Студопедия

Главная страница Случайная страница

КАТЕГОРИИ:

АвтомобилиАстрономияБиологияГеографияДом и садДругие языкиДругоеИнформатикаИсторияКультураЛитератураЛогикаМатематикаМедицинаМеталлургияМеханикаОбразованиеОхрана трудаПедагогикаПолитикаПравоПсихологияРелигияРиторикаСоциологияСпортСтроительствоТехнологияТуризмФизикаФилософияФинансыХимияЧерчениеЭкологияЭкономикаЭлектроника






Задача 1






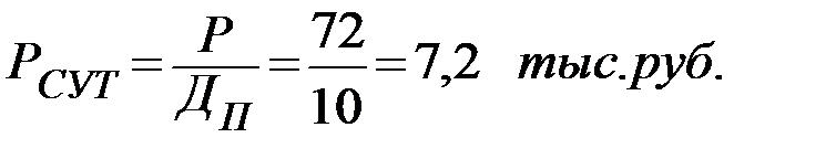
Определите стоимость поставки материальных ресурсов, если стоимость потребления за декаду Цдек = 72 тыс. руб. при цене 1 т Цт = 2 тыс. руб.; интервал плановой поставки Ипл = 8 дней, страховой запас СЗ = 2 дня, транспортный запас Трз = 1 день, технологический запас Кз = 3%.

 

1. Определите среднесуточную стоимость расхода материальных ресурсов.

2. Определите среднесуточный расход материальных ресурсов.

3. Определите текущий запас.

4. Определите страховой запас.

5. Определите транспортный запас.

6. Определите технологический запас.

7. Определите общую величину поставки.

8. Определите стоимость поставки.

Решение:


Ответ: среднесуточная стоимость расхода-7, 2 тыс.руб., среднесуточный расход материальных ресурсов- 3, 6 т, текущий запас-28, 8 т, страховой запас-3, 6 т, транспортный запас- 1, 8 т, технологический запас- 1, 026 т, общая величина поставки- 35, 226 т, стоимость поставки- 680, 4 тыс.руб.


Поделиться с друзьями:

mylektsii.su - Мои Лекции - 2015-2026 год. (2.484 сек.)Все материалы представленные на сайте исключительно с целью ознакомления читателями и не преследуют коммерческих целей или нарушение авторских прав Пожаловаться на материал