286 0, 683 / 0, 25 1, 0 / 0, 107

 

Таблица 5.7

Степень полинома, q Значения фактора х
x (1) x (2) x (3) x (4) x (5)
  –1, 0 0, 0 1, 0
  –1, 0 –0, 447 0, 447 1, 0
  –1, 0 –0, 655 0, 0 0, 655 1, 0

2. Выше были рассмотрены композиционные планы для оценки коэффициентов полной квадратичной функции (5.1) от k факторов. Кроме них существуют оптимальные планы на кубе, которые предусматривают выбор множеств точек с целочисленными координатами:

точка в центре куба (множество М 0). Все координаты равны нулю;

множество точек Мk, соответствующих вершинам куба. Все координаты равны ±1. Количество точек 2 k;

множество Мk 1 середин ребер (все координаты равны ±1, за исключением одной нулевой координаты). Количество точек k 2 k – 1;

множество центров граней размерности kl (l координат равно нулю). Количество точек равно Сkkl 2 kl, l = 2, 3, …, k – 1.

В табл. 5.8 приведены веса множества Мj, j = 0, 1, 2, …, k для различного количества факторов. Для получения веса конкретной точки плана следует вес соответствующего множества разделить на количество точек в множестве. Как видно из табл. 5.8, каждый фактор варьируется на трех уровнях, и не все сочетания множеств допустимы для конкретного плана.

Таблица 5.8

Критерий оптимальности плана Количество переменных, k Множество точек плана
М 0 М 1 М 2 М 3 М 4 М 5 М 6
D   0, 0962 0, 3206 0, 5832 - - - -
  0, 0655 - 0, 4242 0, 5103 - - -
  0, 0474 - - 0, 5021 0, 4506 - -
  0, 0368 - - - 0, 5622 0, 4021 -
  0, 0216 - - - - 0, 6097 0, 3297
A   0, 376 0, 391 0, 233 - - - -
  0, 425 - 0, 569 0, 060 - - -
  0, 370 - 0, 552 - 0, 078 - -
  0, 427 - 0, 573 - - - -
  0, 404 - - 0, 556 - 0, 040 -

Пример 5.5.1. Составить D -оптимальный план для k = 3.

Решение.

План представлен в табл. 5.9. План включает: точку с нулевыми координатами; двенадцать точек, соответствующих центрам ребер трехмерного куба; восемь точек, соответствующих вершинам куба. Этот план не включает точки, соответствующие центрам граней трехмерного куба.

Таблица 5.9

№ пп х 1 х 2 х 3 Характеристика множества
        Множество М 0. Вес точки wj = 0, 0655
  + 1 + 1   Множество М 2. Суммарный вес точек множества 0, 4242. Количество точек 2× k × (k – 1). Вес одной точки wj = 0, 4242 / 12 = 0, 0353
  – 1 + 1  
  + 1 – 1  
  – 1 – 1  
  + 1   + 1
  – 1   + 1
  + 1   – 1
  – 1   – 1
    + 1 + 1
    – 1 + 1
    + 1 – 1
    – 1 – 1
  + 1 + 1 + 1 Множество М 3. Суммарный вес точек множества 0, 5103. Количество точек 2× k = 8. Вес одной точки wj = 0, 5103/ 8 = 0, 0638
  – 1 + 1 + 1
  + 1 – 1 + 1
  – 1 – 1 + 1
  + 1 + 1 – 1
  – 1 + 1 – 1
  + 1 – 1 – 1
  – 1 – 1 – 1

3. Оптимальные планы на шаре единичного радиуса для построения полных квадратичных моделей включают следующие множества точек:

точку в центре шара (множество М 0). Все координаты равны нулю;

множество точек с координатами (±1, 0, …, 0), …., (0, 0, …, ±1). Это множество М 1 содержит 2 k точек;

множество М 2 точек, соответствующих вершинам вписанного в шар многомерного куба. Координаты вершин куба принимают значения ± k 1/2. Количество вершин куба равно 2 k.

В табл. 5.10 приведены веса множества Мj, j = 0, 1, 2 для различного количества факторов k. Расчет веса конкретной точки плана производится делением веса соответствующего множества на количество точек в множестве. Как видно из табл. 5.10, каждый фактор варьируется на пяти уровнях.

Таблица 5.10

Критерий оптимальности Количество факторов, k Множество точек
М 0 М 1 М 2
A   0, 2918 0, 2932 0, 4148
  0, 1924 0, 2586 0, 5488
  0, 1377 0, 2256 0, 6368
  0, 1044 0, 2000 0, 6976
  0, 0825 0, 1750 0, 7425
D   0, 1667 0, 4167 0, 4167
  0, 1000 0, 3600 0, 5400
  0, 0667 0, 3111 0, 6222
  0, 0476 0, 2721 0, 6803
  0, 0357 0, 2411 0, 7232

Пример 5.5.2. Составить D -оптимальный план на шаре для k = 3.

Решение.

D- оптимальный план имеет матрицу планирования для основных переменных, представленную в табл. 5.11. Количество точек плана равно 15, каждый фактор варьируется на пяти уровнях.

По своим параметрам представленный план во многом аналогичен центральному композиционному плану Бокса. Отличие заключается в величине радиуса гиперсферы – он равен единице (в ЦКП Бокса радиусы превышают единичное значение).

План на шаре более экономичен по сравнению с планом на кубе по количеству точек (аналогичный план на кубе содержит 21 точку), но вместо трех уровней варьирования фактора предполагает пять уровней.

Таблица 5.11

№ пп Фактор Вес точки плана Примечание
х 1 х 2 х 3
        0, 1000 Множество М 0
        0, 0600 Множество М 1. Суммарный вес 0, 3600. Количество точек 6.
  – 1     0, 0600
        0, 0600
    – 1   0, 0600
        0, 0600
      – 1 0, 0600
  3 – 1/2 3 – 1/2 3 – 1/2 0, 0675 Множество М 2. Суммарный вес 0, 5400. Количество точек 8.
  – 3 – 1/2 3 – 1/2 3 – 1/2 0, 0675
  3 – 1/2 –3 – 1/2 3 – 1/2 0, 0675
  – 3 – 1/2 – 3 – 1/2 3 – 1/2 0, 0675
  3 – 1/2 3 – 1/2 – 3 – 1/2 0, 0675
  – 3 – 1/2 3 – 1/2 – 3 – 1/2 0, 0675
  3 – 1/2 – 3 – 1/2 – 3 – 1/2 0, 0675
  – 3 – 1/2 – 3 – 1/2 – 3 – 1/2 0, 0675

ПЛАНЫ ДЛЯ ОЦЕНКИ ВЛИЯНИЯ ФАКТОРОВ

Планы на латинских квадратах

При составлении планов поиска оптимальных значений функции и описания поверхности отклика предполагалось, что факторы представляют собой непрерывные величины. Однако некоторые параметры систем носят дискретный характер и принимают только относительно небольшое количество значений, например, емкость запоминающих устройств, тактовая частота системной шины персонального компьютера. Другие факторы по своей природе имеют не количественную, а качественную природу, в частности, однотипные изделия выпускаются целым рядом изготовителей. Этим изделиям можно приписать некоторые обозначения в номинативной шкале измерений.

Таким образом, существует параметры (характеристики), принимающие ограниченное количество значений, задаваемых в количественной или качественной шкале измерений. Необходимо в условиях воздействия других факторов оценить влияние таких параметров на показатель качества системы или определить их значимость. Полный перебор возможных сочетаний параметров системы потребует чрезмерно большого количества опытов. С целью рационального сокращения экспериментальных исследований применяют специальный вид планов – планы на латинских квадратах.

Латинский квадрат характеризуется особым расположением некоторого числа символов в ячейках, сгруппированных в строки и столбцы так, что каждый символ встречается один раз в каждой строке и в каждом столбце. Пример латинского квадрата, размером n × n, для n = 3 представлен в табл. 6.1.

Таблица 6.1

a b c
b c a
c a b

Для любого n > 2 существует множество вариантов построения латинских квадратов. Количество вариантов латинских квадратов с ростом n быстро увеличивается и определяется формулой

N (n, n) = n! (n – 1)! L (n).

Некоторые значения L (n) представлены в табл. 6.2.

Таблица 6.2

n            
L (n)            

Латинскому квадрату можно сопоставить план эксперимента, в котором строки соответствуют различным значениям одного фактора, столбцы – значениям другого, а латинские буквы – значениям третьего фактора, т.е. латинский квадрат позволяет исследовать влияние не более чем трех факторов, причем все факторы варьируются на одинаковом количестве уровней. Можно ослабить это требование путем приравнивания какого-либо уровня другому. Пример представления плана на латинском квадрате для факторов L, P, Z, каждый из которых варьируется на четырех уровнях (n = 4), приведен в табл. 6.3.

Таблица 6.3

  P 1 P 2 P 3 P 4
L 1 Z 1 Z 3 Z 4 Z 2
L 2 Z 2 Z 1 Z 3 Z 4
L 3 Z 3 Z 4 Z 2 Z 1
L 4 Z 4 Z 2 Z 1 Z 3

Применение плана, построенного на основе латинского квадрата, позволяет оценить дифференциальный (разностный) эффект пар уровней, но не дает информации о взаимодействии между факторами (иначе говоря, факторы не зависят друг от друга). Так, сумма результатов экспериментов, соответствующих столбцу j, будет оценивать эффект Pj, усредненный по всем L и Z. Тогда дифференциальный эффект увеличения значения фактора P от уровня 1 до уровня 2, усредненный по всем L и Z, можно оценить по разности между суммой значений функции отклика столбца 2 и столбца 1. Порядок перечисления уровней факторов роли не играет.

В частности, рассмотренный план позволяет оценить влияние размера видеопамяти графического адаптера (P) на скорость вывода видеоизображений при различном быстродействии (L) процессора компьютера и разном разрешении дисплея (Z). Применительно к рассмотренному примеру для трех факторов при четырех уровнях варьирования ПФЭ требует 43 = 64 опытов, а с применением латинского квадрата – только 16. Экономия достигается за счет потери информации о взаимодействии факторов.

Приведенный пример является одним из возможных расположений уровней факторов, позволяющих получить несмещенные оценки главных эффектов. Различные латинские квадраты одного размера можно накладывать друг на друга, образуя греко-латинские квадраты. Например, два латинских квадрата 3´ 3 можно преобразовать в греко-латинский квадрат

a b c   a b c   a a b b c c  
b c a ´ c a b = b c c a a b .
c a b   b c a   c b a c b a  

Здесь латинские буквы образуют один латинский квадрат, а греческие буквы – другой латинский квадрат. Каждая латинская буква встречается в паре с конкретной греческой буквой только один раз. С помощью этого греко-латинского квадрата можно оценить главные эффекты четырех 3-х уровневых факторов (фактора строк, фактора столбцов, римских и греческих букв) проведя только 9 опытов.

Если наложить друг на друга три различных варианта латинских квадратов, то получится план гипер-греко-латинского квадрата. С его помощью можно оценить главные эффекты пяти факторов (фактора строк, столбцов и трех расположений квадратов). В частности, для пяти трехуровневых факторов потребуется провести только 9 опытов вместо 243 опытов при переборе всех возможных сочетаний факторов.

Итак, планы латинских (греко-латинских) квадратов используются в тех случаях, когда требуется оценить влияние факторов, варьируемых более чем на двух уровнях и заранее известно, что между факторами нет взаимодействий или этим взаимодействиями можно пренебречь. Имеются таблицы латинских и греко-латинских квадратов различных размеров, за исключением одного случая – не существует греко-латинского квадрата для 6 уровней факторов.


Поделиться с друзьями:

mylektsii.su - Мои Лекции - 2015-2026 год. (0.721 сек.)Все материалы представленные на сайте исключительно с целью ознакомления читателями и не преследуют коммерческих целей или нарушение авторских прав Пожаловаться на материал