Студопедия

Главная страница Случайная страница

КАТЕГОРИИ:

АвтомобилиАстрономияБиологияГеографияДом и садДругие языкиДругоеИнформатикаИсторияКультураЛитератураЛогикаМатематикаМедицинаМеталлургияМеханикаОбразованиеОхрана трудаПедагогикаПолитикаПравоПсихологияРелигияРиторикаСоциологияСпортСтроительствоТехнологияТуризмФизикаФилософияФинансыХимияЧерчениеЭкологияЭкономикаЭлектроника






Транспортний процес.






Переведення сільського господарства на промислову основу вимагає значної інтенсифікації всіх ланок виробництва, в тому числі с/г транспорту. У загальному комплексі сільського господарства робіт транспортні та навантажувально – розвантажувальні належать до найбільш трудомістких і енергоємних процесів, транспортні витрати у собівартості сільського господарства продукції становлять 15 – 40% близько 35% всього фонду заробітної плати витрачається на оплату працівників, зайнятих на транспортних і навантажувально – розвантажувальних роботах.

Транспортним процесом називається такий процес, який супроводжується цілеспрямованим переміщенням вантажів у сфері виробництва сільськогосподарської діяльності з одного об’єкту в інший без будь – яких якісних змін цих вантажів.

Процес включає навантажувально – розвантажувальні операції та безпосереднє перевезення вантажу.

Процес цілеспрямованого переміщення вантажів з одного об’єкта в інший (перевезення зерна з поля на тік) без якісних змін називається транспортним.

Основним видом транспорту в с/г є автомобільний, на якого перепадає до 80% обсягу всіх перевезень, 16% трактори.

Значний обсяг перевезень у сільському господарстві виконують транспортно технологічні засоби, які об’єднують функції транспортних і технологічних машин (тракторні причіпні, розкидачі добрив, кормороздавачі і т. д.)

Від правильної організації перевезень, оснащеності сучасними транспортними засобами і їх продуктивного використання великою мірою залежатимуть своєчасність виконання с/г робіт, їх якість, продуктивність праці і рівень собівартості продукції.

2. Класифікація перевезень та транспортних засобів.

Залежно від відстані і технології переміщення розрізняють такі види перевезень:

-внутрішньо садибні;

-внутрішньо господарські;

-поза господарські.

Внутрішньо господарські перевезення охоплюють території в межах господарства на відстані до 20 км.

Із багатьох внутрішньо господарських перевезень слід виділити в особливу групу перевезення, пов’язані обслуговування збиральних, посівних і садильних агрегатів, а також машини для внесення добрив та іншої с/г техніки, що виконує технологічні операції. Такі перевезення можуть називатися технологічними, вони окладають 69% за обсягом.

Позагосподарські перевезення пов’язанні з транспортуванням вантажів за межі господарства. Для них доцільно використовувати автомобілі з високими технічними швидкостями, а в окремих випадках при порівняно коротких плечах перевезень (до 20 км.) і трактори К-701, Т-150К.

Транспортні операції в с/г виконуються переважно автомобілями, тракторами, самохідними шасі, частково для цього використовують живу тяглову силу. Поряд з мобільними дедалі більше використовують трубопровідний транспорт для переміщення кормів, молока, фізіологічних відходів тварин зерна і мінеральних добрив.

Автомобільний транспорт:

-вантажний;

-спеціальний;

-пасажирський;

-автомобілі тягачі, цистерни, самоскиди, автокрани;

-авіатранспорт;

-канатні дороги;

 

3. Маршрути руху транспортних засобів.

 

Маршрутом руху називається шлях пересування транспортного засобу при перевезеннях. Маршрути бувають:

-маятникові;

-кільцеві;

-радіальні.

а-б− Маятниковим –називається такий маршрут, при якому шлях пересування транспортного засобу у прямому і зворотному напрямах відбувається на тій же трасі. Вони найбільш поширенні.

в− Радіальний – маршрут передбачає перевезення вантажів з одного постійного пункту в різні пункти чи навпаки.

г− Кільцевим – називається маршрут, при якому шлях пересування транспортного засобу між кількома пунктами утворює замкнутий контур.

д− Петльовий (комбінований) маршрут об’єднує кілька видів маршрутів (маятникові, кільцеві, радіальні).

 

4. Механізація навантажувальних робіт.

 

Ефективність використання т. з. великою мірою залежить від механізації навантажувально – розвантажувальних робіт.

Усі навантажувальні машини за технічними ознаками діляться на дві основні групи:

-машини з робочими органом перериваної (циклічної) дії;

-безперервної дії.

За способом встановлення:

-стаціонарні;

-напівстаціонарні;

-мобільні;

-універсальні;

-спеціальні.

Технічна продуктивність навантажувачів циклічної дії залежить від типу робочих органів (ківш, грейфер), виду вантажу і визначається

- для штучних вантажів

Wrt=3600/tц (шт./год)

- для об’ємних:

Wrt=3600 Vk · kн/tц3 /год)

- для вантажів в т/год

Wrt=3600Qц/tц

- 3600 – кількість секунд в 1 год;

- Vk – геометрична місткість ковша

- – коефіцієнт ковша;

- ρ – середня щільність матеріалу;

- – тривалість робочого циклу;

- – маса вантажу за 1 цикл.

Продуктивність машин безперервної дії

- для об’ємних вантажів:

Wrt=3600V · kн · v/l3 /год)

- для вантажів в т/год

Wrt=3600V · kн · vρ /l

V – швидкість робочого органу

ρ – середня щільність вантажу

l – відстань між ковшами.

Технічна продуктивність стрічкових транспортерів при переміщенні навалочних або сипучих матеріалів:

Wrt=3600VFρ (т/год)

Wrt=3600VF3 /год)

Wrt=3600V/lв (шт/год)

V – швидкість стрічкового (скребкового) транспортера, м/с

F – площа поперечного розміру потоку переміщуваного матеріалу, м 2

– відстань між вантажем на транспортері, м.

 

Продуктивність горизонтальних і похилих гвинтових конвеєрів (шнеків)

 

(т/год)

 

( /год)

Пропускна спроможність навантажувального і розвантажувального пункту

Wn=1/tнав

Якщо на пункті n постів.

Wn=n/tнав · kнп

tнав – час навантаження розвантаження 1 тонни вантажу разом з відправлення і оформлення документів.

kнп – коефіцієнт нерівномірності надходження т. з. (1, 1 – 1, 2)

n – кількість постів.

 

Тема 2.2. Розрахунок техніко-економічних показників використання транспорту.

 

1. Основні техніко-економічні показники та їх аналіз.

2. Показники кількісного використання транспорту.

3. Показники роботи транспорту на лінії.

4. Показники продуктивності транспорту.

 

1. Основні техніко-економічні показники та їх аналіз

Для чіткої і узгодженої роботи транспорту потрібно:

-забезпечити оперативне планування перевезень з урахуванням обсягу, дислокації місць з вантажем, приймальних пунктів, наявного транспорту, дорожніх умов, організації навантажувальних операцій і режими роботи.

-вибрати і організувати найбільш раціональні маршрути руху, які забезпечували б найбільший коефіцієнт використання пробігу φ пр;

-забезпечити технічну готовність т. з. Протягом усього періоду перевезень продукції.

При плануванні визначають обсяг перевезень вантажів (Т) і вантажооборот (Т · к)

Ефективність використання транспортного агрегату (парку) оцінюють за допомогою таких показників:

-коефіцієнт використання часу;

-коефіцієнт використання вантажопідйомності;

-середньо технічна та експлуатаційна швидкість руху транспорту.

Показники продуктивності транспорту:

-добовий пробіг т. з.;

-добова продуктивність транспорту в тонно-кілометрах.

Крім того, по всьому парку визначають:

-КТГ (коефіцієнт технічної готовності)

-коефіцієнт використання парку (справного)

-коефіцієнт випуску транспорту на лінію а також собівартість перевезень і витрату палива на 1 т. км.

2. Показники кількісного використання транспорту.

Коефіцієнт технічної готовності (КТГ) парку – показник що характеризує технічний стан і ступінь готовності рухомого складу до виконання транспортної роботи, він дорівнює відношенню числа автомобіле-днів у технічно-справному стані до числа інвентарних автомобіле-днів за той самий період.

 

 

- АДтс – автомобіле-днів у технічно справному стані;

- АДтор – автомобіле-дні технічне обслуговування і ремонт;

- АДін – інвентарні авто-дні.

КТГ автомобіля за визначений період.

Ктг=Дтс/Дкд

- Дтс – кількість днів авто в технічно справному стані за відповідний період.

- Дкд – кількість календарних днів (періоду).

КТГ всього парку – відношення кількості технічно справних одиниць рухомого складу до їх інвентарної (снискової) кількості.

mтс – кількість технічно справних автомобілів

mi – кількість інвентарних одиниць автомобілів.

КТГ =0, 80-0, 85

Коефіцієнт використання (випуску) парку - це відношення автомобіле-днів перебування в експлуатації (роботи) до інвентарних автомобіле-днів (знаходження рухомого складу в господарстві):

де - АДпр - автомобіле-дні простоїв.

Квип =0, 70-0, 74

Коефіцієнт випуску (використання) одного автомобіля.

 

За даними Інституту аграрної економіки УААН;

-кількість днів роботи на рік 264-273;

-середньодобовий пробіг, км – 130-180

-коефіцієнт використання пробігу 0, 51-0, 57

-коефіцієнт використання вантажності 0, 85-0, 93.

 

3. Показники роботи транспорту на лінії

Використання вантажності. Для оцінки ефективності завантаження автомобіля чи причепу застосовують статичний і динамічний коефіцієнт використання номінальної вантажності.

Статичний визначає ступінь використання номінальної вантажності рухомого складу під час завантаження, а динамічний – під час руху.

Статичний коефіцієнт:

Qф – кількість фактично перевезеного вантажу;

Qн – маса вантажу яку міг перевезти автомобіль якби при кожному рейсі він завантажувався до номінальної вантажності;

np – кількість рейсів.

Динамічний коефіцієнт (коефіцієнт використання тонно-кілометрів) являє собою відношення фактично виконаної транспортної роботи в ТКМ до можливої роботи при повному використані номінальної вантажності.

m – кількість авто даної марки;

– відстань перевезення вантажу.

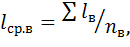
Використання пробігу. До пробігових показників відносять середню відстань перевезення вантажу і коефіцієнт використання пробігу.

Середню відстань перевезень визначають за формулою

де lв- пробіг з вантажем, км

-кількість вантажних їздок.

Коефіцієнт використання пробігу – це відношення пробігу транспортного агрегату з вантажем до загального пробігу:

 

де lзаг- загальний пробіг (з вантажем і вхолосту) агрегату, км.

Коефіцієнт використання пробігу визначають для їздки, рейсу одного транспортного засобу і всього парку за будь-який період часу. Для вантажного автотраспорту практично знаходиться в межах 0.5-0.56.

 

Використання часу характеризують коефіцієнт використання робочого часу агрегату, агрегату з вантажем, марку, середній час руху транспортної одиниці протягом дня.

Коефіцієнт використання робочого часу окремого агрегату:

 

де - час руху агрегату.

Коефіцієнт використання робочого часу руху окремого агрегату з вантажем

де - час руху агрегату з вантажем.

Коефіцієнт використання робочого часу парку:

 

Середній час руху однієї транспортної одиниці протягом дня, години

Де -загальний час перебування парку машин в наряді:

–кількість робочих машино-днів на весь парк.

Коефіцієнт випуску рухого складу на лінію для парку автомобілів (тягачів, причепів) за Dк календарних днів,

де , - відповідно кількість днів в експлуатації і календарних.

 

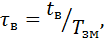
Використання швидкості. Для кожного агрегату можна визначити середню технічну і експлуатаційну швидкість.

Середня технічна швидкість – це відношення загального пробігу l до часу руху рухомого складу tр;

Середню експлуатаційну швидкість визначають з відношення загального пробігу до загального часу перебування рухомого складу в наряді:

,

де - загальний пробіг транспортних засобів, км;

, , -відповідно час в наряді, руху і простоїв (навантажування, розвантажування тощо).

Відношенням експлуатаційної швидкості до технічної визначається коефіцієнт використання часу руху транспортного агрегату:

Коефіцієнт готовності парку:

де -кількість автомобіле-днів у готовому до експлуатації стані;

-інвентарна (спискова) кількість одиниць рухомого складу.

Коефіцієнт готовності парку залежить від організації технічного обслуговування і ремонту автомобілів (причепів) і не повинен бути меншим за 0.8-0.85.

 

4. Показники продуктивності транспорту.

Продуктивність транспортних агрегатів виражає кількість перевезених вантажів або виконаних робіт за одиницю часу.

За один рейс транспортний агрегат перевезе вантажу, т;

,

-номінальна вантажність, т.

Якщо врахувати відстань перевезення lв, на яку транспортують вантаж, одержимо кількість тонно-кілометрів за один рейс:

Кількість рейсів, які може здійснити рухомий склад за зміну, визначаємо за формулою:

де - час у наряді, год;

- коефіцієнт використання пробігу;

- технічна швидкість, км/год;

- середня відстань перевезень, км;

- час вантаження і розвантажування за один рейс, год.

З урахуванням кількості рейсів продуктивність транспортних засобів за зміну (т ̸ зм, т·км ̸ зм):

 

) (т ̸ зм);

 

(т·км ̸ зм).

 

Тема 3.1. Поняття про технологію виробництва С. Г. культур, виробничі процеси операції.

 

1 Характеристика та принципи, побудова технологічних процесів.

2 Поняття про технологічний комплекс машин.

3 Показники технологічних операцій.

4 Технологічні карти виробництва С. Г. культур.

 

1 Характеристика та принципи, побудова технологічного процесу.

Вирощування С. Г. культур по природно кліматичних зонах пов’язане з виконанням різних технологічних операцій, здійснюваних у певній послідовності весь комплекс механізованих робіт повинен бути взаємопов’язаним; потрібно, щоб кожна попередня операція підготовлені необхідні умови для проведення наступної.

Основою для складання переліку і чергування операції є типові технологічні карти, які розробляють для кожної зони. В них подано різні варіанти агрегатів, що виконують операції при вирощувані культур з економічною ефективністю їх використання.

Операційна технологія вирощування С. Г. культур встановлює способи і засоби обробки і переробки матеріалів, визначає головний напрям механізації основних і допоміжних операцій, правильне агрегатування машин, їх оптимальні регулювання, способи руху, планування, організацію робіт та всі інші заходи раціонального використання С. Г. техніки.

Усі ці питання вивчають шляхом послідовного засвоєння основних груп технологічних операцій:

-обробіток ґрунту;

-сівба, садіння і внесення добрив;

-догляд за С. Г. культурами;

-збирання вражаю.

Обробіток ґрунту пов'язаний із зміною його властивостей у потрібному напрямі шляхом механічного впливу.

Сівба садіння і внесення добрив мають забезпечити рівномірний розподіл насіння, бульб добрив на площі поля чи в рядку, а також на глибині зароблення.

Догляд за С. Г. культурами включає обробіток ґрунту в міжряддях, механічні і хімічні способи боротьби з бур’янами, хворобами і шкідниками рослин, підкормку зрошення посівів.

Збирання врожаю передбачає відокремлення рослин, насіння, бульб і коренів від ґрунту (або стебел) при зберіганні їх властивостей з наступним перевезенням у сховища чи для споживання.

Технологічну операцію і сукупні з нею операції треба проводити в суворо встановленому порядку, який дає змогу в даних умовах мати найкращій результат, а також застосувати комплекс машин по її виконанню.

2 Поняття про технічний комплекс машин.

Система машин (комплекс) – це сукупність різних машин і агрегатів, які взаємно пов’язані і доповнюють одна одну, виконують усі виробничі операції вирощування і збирання різних культур.

Комплексна механізація при індустріальній технології передбачає застосування для кожної культури такої системи машин, яка забезпечує повну механізацію (а в подальшому і автоматизацію) основних і необхідних допоміжних, підготовчих, складальних, транспортних, навантажувальних і розвантажувальних та інших операцій при вирощувані і збиранні, а також первинну переробку і зберігання зібраного урожаю.

При розробці загальних систем машин для вирощування культур за індустріальною технологією вирішують завдання:

-найбільшого завантаження машин протягом року;

-зменшення до мінімуму негативної дії машин на грунт;

-забезпечення найбільшої економічної ефективності від застосування підібраної системи машин.

3 Показники технологічних операцій

Класифікація показників до виконання кожної технологічної операції ставлять певні агротехнічні вимоги, яких треба дотримуватись. Вони виражаються у вигляді технологічних показників і являють собою обов’язкові нормативи якості с. г. робіт.

Розрізняють 4 групи якісних показників.

1-глибина оранки, заробляння насіння чи добрив, висота зрізування рослин;

2-норми висіву насіння, внесення добрив, гербіцидів;

3-допустимі норми втрат матеріалу, ступінь подрібнення насіння чи недомолот, процент пропусків гнізд при квадратно – гніздовому садіння толдо;

4-інші показники, які не увійшли у названі вище грунт (ступінь заробляння рослинних решток під час оранки, надійність підрізання бур’янів під час культивації, прямолінійність борозен і т. д.)

Детально, зурахуванням зональних особливостей, агротехнічні нормативи подано в операційних картахна кожну технологічну операцію. Кожну операцію можна характеризувати кількома показниками. Проте дуже багато показників ускладнюють оцінку якості робіт, збільшують трудомісткість оцінки у виробничих умовах. Кількість показників має бути мінімальною, тому з них у кожній операції виділяють найголовніші і встановлюють важливість кожного з них для загальної оцінки, прийнятої за 100%.

 

4 Технологічні карти виробництва сільськогосподарських культур – містить такі дані:

- перелік і послідовність виробничих операцій у хронологічному порядку;

- їх тривалість (допустиму) в календарних і робочих днях;

- тип і склад агрегату;

- обслуговуючий персонал;

- виробіток за зміну і добу;

- витрата палива на одиницю роботи і кожну операцію;

- потрібна кількість агрегатів і механізаторів для виконання робіт у задані строки;

- затрати праці і експлуатаційні витрати засобів на одиницю роботи і на весь обсяг робіт (по всіх операціях).

У карті зазначають кожну операцію окремо, і коротко викладено основні агротехнічні вимоги (глибину оранки, спосіб сівби і т. д.)

Технологічні карти є основою для планування роботи агрегатів, перерозподілу наявної техніки по підрозділах господарства, а також для складання заявок на придбання нових машин чи комплексів.

На основі аналізу технологічних карт і показників роботи різних варіантів агрегатів вибирають найкращі з них за мінімумом експлуатаційних вартісних затрат або за найменшими затратами праці на одиницю роботи, або за максимумом продуктивності. Вибір критерію оптимальності визначається конкретними виробничими умовами.

Тема 3.2. Приготування і внесення добрив.

 

1. Види добрив і їх класифікація

2. Технологічні схеми внесення добрив. Агро вимоги

3. Вибір комплексу машин.

4. Підготовка поля.

1. Види добрив і їх класифікація.

Види добрив:

- органічні

- мінеральні

- бактеріальні

Органічні:

- тверді (гній, торф)

- рідкі (гноївка)

- сидеральні (зелені рослини, які приорюють: люпин)

Бактеріальні

Ними обробляють насіння перед сівбою (нітрати, азотобактерин)

Мінеральні – розрізняють за принципом дії:

- азотні

- фосфорні

- калійні

- мікродобрива (залізо, хлор, молібден)

Мінеральні добрива вносять у твердому вигляді (гранули пиловидні) і рідкому (вода, безводний аміак)

Класифікація добрив

Добрива діляться:

- за властивостями

- способом внесення

- за призначенням.

- За властивостями: що впливають на роботу машин, добрива оцінюють за гігроскопічністю; розсіюваністю; злежаністю.

- за способом внесення – суцільного (розкидачі); рядкового (гніздові) і внесення з поливною водою.

- За призначенням буває:

основне – перед оранкою, культивацією, лущенням стерні;

припосівне – одночасно с посівом, чи садінням; підкормка в різні періоди росту рослин.

Кожному способу відповідає своя технологія внесення, повний комплекс машин.

2. Технологічні схеми внесення добрив. Агровимоги.

У загальному вигляді технологія внесення будь – яких добрив включає операції завантаження П, транспортування Т, перевантажування Пр, розвантажування Р й внесення В. Проте сукупність і повторюваність цих операцій можуть бути різноманітними і включати зберігання З.

Відомі такі технологічні схеми доставки і внесення добрив:

- прямоточної;

- перевалочна;

- комбінована (поєднання прямоточної і перевантажувальної)

Перевалочна схема:

Тсо=Пз+Тз+Рз+Зз+Тех.+Рех+Зех+Пех+Тх+Рх+Зх+Пх+Тп+Рп+Пп.+Вп

Прямоточна

Тсо=Пз+Тп+Вп

Найважливіші агро вимоги при внесені добрив – забезпечення заданої норми і рівномірності розподілу по площі або по довжині рядка чи в гнізді на заданій глибині.

3. Вибір комплексу машин

Для спеціалізованих підприємств розроблено комплекси машин, які включенні в систему машин. У цій системі є прирейкові розвантажувачі МВС-4, стрічкові транспортери ПКС-80; АТ-6 і ЛТ-10, тракторні навантажувачі ПФ-0, 5; ПФ-0, 75, грейдерні ПГ-0, 5Д; ПМГ-0, 2; ПЄ-0, 8 і др.

Для підвезення добрив до місць внесення використовують або машини якими вносять добрива (РОУ-5, МВУ-6) або спеціальні авто самоскиди типу САЗ-3502 чи звичайні самоскиди.

При внесені мінеральних добрив туковими сівалками чи начіпними розкидачами добрива вантажать автозавантажувачами ЗСА-40, а при внесені літаками і вертольотами ЗСВУ-3.

Органічні добрива вносять розкидачами РОУ-5; 1-ПТУ-4; КСО-9; РПН-44 ПРТ-10; ПРТ-16.

Мінеральні добрива вносять: РУП-14; РУП-10; МВУ-16 (РУМ-16); 1-РМГ-45; ММВ-12 і т. д.

4. Підготовка поля

Щоб мати належний ефект від добрив, треба, щоб поля були чистими від бур’янів, інакше значна частина корисних речовин буде використана ними (бур’яни у сприятливих умовах можуть збільшити кількість свого насіння в 5-10 разів). У зв’язку з цим застосовують сумісне внесення добрив з гербіцидами.

Підговка поля до роботи включає:

1.Огляд поля, видалення побічних предметів, огородження небезпечних місць.

2.Розпланування поля на загінки з урахуванням потрібного напряму руху агрегату, вибраного способу руху і видів поворотів, нарізування загінок, поворотних смуг тощо.

3.Помітку на полі місць заправки чи розвантаження та інше.

Модуль №4

Тема 3.3 Технологія і організація основного обробітку грунту

 

1. Види основного обробітку ґрунту.

2. Оранка з обертанням скиби.

3. Лущення стерні і його значення.

4. Без відвальний обробіток ґрунту.

 

1. Види основного обробітку ґрунту.

Основний обробіток ґрунту являє собою систему заходів, які забезпечують:

- створення сприятливих умов для нагромадження вологи;

- боротьбу з бур’янами, шкідниками і хворобами с. г. культур;

- сприятливе протікання мікробіологічних процесів (розкладання рослинних решток);

- підвищення родючості ґрунту шляхом зберігання і збільшення орного шару;

- високоякісне виконання всіх наступних операцій з обробітку ґрунту і збирання врожаю.

Розрізняють такі способи обробітку ґрунту:

- оранка з оборотом скиби;

- безполицевий стерньовий обробіток ґрунту плоскорізами-розпушувачами;

- безполицевий обробіток.

 


Поделиться с друзьями:

mylektsii.su - Мои Лекции - 2015-2026 год. (1.504 сек.)Все материалы представленные на сайте исключительно с целью ознакомления читателями и не преследуют коммерческих целей или нарушение авторских прав Пожаловаться на материал