Студопедия

Главная страница Случайная страница

КАТЕГОРИИ:

АвтомобилиАстрономияБиологияГеографияДом и садДругие языкиДругоеИнформатикаИсторияКультураЛитератураЛогикаМатематикаМедицинаМеталлургияМеханикаОбразованиеОхрана трудаПедагогикаПолитикаПравоПсихологияРелигияРиторикаСоциологияСпортСтроительствоТехнологияТуризмФизикаФилософияФинансыХимияЧерчениеЭкологияЭкономикаЭлектроника






Материалы






Таблица №1

  № п.п   Наименование нагрузок   Подсчет нагрузок Нормативная нагрузка Н/м2 Коэфф. по нагрузке gf Расчетная нагрузка Н/м2
      “А” Постоянные нагрузки Гравий втопленный в битумную мастику 2-а наплавляемых слоя на битумной мастике Цементно - песчаная стяжка Утеплитель Керамзит по уклону Пароизоляция Железобетонная плита покрытия пустотная t´ g0 t=0.015м; g=11000 Н/м3   n=2; gn=50 Н/м2 n´ gn=3х50 0.025 м; g= 18000 Н/м3 t´ g=0.16´ 400 t´ g=0.17´ 5000 gn =50 Н/м2 t´ g=0.12´ 25000             1.3   1.3   1.3   1.2 1.3 1.2 1.1          
    Итого по “А” gn=4430   g=5157
  “Б” Временная нагрузка Снеговая нагрузка на покрытие г. Демидов III –й снеговой район   -длительная -кратковременная СНиП 2.01.07-85* Карта №1* Табл.4.-Sg=1, 8кПа п.5.7*.Коэф.gf=0.7 S0=0, 7Sg=0, 7´ 1, 8=1, 26кН/м2п1.7*’’к’’gfL=0.5; SgL=0.5 Sg SgL =0.5´ 1, 8=0, 9 кН/м2 S0L =0.5´ 1, 26=0, 63 кН/м2      
    Итого по “Б” Vn=1260   V=1800
    Всего по “А+Б” Pn=5690 Н/м2   Р =6960 Н/м2

Р =(g+ V)=6, 95 кН/м2 Расчетная нагрузка

Pn=(gn+Vn)=5.69кН/м2 Нормативная нагрузка

РL= (g+VL)=5.15+0.9=6.05 кН/м2 Длительная расчетная нагрузка


 

Лист
Изм.
Лист
№ док.
Подпись
Дата
Кол. уч.
КР.270802 СМ-11-13. 20.15  
 
Нагрузка на 1 м2 перекрытия

 

Состав пола

1. Линолеум с теплозвукоизоляционным слоем
2. Прослойка из быстротвердеющей мастики
3. Стяжка из цементного раствора марки 150
4. Водонепроницаемая бумага 1 слой
5. Звукоизоляционный слой
6. Железобетонная многопустотная плита перекрытия
 
 
 
 
 
 
 
 


Таблица № 2

  № п.п.   Наименование нагрузок   Подсчет нагрузок Нормативная нагрузка Н/м2 Коэффициент по нагрузке gf Расчетная нагрузка Н/м2
  “А” Постоянные нагрузки Вес конструкции пола Ж/б плита перекрытия   gn=870 Н/м2 hred´ g = 0.12´ 25000     1.1 1.1  
    Итого по “А”     gn=3870     g=4257
    “Б” Временная нагрузка Полезная нагрузка на перекрытие здания магазин -длительная (пониженная) -кратковременная Нагрузка от перегородок -кратковременная   СНиП 2.01.07-85* Табл. 3 п.2 Рn =3, 5кПа=3500Н/м2 п.3.7 Рn =3, 5кПа³ 2, тоgf=1.2 VnL =700 Н/м2 Vnкрn - VLn Табл.3 п.9‘’в‘’ п.3.6. Vnкр = 0.5кПа=500 Н/м2 п.3.7 Рn =0.5< 3, 5кПа, - gf=1.3       1.2 1.2   1.3    
  Итого по “Б”   Vn=4000   V=4850
  Итого по “А” и “Б”   Рn=7870Н/м2   Р=9107 Н/м2

Рn= (gn + Vn) = 7, 9 кН/м2 -Нормативная нагрузка

Р= (g + V) = 9, 1кН/м2 -Расчетная полная нагрузка

РL= Р -Ркр =9, 1-1, 56-0, 65=6, 89 кН/м2 -Расчетная длительная нагрузка

Ркр=1, 56 + 0, 65 =2, 21 кН/м2 -Кратковременная нагрузка


 

Лист
Изм.
Лист
№док.
Подпись
Дата
Кол. уч.
КР.270802 СМ-11-13. 20.15  
6
Сбор нагрузок на колонну и фундамент среднего ряда

Определение грузовой площади

Агр.=5´ 5=25м2
1 КВД 3.33
Ригель
L2=5000
L2=5000
 
 
 
Агр=6´ 6=36 м2
Колонна
-0.950
Ур.ч.п.
0.000
 
 
1КВД 4, 30
1КHД 4, 30
N покрытия
N1 перекрытия
   
 


 

Фундамент
Отм.подошвы

Грунтовое основание
Таблица №3

 

  № п.п.   Наименование грузок Нормативная нагрузка (кН) Коэффициент надежности gf Расчетная нагрузка (кН)
длительная полная
    Нагрузка от покрытия -Нормативная Nnn× Агр=5.69× 25 -Длительная NL =PL× Aгр=6.05× 25 -Расчетная N = Р× Aгр = 6.95× 25   142, 25     151, 25   173, 75
  Нагрузка от ригеля покрытия m=V× r=b× h× L× r=0.6× 0.3× 5× 25; Nn =m=22.5 кН   22, 5   1.1   24, 75   24, 75
    Нагрузка от перекрытия -Нормативная Nn =Pn× Aгр× n=5.69 25 1 -Длительная NL= PL× Агр× × n=6, 05× 25× 1 -Расчетная N=P× Aгр× n=6, 95× 25× 1   142, 25         151, 25     173, 75
  Нагрузка от ригеля перекрытия m=V× r,; Nn= m× n=22, 5× 1   22, 5   1.1   24, 75   24, 75
  Нагрузка от собственного веса колонны. -по каталогу определяют массу и марку колонны – m= Nn=m=22.8 кН m=V× r=b× h× L× r=b× h× (H × nэт+ hс)× r     27, 8   1.1     30, 6     30, 6
  ВСЕГО Nn=357, 3 кН   NL=382, 6 кН N= 501, 8 кН

N=501, 8 кН
Nn=357, 3 кН

NL=382, 6 кН

N=501, 8 кН

Nser= Nngf =501, 8 кН – расчетная нагрузка для второй группы предельных состояний.

=1 – коэффициент надёжности по нагрузке для второй группы предельных состояний.


Лист
Изм.
Лист
№ док.
Подпись
Дата
Кол. уч.
КР.270802 СМ-11-13.20.15  
7
Нагрузка на 1 п. м балки (ригеля)

балка (ригель)
 
 
 
L2=5000
L2=5000
Агр=L2´ 1=5´ 1=5м2
Колонна
 
 

 


Таблица № 4

  № п.п.   Наименование нагрузок   Подсчет нагрузок Нормативная нагрузка Н/м Коэффициентпо нагрузкеgf Расчетная нагрузка Н/м
    “А” Постоянные нагрузки Нагрузка от конструкции пола Ж/б плита перекрытия Серия 2.244 gn=870 Н/м2 gn´ L2 =870´ 5 hred´ g = 0.12 ´ 25000 gn´ L2 = 4350´ 5       1.1   1.1    
    Итого по “А” gn=26100   g=28710
      “Б” Временная нагрузка Полезная нагрузка на перекрытие здания магазин · длительная (пониженная) · кратковременная Нагрузка от перегородок · кратковременная СНиП 2.01.07-85* Табл. 3 п.2 Рn =3, 5кПа=3500 Н/м2 Рn´ L2 =3500´ 5 =17500 VnL =700´ 5 =3500 Vnкрn - VLn = 14000 Табл.3 п.9. ‘’в‘’ п.3.6.Vnкр=500Н/м2; 500´ 5=2500       1.2 1.2   1.3    
  Итого по “Б Vn=20000   V=24250
    Итого по “А” + “Б” gn=46100 Н/м   g=52960Н/м

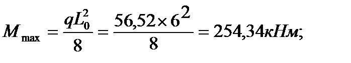
g=52960 Н/м =52, 96 кН/м – расчетная нагрузка на ригель(балку)

gn=46100 Н/м =46, 1 кН/м – нормативная нагрузка на ригель(балку)

Расчетная схема балки
Эп. Q (кН)
f
Эп. М (кНм)
L1 =5м
g=52, 96 кН/м
g= РL2gn =9, 1´ 5´ 0.95=45, 5 ´ 0.95=43, 2 кН/м

gn= РnL2gn = 7, 8´ 5´ 0.95=39 ´ 0.95=37, 05 кН/м

где: L1 =5м– пролет балки (ригеля)

L2 =5м– шаг балок (ригеля)

gn – коэффициент надежности по назначению здания

gn= 0.95 для зданий 2-го класса ответсвенности

Расчетный максимальный изгибающий момент

Расчетная максимальная поперечная сила

Лист
Изм.
Лист
№док.
Подпись
Дата
Кол. уч.
КР 270802 СМ-11-13.20.15  
8
Расчет железобетонной колонны среднего ряда

Нагрузка приложена со случайным эксцентриситетом.

Расчёт производим на основании СНиП 52 -01 – 2003 * “Бетонные и ЖБ конструкции”. Основные положения.

СП 52 – 101 – 2003 «Свод Правил» “Бетонные и ЖБК без предварительного напряжения арматуры”

 

Исходные данные:

1. h b = 40 40 (см) – сечение колонны

2. Ngn= 501, 8´ 0, 95 = 476, 71 кН – полная расчетная продольная сжимающая сила

3. NLgn = 382, 6´ 0, 95 = 363, 47 кН – расчетная длительная сила

4. НЭТ = 3, 0 м, количество этажей n=2

5. Класс бетона В25

6. Класс сталей А400(А-ІІІ)

7. Коэффициент γ b2 = 0, 9

Расчетные данные:

  1. Rb= 14, 5 МПа = 1, 45 кН/см2, Rb = RbТаб γ b2 =1, 45 0, 9 = 1, 305 кН/см2
  2. RS= 355 МПа = 35, 5 кН/см2
  3. RS, С =355 МПа = 35, 4й А40011-12, 0 кН/см2

Решение

Подбор сечения продольной арматуры:

Определяем отношение

λ = = = 7< 20 так как гибкость колонны λ = < 20, то расчет можно производить как центрально-сжатой колонны гражданского здания.

Определяем случайный эксцентриситет:

1) еа = см

2) еа = см,

3) еа≥ 1, 33см

принимаем еа = 1, 33

 

Если L0 ≤ 20 h = 300< 20 40 = 800

и колонна симметрично армирована, то основное расчетное уравнение имеет вид

, откуда находим необходимое сечение арматуры:


 

 

Лист
Изм.
Лист
№ док.
Подпись
Дата
Кол. уч.
КР.270802 СМ-11-12.07.14  
 
, где: m = 1, так как h = 40 > 20 см

 
1 КНД 3. 33
Nпер
Nпокр.
N 1
Коэффициент определяется по следующей формуле:

b =300
As
As
Ab
1 – 1
, где:

принимается по таблице

= -1, 932 см2 – следовательно

принимаем арматуру лишь конструктивно

4Ø 16 мм класса А – 400 с 8, 04 см2

Процент армирования сечения будет составлять:

, что гораздо больше минимального процента армирования равного 0, 4% Табл. 38 СНиП. Коэффициент армирования

Для проверки несущей способности вновь определяем

Проверяем условие:

Вывод: несущая способность колонны обеспечена

Расчет поперечных стержней:

 

Колонна армируется пространственным каркасом. Наибольший диаметр продольных стержней Ø 16 мм. По условию технологии сварки диаметр поперечных стержней 6 – 8 мм. Шаг поперечных стержней сжатых элементов должен быть: = 20d = 20 × 16 = 320 мм, S< 500 мм и не более меньшей стороны сечения колонны: S = h = 300 мм. Принимаем шаг поперечных стержней S = 300 мм.

 

 


 

Лист
Изм.
Лист
№ док.
Подпись
Дата
Кол. уч.
КР.270802. СМ-11-12.07.14  
 
Расчет колонны на усилие, возникающее при транспортировке

Колонну перевозят плашмя, по этому в расчет принимаем 2 стержня. 2Ø 16 А400(А-III) с АS = 4.02 см2

4Ø 16 А400(А-ІІІ) с АS = 8, 04 см2, RS, C= 27, 0 кН/см2; RS = RSC = 270 МПа = 27.0 кН/см2

Несущая способность сечения определяется как для балки с двойной симметричной арматурой:

М СЕЧ = RS, C· АS (h0 – α) = 35, 5 · 4, 02 · (26 – 4) =31, 4 кН∙ м

ho = 30 − 4 = 26 см – рабочая высота колонны при работе на изгиб.

где α – расстояние от центра где тяжести арматуры до крайнего слоя (принимается 4 см).

В соответствии с приведенной расчетной схемой, усилия, возникающие при транспортировке, определяются следующим образом:

, где k = 1, 6 – коэффициент динамичности при транспортировке.

L=5300
l2 =3200
q1 =3, 6кН/м
l1 =1050
l1 =1050
γ = 25 кН/см2 – удельный вес бетона

кН/м

 

M0 =4, 6кНм
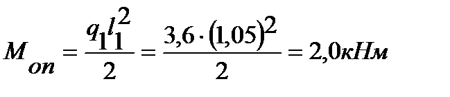
Mоп=2, 0кНм
Mоп=2, 0кНм
Mпр=2, 6кНм

 

 

 


 

Лист
Изм.
Лист
№ док.
Подпись
Дата
Кол. уч.
КР.270802 СМ-11-12.07.14  
 
Расчет колонны на усилие, возникающее при подъеме и монтаже

, где k = 1, 4 коэффициент динамичности при подъеме и монтаже

γ = 25 кН/см3 – удельный вес бетона

кН/м

q2=3, 15 кН/м
 
 
М0=7, 11 кНм
Mоп=1, 74 кНм
Мпр=6, 24 кНм
Вычерчиваем расчетную схему:

 

 

Пролетный момент можно определить по формуле:

МПР = МОБ – 0, 5 · МОП = 7, 11 – 0, 5 · 1, 74 = 6, 24 < 31, 4 кНм

Вывод: прочность при подъеме и монтаже обеспечена. Следовательно, принимаем колонну 1 КНД 3. 33 – 2.

(колонна на один этаж, нижняя, двух консольная, сечением 300× 300мм с высотой этажа Нэт =3, 3м c несущей способностью 2)

 


Лист
Изм.
Лист
№ док.
Подпись
Дата
Кол. уч.
КР.270802. СМ-11-12. 07.14  
 
САПР СК (система автоматизированного проектирования строительных конструкций)

Расчет стальной балки

 

Исходные данные: Сталь С275; Ry=270мПа=27кН/см2

L1=5м - пролет балки междуэтажного перекрытия;

L2=5м - шаг балок;

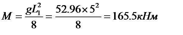
М=165.5кНм=16550 кНсм - максимальный изгибающий момент

1. Определяем расчетные характеристики. Назначаем расчетную схему.

 

Расчетная схема Схема рабочей площадки

 

 

q=55, 5кН/м
L1=5м
Эп. М
Эп. Q
3000
3000
Агр.=6∙ 1=6м2
L2=6м
Балка
L2=6м

 


Сталь А 400 Ry=355мПа=35, 5кН/см2; gс=0.8.

Здание 2 уровня ответственности; Коэффициент по назначению gn=0.95

2. Определяем нагрузки на 1 п.м. балки

Нагрузки на 1м2 перекрытия приняты по табл. №2

Р=9, 74кН/м2 – расчетная нагрузка

Рn=8, 4кН/м2 – нормативная нагрузка

L0 =L1=600см – пролет балки.

L2=600см – шаг балок

Нагрузки на 1п. мбалки приняты по табл. №4

Расчетная равномерно распределенная нагрузка на 1 п.м. балки

q= Р L2gn=9, 74´ 6´ 0.95= 58, 44´ 0.95=55, 52кН/м

Нормативная равномерно распределенная нагрузка на 1 п.м. балки

qn= РnL2gn=8, 4´ 6´ 0.95= 50, 4´ 0.95=47, 88кН/м

Собственный вес балок ориентировочно принимают qn соб.=0, 50 кН/м;

qnngn=0, 5´ 0, 95 = 0, 47 кН/м;

Коэффициент надежности по нагрузке gf= 1, 05

qсоб.= qn соб.gfgn=0, 50 ´ 1, 05 ´ 0.95 = 0.50кН/м

q= 55, 52 +0.50 = 56, 02кН/м. qn= 47, 88 +0, 50 =48, 381 кН/м =0, 48кН/см

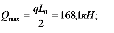
Максимальный изгибающий момент с учетом собственного веса балки


 

Лист
Изм.
Лист
№ док.
Подпись
Дата
Кол. уч.
КР.270802 СМ-11-12.07.14  
 
3.Определяем номер двутавра и требуемый момент сопротивления

 

По сортаменту . Принимаем № 45Wx=1231см3; Ix=27696см4

Определяем и проверяем несущую способность:

σ = ≤ 27*0, 8=20, 66кН/см2

Прочность можно не проверять, так как ослабления отсутствуют и Wn= WXТР

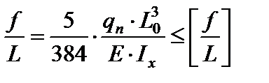
4. Проверяем жесткость балки по II группе предельных состояний:

- главная балка

Вывод: Жесткость балки обеспечена. Хотя имеется некоторый запас прочности, сечение не может быть уменьшено, так как балка имеет относительный прогиб близкий к предельному. Более экономичное сечение, но и более трудоемкое в изготовлении будет в виде сварного двутавра. Окончательно принимаем двутавр № 45 Проверки местной устойчивости стенки и полки балки не производим, так как балка запроектирована из прокатного двутавра.

 


 

Лист
Изм.
Лист
№ док.
Подпись
Дата
Кол. уч.
КР.270802 СМ-11-12.07-14  
 
Расчет железобетонной балки

Подбор оптимальных размеров балки “hxb” и требуемое количество продольной рабочей растянутой арматуры “As” для прямоугольных сечений с одиночной арматурой.

Исходные данные:

Класс бетона, класс арматуры и расчетный изгибающий момент

М (кНм) =249, 8 кН*см.

Требуется подобрать размеры сечения элемента “hxb”

и требуемое количество рабочей продольной арматуры “As”.

Решение.

1.Определяем исходные данные для расчета по таблицам СниП:

По таблице, принимая класс бетона В25 определяем расчетное сопротивление бетона с коэффициентом γ b2=0, 9

Rb=γ b2*Rb=0, 9*14, 5=13, 05мПа=1, 305 кН/см2 .

По таблице по классу арматуры определяем расчетное сопротивление.Rs =355мПа=355, 5 кН/см2.

Устанавливают граничные условия ξ Rи α R.ξ R=0, 650 и α R=0, 451.

Задаемся шириной сечения элемента “b” и ориентировочной величиной “ξ ”.

Принимаем “b”=20 см.

Величину “ξ ” для балок рекомендуется принимать в пределах: ξ =0, 3-0, 4

Принимаем ξ =0, 35

2.По принятому значению ξ, используя формулы или таблицы, определяемα м

α м=ξ (1-0, 5*ξ)=0, 35(1-0, 5*0, 35)=0, 289

3.Определяем требуемую рабочую высоту сечения h0

h01=√ М/Rbм=√ 249, 8/1, 305*20*0, 289=43, 41 см

4.Определяем полную высоту элемента h1 =h01+а=43, 41+4=47, 41 см

5.Унифицируем сечение h=60 см; b=20 см

Размеры сечения элемента hxb 50х20 см.


 

Лист
Изм.
Лист
№ док.
Подпись
Дата
Кол. уч.
КР.270802 СМ-11-12. 07.14  
 
Принятая высота сечения должна быть кратна: 50 мм для балок с высотой h≤ 600 мм, 100 мм при h> 600 мм.

Ширину балок назначают (0, 3…0, 5)h

Выводы и предложения:

7.Определяем параметр сечения α м

α м = =0, 305

8.По таблицам или формулам определяем ξ, ζ

ξ =1-√ 1-2α м =0, 376

Определяем случай расчета: ξ ≤ ξ R0, 38 ≤ 0, 650

α α R

9.ζ =1-0, 5 ξ =1-0, 5*0, 38=0, 812

10.Определяют требуемую площадь арматуры As

АS = =15, 5 см2

или

 

АS = =15, 5 см2

По найденному значению As по сортаменту подбираем требуемое количество стержней и размещаем их в сечении элемента.

Выводы по работе: Принимаем по сортаменту арматуру:

Рабочая арматура по расчету: 2Ø 32 А 400 с As=16, 08 см2

Поперечную и верхнюю сжатую арматуру принимаем конструктивно

dsw=1/4 ds=2 Ø 8 A 240 сAsw=1, 01 см2 ;

ds= dsw+(2-4 мм)=6+2=8 мм; 2 Ø 8 А 240 с As=1, 57 см2

Конструируют поперечное сечение балки.


 

Лист
Изм.
Лист
№ док.
Подпись
Дата
Кол. уч.
КР.270802 СМ-11-12. 07.14  
 
Расчет фундамента стаканного типа под колонну среднего ряда.

1. Определение глубины заложения подошвы фундамента под колонны крайних рядов.

1 Определяем нормативную глубину сезонного промерзания грунта по формуле 2

СНиП 2.02.01 - 83* «Основания зданий и сооружений»

где Mt - безразмерный коэффициент, числено равный сумме абсолютных значений среднемесячных отрицательных температур за зиму, принимается по

СНиП 23.01- 99 «Строительная климатология» г. Демидов

Mt = 9, 4+8, 4+4+1, 0+5, 8 = 28, 6

d0 - величина принимаемая равной для суглинок - 0, 23м

тогда:

1.2 Расчетная глубина сезонного промерзания грунта df определяется по формуле 3: df = kh · dfn

kh - коэффициент, учитывающий влияние теплового режима сооружения, принимаемый для отапливаемых зданий по таблице 1 СНиП 2.02.01 - 83*.:

kh = 0, 6

df = 0, 6 × 1, 23 = 0, 738 м

2. Расчет фундамента под колонну среднего ряда.

Глубина заложения внутренних фундаментов отапливаемых зданий назначается независимо от расчетной глубины сезонного промерзания грунтов.

Грунт суглинок: IL = 0, 55; e = 0, 65

Нагрузки на фундамент приняты из таблицы сбора нагрузок на фундамент.

Nn = 899, 6 × 0.95=854, 62 кН - нормативная нагрузка

Nsеr=Nn gf=1052 кН–расчетная нагрузка для расчета по второй группе предельных состояний

N = 1052× 0.95=995, 3 кН кН - полная расчетная нагрузка

2.1 Определяем размеры подошвы фундамента.

Предварительно принимаем минимальный по высоте фундамент - 0, 9 м, тогда глубина заложения подошвы фундамента:

Nsеr = 876, 8 кН
0.000
-1.400
-0.500

d1 = 1, 4 м

 

 


 

Лист
Изм.
Лист
№ док.
Подпись
Дата
Кол. уч.
КР.270802 СМ-11-12. 07.14  
 


По таблице предварительно находим расчетное сопротивление грунта:

R0 = 200 – 250 – 300 кПа

Принимаем = 250 кН / м2

Требуемая площадь подошвы фундамента:

gср = 22 кН/м3 - усредненный удельный вес материала фундамента и грунта на его уступах.

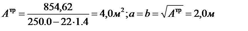
Площадь подошвы квадратного в плане фундамента с размерами сторон:

принимаем a ´ b =2, 1´ 2, 1 м =4, 41 м2

 

2.2 Определяем фактическое расчетное сопротивление грунта:

по СНиП 2.02.01 – 83* находим:

Сn = 19 кПа = 19 кН / м2

jn = 17 0

по формуле 7 СНиП 2.02.01 - 83*:

где: gc1; gc2 - коэффициенты условий работы, принимаемые по таблице:

gc1 = 1, 1; gc2 = 1, 0

k = 1, 1 так как прочностные характеристики грунта jII и cII приняты по таблицам.

Mg, Mq, Mc - коэффициенты принимаемые по таблице 4

Mg = 0.39; Mq = 2.57; Mc = 5.15

kz = 1, так как b=1, 5 м < 10 м

gII = gII’ = 18 кН / м3

gII - усредненное расчетное значение удельного веса грунтов, залегающих ниже подошвы фундамента.

gII’ - то же, залегающих выше подошвы фундамента.

cII(cn) - расчетное значение удельного сцепления грунта, залегающего непосредственно под подошвой фундамента.

d1 - глубина заложения подошвы фундаментов

2.3 Так как R = 173, 0 кН/м2 не значительно отличается от принятого в первом расчете

R= 178кН/м2, то уточняем расчет:

Принимаем окончательно фундамент с размерами подошвы

А= ´ = м2.


 

Лист
Изм.
Лист
№ док.
Подпись
Дата
Кол. уч.
КР.270802 СМ-11-12. 07.14  
 
2.4 Определяем вес фундамента и грунта на обрезах.

N(ф+гр) ser = A´ d1´ gср = ´ 1, 4´ 22 = кН

Проверяем среднее давление на грунт под подошвой фундамента:

Следовательно, размеры подошвы фундамента достаточны.

 

4. Расчет тела фундамента.

3.1 Материал фундамента:

Бетон класса В-25;

Rb = 14, 5МПа = 1, 45 кН / см2

Rbt = 1, 05 МПа = 0, 105 кН / см2; таблица 13 СНиП 2.03.01 - 84*

Арматура класса A-400

Rs = 355МПа; таблица 22 СНиП

3.2 Определяем напряжение под подошвой фундамента от расчетных нагрузок с учетом веса фундамента и грунта на его уступах:

Nф+гр = Nф+гр 0II´ gf = ´ 1, 1 = кН

Полная минимальная высота фундамента: hf, min = h0 + aз

где: h0 рабочая высота сечения.

hк; bк - размеры поперечного сечения колонны

aз = 4 см - толщина защитного слоя бетона

Rbt = 0, 105 кН / см2 = 1050 кН / м2

Высота фундамента с учетом конструктивных требований из условия заделки колонны:

h = 2, 5 hk + 0, 65 = 2, 5´ 0, 3 + 0, 65 = 1, 4 м; h ³ hq + 20 = 53 + 20 = 73 см

где: hq = 30d1 + d = 30´ 1, 6 + 5 = 53 см

d1 = 16 мм - диаметр продольных стержней колонны.

d = 50 мм - зазор между торцом колонны и дном стакана.

Принимаем толщину стенок стакана поверху 225 мм и зазор 75 мм

Размеры подколонника в плане:

h0
h0
 
hk=bk=300мм
a1=900
a=b=1500
a1 =hk+hс+2´ 75=300+450+150=900 мм

 

Принимаем высоту фундамента: h=900 мм

Высота нижней ступени 300 мм

h0 = 90 - 4 = 86 см

h01 = 30 - 4 = 26 см

 


 

Лист
Изм.
Лист
№ док.
Подпись
Дата
Кол. уч.
КР.270802 СМ-11-12. 07.14  
 
3.3 Определяем поперечную силу у грани колонны и у грани башмака:

Расчет на действие поперечной силы не производят если выполняется условия:

QI £ jb3 · Rbt · b · h0

QII £ jb3 · Rbt · b · h0

где: jb3 = 0, 6- коэффициент, принимаемый для тяжелого и ячеистого бетонов.

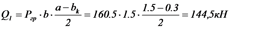
QI < 0, 6· 750 · 1, 5 · 0, 86 = 580, 5 кН QI=144, 5 < 580, 5 кН

QII < 0, 6 · 750 · 1, 5 · 0, 26 = 175, 5 кН QII=72, 2 < 175, 5 кН

Условия выполняются, прочность на действие поперечной силы обеспечивается.

 

3.4 Прочность фундамента на продавливание по поверхности пирамиды, ограниченной плоскостями, проведенными под углом 45° к боковым граням колонны проверяют по формуле:

F £ jb · Rbt · um · h0

где: F- расчетная продавливающая сила

jb = 1- коэффициент, принимаемый для тяжелого бетона

um- среднее арифметическое между периметрами верхнего и нижнего основания пирамиды продавливания в пределах полезной высоты фундамента h0

Для фундаментов с квадратной подошвой:

um = 2 × (b1 + a1 + 2h01) = 2 × (0, 9+0.9+2·0, 26) = 4, 64 м

F = Nр - Pгр·Aос

где: Aос = (a1 + 2h0 ) · (b1 + 2h0) - площадь основания пирамиды продавливания

Nр = N+ Nф+г = 285.0 + 76, 2 = 361.5 кН

Aос = (0, 9+2·0, 26) · (0, 9+2·0, 26) = 2, 016 м2

F = 361.5 – 160.5 · 2, 016= 37.9кН; F =< 0< 1·750·4, 64·0, 26 = 904, 8 кН

Вывод: прочность фундамента на продавливание обеспечена.


5. Расчет арматуры фундамента

Лист
Изм.
Лист
№ док.
Подпись
Дата
Кол. уч.
КР.270802 СМ-11-12. 07.14  
 


4.1 Определяем изгибающие моменты у грани колонны и у грани башмака.

MI = 0, 125 · Pгр (a - hk)2 · b = 0, 125 · 160.5 · (1, 5-0, 3)2 · 1, 5 = 43, 34 кНм

MII = 0, 125 · Pгр · (a - a1)2 · b = 0, 125 · 160.5 · (1, 5-0, 9)2 · 1, 5 = 10, 8 кНм

4.2 Площадь сечения арматуры в разных сечениях фундамента в одном направлении:

Процент армирования в расчетном сечении фундамента должен быть не ниже минимально допустимого процента армирования в изгибаемых элементах mmin = 0, 05 %;

As = 0, 0005 · 150 · 86 = 6, 45 см2.

Принимаем в подошве фундамента сетку С-1 из арматуры класса А-III (А400)

~8Æ 12 А-III c площадью As = 9, 05см2 и шагом рабочей арматуры S=200мм

Для усиления стенок стакана фундамента конструктивно принимаем сетки С-2 из арматуры

Æ 8А-III с шагом по высоте 150мм.

Для поддержания горизонтальных сеток С-2 приняты вертикальные стержни 8Æ 8А-I.

5.Армирование подошвы фундамента

 

Сетка подошвы фундамента С-1

 
Шаг 200
 
 
Шаг 200
Æ 12 A-III
Æ 12 A-III
 
 
 
 
 

 

 


 


Лист
Изм.
Лист
№ док.
Подпись
Дата
Кол. уч.
КР.270802 СМ-11-12. 07.14  
 
6. Расчет подъемной петли.

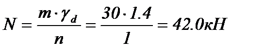
Согласно строительного каталога фундамент 1 j 15.9 массой 3, 0 т имеет 2 петли.

Учитывая перекос строп при монтаже в расчете принимаем на 1 петлю меньше: n = 1

Коэффициент динамичности при монтаже gd = 1, 4.

Нагрузка на 1 петлю:

Площадь одной петли из арматуры класса A-I с Rs = 225МПа

As = N / Rs =42, 0 / 22, 5 = 1, 87 см2

Петлю принимаем из мягкой стали класса А240 (A-I), Rs=225МПа = 22, 5 кН/см2

Принимаем петлю П1: ~ Æ 18 A-I c площадью As = 2, 54 см2

3.1 Расчет железобетонной колонны среднего ряда

Расчет колонны производят с учетом требований строительных норм и правил

СНиП 2.01.-7 – 85* «Нагрузки и воздействия»

СНиП 52 – 01 – 2003 «Железобетонные конструкции» Основные положения

СНиП 2.03.01 – 84* «Железобетонные конструкции»

Исходные данные:

НЭТ = 3, 3м – высота этажа, количество этажей – n =2эт

h b = 30 30(см) сечение колонны

Здание относится ко 2–му уровню ответственности gn = 0, 95

gnN = 0.95 ´ 300, 0= 285, 0кН – полная расчетная нагрузка на колонну

gnNL = 0.95 ´ 267, 1=253, 7кН – расчетная длительная нагрузка на колонну

gnNn = 0.95 ´ 248, 4=236, 0кН – нормативная полная нагрузка на колонну

Материалы

Бетон тяжелый класса В25

Стержневая арматура из стали класса А-ІІІ (А400), поперечная и сетки класса А-І (А240)

Коэффициент γ b2 = 0, 9 СНиП 52 – 01 – 2003

Расчетные данные:

Rb = 14, 5 МПа = 1, 45кН/см2; Rb = 1, 45 0, 9 = 1, 305кН/см2

RS = 355 МПа = 35, 5кН/см2; RS, С = 355 МПа = 35, 5кН/см2


Поделиться с друзьями:

mylektsii.su - Мои Лекции - 2015-2026 год. (1.342 сек.)Все материалы представленные на сайте исключительно с целью ознакомления читателями и не преследуют коммерческих целей или нарушение авторских прав Пожаловаться на материал