Студопедия

Главная страница Случайная страница

КАТЕГОРИИ:

АвтомобилиАстрономияБиологияГеографияДом и садДругие языкиДругоеИнформатикаИсторияКультураЛитератураЛогикаМатематикаМедицинаМеталлургияМеханикаОбразованиеОхрана трудаПедагогикаПолитикаПравоПсихологияРелигияРиторикаСоциологияСпортСтроительствоТехнологияТуризмФизикаФилософияФинансыХимияЧерчениеЭкологияЭкономикаЭлектроника






Поле дислокации.






Дислокация рассматривается, как бесконечный прямолинейный объект в неограниченной однородной изотропной линейно упругой среде.

Дислокация создает такое поле смещений , что для контура Бюргерса любого радиуса (рис.11):

 

 

Рисунок 11. Контур и вектор Бюргерса для винтовой дислокации

 

Полное описание поля дает тензор деформаций

.

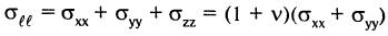
Из обобщенного закона Гука следует связь касательных σ ij и нормальных σ ii напряжений с деформацией:

где – дилатация (относительное изменение объема).

В любой точке тензор деформации поля винтовой дислокации имеет вид

Поле краевой дислокации отличается от поля винтовой дислокацией структурой тензора:

Поле винтовой дислокации находят в цилиндрических координатах r, θ, z (рис. 12) непосредственно из определения: накопление смещений uz при обходе дислокации по контуру Бюргерса составляет (рис. 11).

Рисунок 12. Контур Бюргерса для винтовой дислокации.

Поскольку в прямоугольных координатах, дифференцируя uz, получим:

Тензор напряжений σ ij получается из тензора деформаций с помощью закона Гука.

Его отличие от тензора деформаций в том, что для краевой дислокации компонента . Вместе с тем в поле винтовой дислокации нигде нет дилатации () и гидростатического давления: . У краевой дислокации есть и дилатация, и гидростатическое давление.

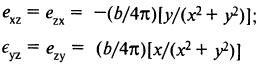
Компоненты тензора напряжений винтовой дислокации в декартовых координатах:

В цилиндрических координатах(r, θ), поскольку выбор направления r безразличен, положим r = x и y =0. Тогда и .

Существует всего одна пара ненулевых компонент напряжения: касательное вдоль оси дислокации в плоскости, проходящей через эту ось, и парное к нему , действующее по окружности в плоскости, перпендикулярной оси. В любой системе координат с удалением от оси дислокации все напряжения монотонно убывают как .

 

Симметрия поля краевой дислокации ниже. Если ось z направлена вдоль оси дислокации, а ось x вдоль вектора Бюргерса , то кроме z = const у поля смещений нет плоскостей симметрии.

Компоненты поля напряжений краевой дислокации в декартовых координатах:

Наиболее простой вид имеет гидростатическое напряжение

и гидростатическое давление в цилиндрических координатах

Поле смешанной дислокации с углом φ между вектором Бюргерса и осью z результат наложения краевой дислокации с вектором Бюргерса и винтовой – с той же осью .


Поделиться с друзьями:

mylektsii.su - Мои Лекции - 2015-2026 год. (0.454 сек.)Все материалы представленные на сайте исключительно с целью ознакомления читателями и не преследуют коммерческих целей или нарушение авторских прав Пожаловаться на материал