Студопедия

Главная страница Случайная страница

КАТЕГОРИИ:

АвтомобилиАстрономияБиологияГеографияДом и садДругие языкиДругоеИнформатикаИсторияКультураЛитератураЛогикаМатематикаМедицинаМеталлургияМеханикаОбразованиеОхрана трудаПедагогикаПолитикаПравоПсихологияРелигияРиторикаСоциологияСпортСтроительствоТехнологияТуризмФизикаФилософияФинансыХимияЧерчениеЭкологияЭкономикаЭлектроника






Розрахунковий розділ






3.1 Розрахунок допустимого часу розряджання та розрядної ємності комплекту акумуляторних батарей

Визначити допустимий час розряджання комплекту акумуляторних батарей (АКБ) та їх розрядну ємність , виходячи з того, що живлення споживачів електрообладнання автомобіля відбувається при неробочому генераторі.

Розрядна ємність АКБ - це кількість електроенергії, що вимірюється в ампер-годинах, яку можна отримати при даних умовах розрядження (температурі, силі струму розряду, щільності електроліту) за умови, що напруга на АКБ нe зменшиться нижче критичного значення . Подальше зменшення напруги АКБ під навантаженням приводить до глибокого розрядження та зіпсування АКБ.

Номінальна ємність АКБ гарантується при двадцятигодинному розряді батареї струмом до критичної напруги на кожній банці батареї.

Вихідні дані до розрахунку, згідно з варіантами завдання, наведено в таблиці 4. В таблиці 4 використані наступні скорочення: ПС - послідовне з'єднання АКБ; ПР - паралельне з'єднання АКБ; ЛД - лампа фар дальнього освітлення (потужність кожної лампи ); ЛБ - лампа фар ближнього освітлення (); ГВ - габаритний вогник (); ЛН - ліхтар освітлення номеру (); ОП - опалювач (); ПД - підігрівач заднього скла (); ЛП—лампа освітлення приладів ().

Вважати, що всі типи АКБ, перелічені в таблиці 1, мають початкову номінальну напругу , а кількість АКБ для всіх варіантів дорівнює двом. Слід зазначити, що при послідовному з'єднанні АКБ загальна напруга на комплекті подвоюється а загальна ємність комплекту дорівнює ємності однієї АКБ: . Якщо має місце паралельне з'єднання на АКБ, то подвоюється загальна ємність , а напруга комплекту дорівнює номінальній напрузі однієї АКБ: .


Таблиця 3.1 Вихідні дані для розрахунку розрядної характеристики АКБ

№ варіанта Тип АКБ Зєднання АКБ Кількість споживачів
ЛД ЛБ ГВ ЛН ОП ПД ЛП
                   
  6СТ-60 ПР         - -  

Розв’язання:

Визначаємо загальну потужність навантаження на борту автомобіля

(3.1)

Вт

де - кількість споживачів і-го типу;

- потужність одного і-го споживача, Вт.

Визначаємо еквівалентний опір навантаження визначається через загальну потужність споживачів та номінальну напругу комплекту АКБ ()

(3.2)

Ом

Визначаємо приблизний струм комплекту АКБ за умови, що напруга комплекту АКБ під час всього розряджання залишається постійною та рівною номінальному значенню

(3.3)

А

Визначимо приблизний час розрядження комплекту АКБ визначається через струм розряджання у першому приближенні

 

(3.4)

год.

Таблиця 3.2 Вихідні дані для розрахунку розрядної характеристики АКБ

№ варіанта Тип АКБ Зєднання АКБ              
                   
                   
  6СТ-60 ПР   -     - -  

 

Розв’язання:

Визначаємо загальну потужність навантаження на борту автом (3.1)

Вт

де - кількість споживачів і-го типу;

- потужність одного і-го споживача, Вт.

Визначаємо еквівалентний опір навантаження визначається через загальну потужність споживачів та номінальну напругу комплекту АКБ ()

 

(3.2)

Ом

Визначаємо приблизний струм комплекту АКБ за умови, що напруга комплекту АКБ під час всього розряджання залишається постійною та рівною номінальному значенню

(3.3)

А

Визначимо приблизний час розрядження комплекту АКБ визначається через струм розряджання у першому приближенні

(3.4)

год.

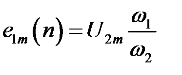
Для визначення дійсної розрядної ємності комплекту АКБ треба скористуватися графоаналітичним методом уточнення розрядного струму . На рисунку 11 наведено розрядні характеристики акумулятора для трьох фіксованих режимів розряджання. Миттєве зменшення напруги на акумуляторі відносно початкового значення () відбувається за рахунок падіння напруги на внутрішньому опорі акумулятора під час під'єднання навантаження. Далі йде поступове зменшення напруги до критичного значення . Щоб урахувати зниження напруги АКБ під час розрядження, визначаємо її середнє значення за період розряду , уточнюємо струм розряду та знаходимо дійсну розрядну ємність комплекту для визначеного режиму

Рисунок 3.1 Часові розрядні характеристики аккумулятора

Визначаємо середнє значення напруги за період розряду

, (3.6)

В

Уточнюємо струм розряду

(3.7)

А

Знаходимо дійсну розрядну ємність комплекту

(3.8)

А г

де - кількість акумуляторів у батареї;

- кількість АКБ у комплекті (тільки для послідовного з'єднання).

За результатами розрахунку , струм розряду комплекту батарей становить 7, 64 А, при цьому допустимий час розряду дорівнює 9, 6 години.

 

 

3.2 Розрахунок безконтактного регулятора напруги

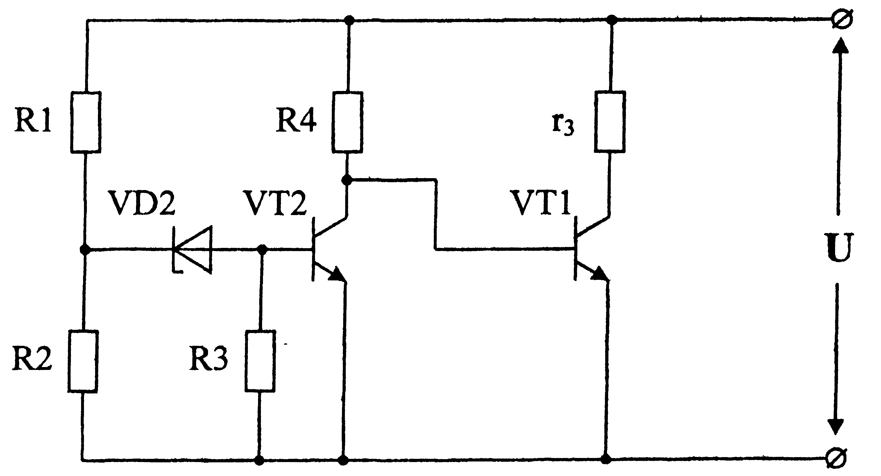
Розрахувати безконтактний регулятор напруги (РН), схема якого наведена на рисунку 12. Згідно із завданням треба визначити параметри (опір) пасивних елементів схеми (резисторів R1...R4) та режими кіл регулятора напруги (струми в колах схеми у стані спрацьовування та повернення ). За результатами розрахунку схеми РН необхідно визначити придатність обраного стабілітрона та транзисторів VT і VD для робота схеми.

За вихідні дані визначено: напруга спрацьовування ; опір обмотки збудження генератора; тип стабілітрона, що використовується для синтезу схеми. Значення вихідних даних згідно з варіантами завдання наведено в таблиці 5. У таблиці 6 наведено параметри стабілітронів: напруга стабілізації ; мінімальний струм стабілізації ; максимально допустимий струм стабілізації

В активних елементах схеми обрано кремневі транзистори n-p-n типу VT1 (КТ315), VT2 (КТ805) для всіх варіантів завдання. Транзистори характеризуються наступними параметрами VT1(VT2): потенціальні бар'єри емітерних переходів ; опір області емітера першого транзистора Ом; вхідні опори у стані насичення Ом (2, 6 Ом); вихідні опори у стані насичення Ом (0, 5 Ом); статичні коефіцієнти підсилення струму . Струм подільника напруги (R1, R2) прийняти рівним мінімальному струму стабілізації

Таблиця 3.2 Вихідні дані для розрахунку регулятора напруги

№ варіанта Напруга , В Опір , Ом Тип стабілітрона
  13, 4 3, 6 КС147А

Рисунок 3.2 Схема електрична принципова регулятора напруги

Таблиця 3.3 Параметри стабілітронів

Тип стабілітрона Значення параметрів
, В , мА , мА
КС147А 4, 7 3, 0 58, 0

Розвязання:

Визначаємо рівень напруги у режимі повернення , виходячи з умови задовільної якості регулювання (рівень пульсації напруги )

(3.9)

В

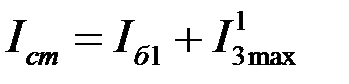
На підставі першого закону Кірхгофа визначаємо струм через резистор R1 на порозі спрацьовування стабілітрона, коли транзистор VT1 ще зачинено,

(3.10)

мА

Опір резистора R3 для цього стану визначаємо на підставі закону Ома

(3.11)

Ом

Для вимірювальної частини РН у стані спрацьовування можна скласти рівняння на підставі другого закону Кірхгофа (без урахування впливу динамічнога опору стабілітрона)

(3.12)

(3.13)

Розв'язуючи ці рівняння відносно , знаходимо опори цих резисторів.

(3.14)

Ом

(3.15)

Ом

Розраховуємо вихідний каскад РН у стані спрацьовування. Для цього визначаємо режими транзистора VT2 у відчиненому стані (струм колектора , струм бази , напругу на вході транзистора )

 

 

(3.16)

А

(3.17)

А

(3.18)

В

Визначаємо опір обмежуючого резистора для забезпечення не­обхідного струму бази VT2

(3.19)

Ом

Розраховуємо режими транзистора VT1 у відчиненому стані (стан повернення)

(3.20)

(3.21)

А

(3.22)

В

Визначаємо максимальний струм через резистор , коли транзистор VT1 перебуває у відчиненому стані

 

(3.23)

А

Струм стабілітрона в такому разі має максимальне значення та визначається на підставі першого закону Кірхгофа

(3.24)

А

Для стану повернення, коли транзистор VT1 перебуває на порозі зачинення, можна записати співвідношення для умови зачинення та подільника напруги

(3.25)

(3.26)

(3.27)

Розв'язуючи ці рівняння, визначаємо струми , , для стану повернення.

(3.28)

А

(3.29)

 

 

А

Придатність стабілітрона для роботи в схемі з обраними елементами визначається з умови неперебільшення допустимого струму стабілізації

(3.31)

Придатність транзисторів визначається з умови їх переключення у протифазному режимі

(3.32)

В результаті розвязку видно, що стабілітрон та транзистори не є придатними для роботи з вибраними елементами схеми

 

 

3.3 Розрахунок електричних параметрів контактної системи запалювання

Розрахувати електричні параметри контактної системи запалювання у швидкісному діапазоні обертання колінчатого вала двигуна внутрішнього згоряння . За результатами розрахунку побудувати робочі характеристики системи запалювання за рівнем вторинної напруги та енергією індуктивної фази іскрового розряду . На підставі побудованих робочих характеристик визначити максимальні оберти двигуна, на яких система запалювання ще є працездатною за умовами з напруги та енергії мДж. Зробити висновки про працездатність системи у робочому діапазоні обертання двигуна.

За вихідні дані для розрахунку визначені наступні електричні та конструктивні параметри системи:

- напруга живлення системи від АКБ автомобіля (для всіх варіантів завдання);

- кількість циліндрів двигуна ;

- коефіцієнт профілю кулочка переривача (для ), (для );

- опір первинного кола системи запалювання ;

- індуктивність первинної обмотки котушки запалювання ;

- ємність конденсатора первинного кола системи ;

- розподілена ємність вторинного кола системи ;

- кількість витків первинної обмотки котушки запалювання ;

- кількість витків вторинної обмотки котушки запалювання ;

- напруга пробою на іскровому проміжку свічки запалювання у робочих умовах .

Вихідні дані для розрахунку параметрів згідно з варіантами завдання наведено в таблиці

Таблиця 3.4 Вихідні дані для розрахунку

№ варіанта , Ом , Ом , мкФ , нФ , кВ
                 
    6, 0 0, 15 0, 2 0, 10      

До режимних параметрів системи (які залежать від швидкісного режиму двигуна) відносять: час замкненого стану контактів переривача ; рівень струму розриву первинного кола ; вторинну напругу, що розвиває система ; електрорухому силу (ЕРС) самоіндукції, яка індукується в первинній обмотці котушки запалювання ; енергію іскрового розряду, яка дорівнює електромагнітній енергії, що накопичується в полі котушки запалювання на час розриву первинного кола .

Розв'язання:

Розрахунок робочих характеристик системи запалювання виконуємо в наступній послідовності.

Час замкненого стану контактів переривача для обраного режиму визначається з урахуванням коефіцієнта профілю кулочка

(3.33)

с

с

с

с

с

с

с

с

с

Рівень струму розриву первинного кола визначається з формули

(3.34)

А

А

А

А

А

А

А

А

А

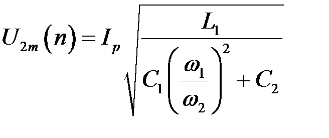
Вторинна напруга, що розвивається системою без урахування витрат на дугу, яка утворюється між контактами переривача під час їх розмикання та витрат у сталі і міді, визначається на підставі балансу енергії в обох колах системи

(3.35)

В

В

В

В

В

В

В

В

В

Рівень ЕРС самоіндукції котушки запалювання визначається через коефіцієнт трансформації (співвідношення кількості витків вторинної і первинної обмоток)


(3.36)

В

В

В

В

В

В

В

В

В

Енергія, що накопичується в полі котушки запалювання (енергія іскрового розряду) без урахування витрат у вторинному колі системи залежить від струму розриву

(3.37)

Дж

Дж

Дж

Дж

Дж

Дж

Дж

Дж

Дж

Таблиця 3.5 - Результати розрахунків електричні параметри контактної системи запалювання

Частота обертів колінчатого вала (n) t(c) I(A) U(В) e(В) W(Дж)
  0, 0240 1, 028 34770, 04 434, 62 0, 0793
  0, 0120 0, 635 21479, 12 268, 48 0, 0302
  0, 0080 0, 456 15429, 75 192, 87 0, 0156
  0, 0060 0, 355 12022, 15 150, 27 0, 0094
  0, 0048 0, 291 9842, 84 123, 03 0, 0063
  0, 0040 0, 246 8330, 75 104, 13 0, 0045
  0, 0030 0, 188 6371, 31 79, 64 0, 0026
  0, 0024 0, 152 5157, 46 64, 46 0, 0017
  0, 0020 0, 128 4331, 9 54, 14 0, 0012

Будуємо графіки робочих характеристик контактної системи запалювання


Рисунок 3.3 Залежність замкненого часу контактів від частоти обертання колінчатого вала


Рисунок 3.4 Залежність струму розриву від частоти обертання колінчатого вала


Рисунок 3.5 Залежність вторинної напруги від частоти обертання колінчатого вала


Рисунок 3.6 Залежність ЕРС самоіндукції від частоти обертання колінчатого вала


Рисунок 3.7 Залежність енергії індуктивної фази іскрового розряду від частоти обертання колінчатого вала


Поделиться с друзьями:

mylektsii.su - Мои Лекции - 2015-2026 год. (4.109 сек.)Все материалы представленные на сайте исключительно с целью ознакомления читателями и не преследуют коммерческих целей или нарушение авторских прав Пожаловаться на материал