Студопедия

Главная страница Случайная страница

КАТЕГОРИИ:

АвтомобилиАстрономияБиологияГеографияДом и садДругие языкиДругоеИнформатикаИсторияКультураЛитератураЛогикаМатематикаМедицинаМеталлургияМеханикаОбразованиеОхрана трудаПедагогикаПолитикаПравоПсихологияРелигияРиторикаСоциологияСпортСтроительствоТехнологияТуризмФизикаФилософияФинансыХимияЧерчениеЭкологияЭкономикаЭлектроника






Задача 4






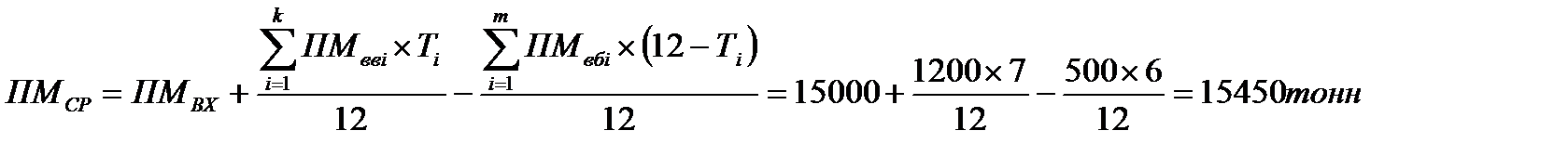
Производственная мощность цеха завода на 1 января 2010 г. составляла 15 000 т чугунного литья. С 1 июня 2010 г. введены два плавильных агрегата мощностью 1200 т литья, с 1 июля 2010 г. выбыл один плавильный агрегат мощностью 500 т литья. Среднегодовая мощность за предыдущий (2009 г.) – 14 000 т литья. Фактический выпуск продукции за год – 13 500 т литья. Расчет ведется по формулам 1.13 - 1.16.

Определите:

1) среднегодовую мощность чугунолитейного цеха в 2010 г.;

2) прирост среднегодовой мощности чугунолитейного цеха;

3) выходную мощность чугунолитейного цеха на 31 декабря

2010 г.;

4) коэффициент использования производственной мощности чугунолитейного цеха.


Решение:


Ответ: среднегодовая мощность-15450т, прирост среднегодовой мощности-10, 35%, выходная мощность-15700т, коэффициент использования производственной-0, 874.

 

ТЕМА 2

Основные производственные фонды


Поделиться с друзьями:

mylektsii.su - Мои Лекции - 2015-2026 год. (0.743 сек.)Все материалы представленные на сайте исключительно с целью ознакомления читателями и не преследуют коммерческих целей или нарушение авторских прав Пожаловаться на материал