Студопедия

Главная страница Случайная страница

КАТЕГОРИИ:

АвтомобилиАстрономияБиологияГеографияДом и садДругие языкиДругоеИнформатикаИсторияКультураЛитератураЛогикаМатематикаМедицинаМеталлургияМеханикаОбразованиеОхрана трудаПедагогикаПолитикаПравоПсихологияРелигияРиторикаСоциологияСпортСтроительствоТехнологияТуризмФизикаФилософияФинансыХимияЧерчениеЭкологияЭкономикаЭлектроника






Расчет колонны на усилие, возникающее при транспортировке






Колонну перевозят плашмя, поэтому в расчет принимаем 2 стержня.

4Æ 16 А400 (АІІІ) с AS=8, 04см2, Rsc=355мПа=35, 5кН/см2

, где k = 1, 6 – коэффициент динамичности при транспортировке.

γ = 25кН/см2 – удельный вес железобетона;

ho = 30 − 4 = 26см – рабочая высота колонны при работе на изгиб.

Несущая способность сечения определяется как для балки с двойной симметричной арматурой:

,

где: – расстояние от центра тяжести арматуры до крайнего слоя (принимается 4см).

Nпокр.
 
b =300
As
As
Ab
1 – 1
N=850, 0кН
Расчетная схема Конструктивная схема колонны

 


В соответствии с приведенной расчетной схемой, усилия, возникающие при транспортировке, определяется следующим образом:

Лист
Изм.
Лист
№ док.
Подпись
Дата
Кол. уч.
КР.270802 СМ-11-12. 07.14  
 
кН/м

Моменты на опорах:

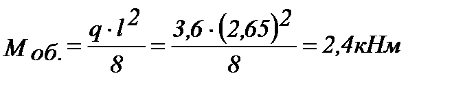
Общий момент:

Пролетный момент:


Поделиться с друзьями:

mylektsii.su - Мои Лекции - 2015-2026 год. (1.323 сек.)Все материалы представленные на сайте исключительно с целью ознакомления читателями и не преследуют коммерческих целей или нарушение авторских прав Пожаловаться на материал