Студопедия

Главная страница Случайная страница

КАТЕГОРИИ:

АвтомобилиАстрономияБиологияГеографияДом и садДругие языкиДругоеИнформатикаИсторияКультураЛитератураЛогикаМатематикаМедицинаМеталлургияМеханикаОбразованиеОхрана трудаПедагогикаПолитикаПравоПсихологияРелигияРиторикаСоциологияСпортСтроительствоТехнологияТуризмФизикаФилософияФинансыХимияЧерчениеЭкологияЭкономикаЭлектроника






Вимоги до оформлення курсової роботи






Методичні вказівки

для виконання курсової роботи

«Оцінювання стану фінансів підприємств»

студентів очної та заочної форм навчання

освітньо-кваліфікаційного рівня бакалавр

напряму підготовки 6.030508 “Фінанси і кредит”

 

 

Затверджено

на засіданні кафедри фінансів

Протокол № ___ від _____ 2015 р.

 

Львів-2015


Рекомендовано до друку Науково-методичною радою Навчально-наукового інституту підприємництва та перспективних технологій Національного університету «Львівська політехніка». Протокол № від 2015р.

 

Методичні вказівки для виконання курсової роботи «Оцінювання стану фінансів підприємств» студентів очної та заочної форм навчання освітньо-кваліфікаційного рівня бакалавр напряму підготовки 6.030508 “Фінанси і кредит”/ Укл.: ст. викл. Турко В. В., Фаринович І., Шкільна В. – Львів: Видавництво Національного університету “Львівська політехніка”, 2015. - 24 с.

   
   

 

 

Відповідальний за випуск:


ВСТУП

 

Курсовий проект є підсумковим етапом вивчення студентами циклу економічних дисциплін “Фінанси”, “Фінанси підприємств”, “Фінансовий аналіз” та виступає ефективною формою перевірки теоретичних знань і практичних навичок, отриманих ними в процесі аудиторної, самостійної та індивідуальної роботи.

Знання основних категорій, закономірностей функціонування, інструментарію оцінювання стану фінансів підприємств є запорукою ефективної роботи майбутнього економіста – фінансиста, а правильно проведений аналіз фінансів підприємства, та окремих характеристик його фінансового стану – це основа для прийняття правильних управлінських рішень, забезпечення ефективної діяльності та сталого розвитку підприємства. Тому головною метою курсової роботи є глибокий всесторонній аналіз фінансів підприємства та формулювання лаконічних та вичерпних висновків.

Виконання курсової роботи дає можливість студенту навчитися самостійно працювати з довідковою літературою, статистичними даними та іншими інформаційними джерелами; глибше вивчити особливості функціонування підприємства та його окремих ланок; набути навичок аналізу відкритої фінансової інформації про підприємство, проведення критичного аналізу, формулювання висновків.

У процесі виконання курсової роботи студенти розвивають та вдосконалюють такі навички та вміння:

- пошук інформації про підприємство, та його фінансові показники;

- опрацювання даних про фінанси підприємства;

- комплексний аналіз фінансів підприємства;

- послідовне, логічне та лаконічне викладення своїх пропозицій та рекомендацій.

Метою даних рекомендацій є надання необхідної методичної допомоги студентам в підготовці, оформленні та захисті курсової роботи. В основу покладено вимоги нормативних документів щодо структури, змісту та оформлення курсової роботи, а також використано рекомендації, що містяться в різних довідкових джерелах.

 


1. ЗАГАЛЬНІ ПОЛОЖЕННЯ

 

Підприємство - це первинна ланка суспільного виробництва, яка забезпечує виготовлення певних товарів чи надання послуг і здійснює процес відтворення на основі самоокупності й самостійності.

Фінанси підприємств забезпечують діяльність сфери суспільного виробництва, яке створює матеріальні блага та послуги, формує валовий внутрішній продукт і національний дохід суспільства, а також, завдяки оподаткуванню, формує основну частину фінансових ресурсів держави.

Фінанси підприємств перебувають у тісному взаємозв'язку з фінансами національної економічної системи. Разом з тим фінанси підприємств характеризуються певними особливостями та специфікою, які необхідно враховувати під час здійснення структурних перетворень в Україні.

Фінансовий аналіз - це процес дослідження фінансового стану й основних результатів фінансової діяльності підприємства з метою виявлення резервів подальшого зростання фінансових результатів, підвищення його ринкової вартості й забезпечення ефективного розвитку.

Основною метою фінансового аналізу є одержання невеликого числа ключових параметрів, що дають об'єктивну і точну картину фінансового стану підприємства і фінансових результатів його діяльності.

Мета аналізу досягається в результаті вирішення визначеного взаємозалежного набору аналітичних задач. Щоб приймати рішення по керуванню в області виробництва, фінансів, інвестицій менеджменту підприємства потрібна постійна ділова поінформованість з відповідних питань, що є результатом добору, аналізу, оцінки і концентрації вихідної інформації. Необхідно аналітичне прочитання вихідних даних, виходячи з цілей аналізу і управління.

 

 

2. СТРУКТУРА КУРСОВОЇ РОБОТИ

(обсяг 30-35 сторінок друкованого тексту)

 

Титульний аркуш (взірець див. Додаток А)

Зміст

Вступ (до 2-х сторінок)

Розділ 1. Загальна інформація про підприємство (до 5 стор.)

Розділ 2. Розрахункова частина (до 20 стор.)

Розділ 3. Аналітично-дослідницька частина (до 5 стор.)

Висновки та рекомендації (до 2-х сторінок)

Список використаних джерел (не менше 10-ти джерел)

 


3. ВИМОГИ ДО СКЛАДОВИХ ЧАСТИН КУРСОВОЇ РОБОТИ

 

3.1. Зміст

У змісті роботи перераховуються всі рубрики курсової роботи – вступ, заголовки всіх розділів і підрозділів, висновки і пропозиції, список використаної літератури і додатки в тій послідовності, як вони розміщені в курсовому проекті із зазначенням сторінок, на яких вони розміщені. Якщо заголовки написані в два і більше рядків, то номер сторінки вказується на рівні останнього рядка.

3.2. Вступ

У вступі вказується мета та обґрунтовується актуальність теми, характеризується об’єкт дослідження, інформаційна база і методи економічних досліджень. Подається короткий зміст роботи.

3.3. Загальна інформація про підприємство

Наводиться загальна інформація про підприємство (офіційна назва, організаційно-правова форма, вид діяльності). Розкривається інформація про галузь економіки, в якій працює підприємство, наводиться його основних конкурентів.

Також, по можливості, наводиться інформація про історію розвитку підприємства. Наводиться характеристика основних видів продукції, яку виготовляє підприємство, описуються його ринки збуту. Описуються основні покупці та постачальники підприємства, та характер фінансових відносин підприємства з ними. Наводяться основні фінансові установи (банки, страхові компанії) з якими співпрацює підприємство.

Розкривається структура власності підприємства, його належність до певних фінансово-промислових груп (з описом інших структур, які в них входять) та, по можливості його кінцеві власники.

Для написання даного розділу варто звернути увагу на інформацію, яка знаходиться на сайті smida.gov.ua []. Зокрема «Основні відомості про емітента», «Опис бізнесу», «Інформація про власників 10 та більше % акцій підприємства», «Інформація про обсяги виробництва та реалізації основних видів продукції», та ін. Крім того варто звернути увагу, що знаходиться на сайті підприємства, публікації про підприємство в Інтернеті та ін.

3.4 Розрахункова частина

В даному розділі, відповідно до варіанту проводиться аналіз фінансового стану підприємства протягом останніх трьох років. Для аналізу необхідні статистичні форми звітності «Баланс» (форма №1), «Звіт про фінансові результати» (форма №2), «Звіт про рух грошових коштів» (форма №3) та дані про ринкову ціну акцій підприємства за останніх три роки (2011р., 2012р. та 2013р.), відповідно усі показники в даному розділі розраховуються за три роки [1], [2]. Фінансова звітність наводиться в додатках.

При цьому фінансову звітність найпростіше знайти на smida.gov.ua [] Зареєструватись на сайті можна самостійно або ввійти під логіном dani_kr пароль danidljakr. Далі для пошуку необхідно перейти на вкладку «Бази даних» далі «Емітенти» і у формах пошуку ввести «Код ЄДРПОУ, назву або частину назви»).

Дані про ринкову вартість цінних паперів (акцій) підприємства знаходяться на сайті https://investfunds.ua/markets/stocks/ []. На даному сайті дуже зручно переглядати котирування акцій підприємств на різних біржах. Бажано користуватися даними Української біржі.

Представлення показників в даному розділі може супроводжуватися аналізом та змістовними коментарями.

Саму розрахункову частину рекомендується виконувати за наступними пунктами:

3.4.1 Розрахунок динаміки показників фінансової звітності підприємства

Розраховуються показники динаміки (показники для горизонтального аналізу) (ланцюгові для непарних варіантів і базисні для парних варіантів) усієї фінансової звітності і даних про ринкову вартість акцій. Вхідні дані і результати розрахунку оформляється у вигляді табл. 3.1.

Таблиця 3.1

Динаміка показників ____ (відповідно Балансу чи Звіту про фінансові результати) за 2011-2013рр.

Показники Значення, тис. грн. Ланцюговий (базисний) ріст, тис. грн. Ланцюговий (базисний) темп росту, % Ланцюговий (базисний) темп приросту, %
2011р 2012р 2013р 2012р 2013р 2012р 2013р 2012р 2013р
1                  
Показник 1                  
Показник 2                  
                 

 

Ланцюгова зміна (ріст, зменшення) (абсолютне відхилення) показника розраховується за наступною формулою:

(3.1)

де і – номер поточного періоду.

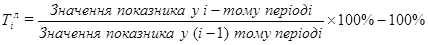
Ланцюговий ріст показує на скільки змінюється (зростає/спадає) показник в порівнянні з попереднім роком.

Ланцюговий темп росту (спадання, зміни) показника (%):

(3.2)

Ланцюговий темп росту показує скільки відсотків становить показник в порівнянні з попереднім роком.

Ланцюговий темп приросту (відносне відхилення) показника (%) розраховується за наступною формулою:

(3.3)

Ланцюговий темп приросту (відносне відхилення) показує на скільки відсотків змінюється (зростає/спадає) показник в порівнянні з попереднім роком.

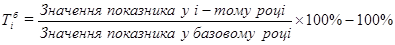
Базисна зміна (ріст, зменшення) показника розраховується:

(3.4)

Базисний ріст показує на скільки змінюється (зростає/спадає) показник в порівнянні з базисним роком.

Базисний темп росту (спадання, зміни) показника (%) розраховується за наступною формулою:

(3.5)

Базисний темп росту показує скільки відсотків становить показник в порівнянні з базисним роком.

Базисний темп приросту (спадання) показника (%) розраховується за наступною формулою:

(3.6)

Базисний темп приросту (спадання) показує на скільки відсотків змінюється (зростає/спадає) показник в порівнянні з базовим роком.

3.4.2 Розрахунок показників, що характеризують структуру фінансової звітності

Розраховуються показники структури (показники для вертикального аналізу) Балансу та Елементів операційних витрат (3-й розділ Звіту про фінансові результати), та розраховується їх зміна (ланцюгова для непарних варіантів і базисна для парних варіантів), результат оформляється у вигляді табл. 3.2. Табл. 3.2 та 3.1 доцільно об’єднати в одну таблицю.

Таблиця 3.2

Структура показників ____ (відповідно Балансу чи Елементів операційних витрат) за 2011-2013 рр.

Показники Значення, тис. грн. Структура, % Зміни в структурі, п.п.
2011р 2012р 2013р 2011р 2012р 2013р 2012р 2013р
Показник 1                
Показник 2                
               

 

3.4.3. Розраховуються показники прибутковості підприємства: Cash-flow, нетто Cash-flow, та показники рентабельності.

3.4.4. Розраховуються показники, що характеризують стан використання майна підприємства.

3.4.5. Розрахунок показників ділової активності підприємства (відповідно до конспекту).

3.4.6. Розрахунок абсолютних та відносних показників фінансової стійкості.

3.4.7. Розрахунок абсолютних та відносних показників ліквідності (відповідно до конспекту).

3.4.8. Розрахунок показників які характеризують вартість підприємства.

3.4.9. Інтегральна оцінка інвестиційної привабливості та кредитоспроможності підприємства. Оцінка ймовірності банкрутства підприємства. В даному пункті достатньо використати лише одну модель інтегральної оцінки.

Розрахунок показників (пункти 3.4.3-3.4.9) проводиться за три роки. При цьому наводяться формули для розрахунку (в тому числі з номерами рядків фінансової звітності), та напрямки позитивних змін для даного показника. Сам розрахунок наводити не обов’язково. Результати розрахунку оформляються у вигляді табл. Б.1. (додаток Б).

3.4.10. Порівняльний аналіз показників діяльності підприємства з аналогічними показниками інших підприємств цієї ж галузі (не менше 2х підприємств). При цьому аналізують не менше 10 показників - це можуть бути як абсолютні так і відносні показники. При чому з них не менше 2-х показників ринкової вартості підприємства (мультиплікаторів). Усі ці показники відображаються в окремій таблиці.

При виконанні цього пункту рекомендується обмінюватися показниками з іншими студентами в яких, відповідно до варіанту, підприємства цієї ж галузі. Галузеву приналежність підприємств можна визначити за кодом КВЕД та видом економічної діяльності, які вказані у заголовку фінансових звітів. Також, для швидшого знаходження підприємств які належать до певної галузі, можна подивитись інформацію на сайті Української біржі [] або ПФТС [], де у біржовому списку вказується галузева приналежність підприємства. Також, можна скористатися загальними галузевими показниками, з сайту Державного комітету статистики [], або з статистичних щорічників.

3.5 Аналітично-дослідницька частина

Даний розділ є основним у курсовій роботі, адже саме в ньому розкривається вміння студента аналізувати отриману інформацію, робити короткі та лаконічні висновки, правильно робити наголоси на окремих показниках та особливостях фінансового стану підприємства, відкидати несуттєву інформацію, та інформацію що повторюється.

В даному розділі використовуються показники наведені у двох попередніх розділах. В ньому потрібно представити лаконічний аналітичний звіт про стан фінансів підприємства, який надавав би вичерпну інформацію. Даний розділ – це свого роду презентація про стан фінансів підприємства.

В даному розділі потрібно:

- навести основні показники, що характеризують стан фінансів підприємства як в табличному, так і графічному вигляді (не менше 3-х графічних представлень – графіків, діаграм, гістограм і т.п.);

- провести аналіз стану фінансів підприємства, в першу чергу розрахованих показників;

- навести висновки та рекомендації щодо стану фінансів підприємства та можливих напрямів їх подальшої зміни.

При аналізі необхідно виділити як основні тенденції показників фінансового стану, так і наголосити на особливостях в показниках фінансового стану чи їх зміні. Аналіз повинен бути стислим, проте максимально і доступно розкривати фінансовий стан підприємства та перспективи його подальшої діяльності, в тому числі в порівнянні з конкурентами.

3.6 Висновки

Висновки та пропозиції викладаються у курсовому проекті на базі результатів, отриманих при виконанні основної частини. Вони містять у собі коротку характеристику основних показників стану фінансів підприємства, результати досліджень, оцінку економічної ефективності, характеристику ступеня досягнення мети, поставленої у курсовому проекті. Висновки і пропозиції повинні бути логічним завершенням досліджуваних питань, відображати суть курсової роботи, бути короткими і конкретними, мати практичне значення. В них у лаконічній формі оцінюються результати проведення дослідження, вказуються рекомендації.

3.7 Список використаних джерел

Загальна кількість опрацьованих літературних джерел повинна сягати не менше 10-ти джерел, та включати як джерела з яких одержано інформацію про підприємство, так і джерела, використані для обробки та аналізу фінансової інформації. Обов’язково повинні бути включені нормативно-правові акти (до 5 джерел), навчальна література (підручники та посібники) (не менше 2-х), монографічна література (не менше 2-х) та періодичні видання (не менше 5-ти). Дозволяється використання Інтернет-ресурсів.

 

 

Вимоги до оформлення курсової роботи

 

4.1. Загальні вимоги

Курсовий проект виконується за допомогою комп'ютера: текстовий редактор Word; шрифт 14 пунктів; полуторний інтервал; на одній стороні аркуша білого паперу формату А4 (210ґ297 мм) до тридцяти рядків. На кожному аркуші повинні бути береги таких розмірів: ліворуч – 25 мм, зверху та знизу – 20 мм, праворуч – 15 мм. Шрифт друку повинен бути чітким, чорного кольору. Щільність тексту має бути однаковою.

Помилки чи графічні неточності, які виявилися в процесі оформлення роботи, можна виправляти охайним підчищенням чи за допомогою коректора і нанесенням на тому ж місці або між рядками виправленого тексту розбірливим друкованим шрифтом (фрагменту рисунка).

Заголовки структурних розділів курсової роботи " ЗМІСТ", " ВСТУП", " РОЗДІЛ", " ВИСНОВКИ", " СПИСОК ВИКОРИСТАНИХ ДЖЕРЕЛ" набираються великими літерами симетрично до тексту.

Текст основної частини курсової роботи поділяють на розділи, підрозділи. Заголовки підрозділів набирають маленькими літерами (крім першої великої) з абзацного відступу. Крапку в кінці заголовка не ставлять. Якщо заголовок складається з двох або більше речень, їх розділяють крапкою.

 

4.2. Нумерація

Нумерацію сторінок, розділів, підрозділів, пунктів, підпунктів, рисунків, таблиць, формул подають арабськими цифрами без знака №..

Нумерація має бути наскрізною, причому першою сторінкою курсової роботи є титульна сторінка. Номер сторінки ставиться з другої сторінки вступу у правому верхньому куті сторінки без будь-яких знаків (крапки у кінці, виділення рисками, дужками тощо). Рисунки і таблиці включаються у загальну нумерацію в межах розділу.

Номер розділу ставлять після слова " РОЗДІЛ", наприклад «РОЗДІЛ 2», після номера крапку не ставлять, потім з нового рядка набирають заголовок розділу. Підрозділи нумерують у межах кожного розділу. Номер підрозділу складається із номера розділу і порядкового номера підрозділу, між якими ставлять крапку. В кінці номера підрозділу повинна стояти крапка, наприклад: ''2.1.'' (перший підрозділ другого розділу). Потім у тому ж рядку йде заголовок підрозділу.

 

4.3. Оформлення ілюстраційного матеріалу

Ілюстрації (рисунки, схеми, графіки, діаграми тощо) необхідно подавати в курсовому проекті безпосередньо після тексту, де вони згадані вперше, або на наступній сторінці.

Ілюстрації позначають словом " Рис." і нумерують послідовно в межах розділу. Номер ілюстрації повинен складатися з номера розділу і порядкового номера ілюстрації, між якими ставиться крапка. Наприклад: Рис. 1.2 (другий рисунок першого розділу). Номер ілюстрації, її назва і пояснювальні підписи розміщують послідовно під ілюстрацією.

Ілюстрації необхідно розташувати на сторінці у зручній для ознайомлення формі, тобто, щоб для вивчення рисунку чи таблиці сторінку можна було б повернути за годинниковою стрілкою.

 

4.4. Оформлення формул

Формули в проекті нумерують у межах розділу. Номер формули складається з номера розділу і порядкового номера формули в розділі, між якими ставиться крапка. Номер формули пишеться арабськими цифрами біля правої сторони аркуша на рівні відповідної формули в круглих дужках без крапок від формули до її номера, наприклад: (2.1) (перша формула другого розділу). Пояснення значень символів і числових коефіцієнтів наводиться безпосередньо під формулою у тій послідовності, в якій вони подані у формулі. Це пояснення подається з нового рядка, починаючи зі слова " де", двокрапка після якого не ставиться. Значення кожного символу чи числового коефіцієнта подається з нового рядка. При посиланні у тексті на формулу, необхідно подати її повний номер у дужках, наприклад «У формулі (2.4)...».

 

4.5. Оформлення таблиць

Цифровий матеріал, як правило, повинен оформлятися у вигляді таблиць.

Приклад побудови таблиці

Таблиця (номер)

Назва таблиці

Головка       Заголовки граф
              Підзаголовки граф
Рядки              
               
  Боковик (заголовки рядків) Графи (колонки)

 

Таблиці у проекті нумерують послідовно в межах розділу. В правому верхньому куті над відповідним заголовком таблиці розміщують напис " Таблиця" із зазначенням її номера. Номер таблиці повинен складатися з номера розділу і порядкового номера таблиці, між якими ставиться крапка, наприклад: " Таблиця 1.2'' (друга таблиця першого розділу). При посиланні на таблицю вказують її повний номер, а слово «Таблиця» пишуть скорочено, наприклад «(табл. 1.2)». Під словом «Таблиця» розміщується заголовок таблиці симетрично до форми таблиці. Слово «Таблиця» і заголовок починаються з великої букви. Назва не підкреслюється.

При переносі частини таблиці на інший аркуш (сторінку) слово " Таблиця" і номер її вказують один раз справа над першою частиною таблиці, над іншими частинами пишуть слова " Продовження табл." і вказують номер таблиці, наприклад: " Продовження табл. 1.2".

 

4.6. Оформлення списку використаних джерел

Список використаних джерел слід розміщувати одним із таких способів: в порядку появи посилань в тексті (найбільш зручний для користування і рекомендований при написанні курсової роботи), або в абетковому порядку прізвищ перших авторів або заголовків (за винятком законодавчої та нормативної бази).

Інформація про видання (монографії, підручники, довідники тощо) має містити: прізвище та ініціали автора, назву книги, місце видання, видавництво і рік видання, обсяг у сторінках. Ці дані друкуються у виданнях.

 

 

5. ДЖЕРЕЛА ІНФОРМАЦІЇ ПРО ПІДПРИЄМСТВА

 

1. smida.gov.ua (Зареєструватись на сайті можна самостійно або ввійти під логіном dani_kr пароль danidljakr. Далі для пошуку необхідно перейти на вкладку «Бази даних» далі «Емітенти» і у формах пошуку ввести «Код ЄДРПОУ, назву або частину назви»).

2. https://investfunds.ua/markets/stocks/ Інформаційний портал про особисті інвестиції та фінанси. На даному сайті дуже зручно переглядати котирування акцій підприємств на різних біржах. Бажано користуватися даними Української біржі.

3. https://www.ux.ua/ ua Сайт Української біржі. На даний час інформація закрита. (На даному сайті міститься інформація про вартість акцій емітента: в меню зліва «Фондовий ринок» → «Цінні папери» → тоді в таблиці зверху «Акції» → вибираємо підприємство відповідно до варіанту, тиснемо на тікер (код латинськими буквами), почекати 15хв. для відображення результатів → в таблиці зверху «результати торгів» → вибрати ціну акцій найближчу до звітних дат (складання звітності)).

4. https://pfts.com/uk (На даному сайті міститься інформація про вартість акцій емітента. На вкладці «Біржовий список» потрібно подивитись «Тікер» який відповідає підприємству заданому в завданні, а потім на вкладці «Підсумки торгів» за тікером, знайти ринкову ціну акцій (прийняти що нею є ціна close). Якщо в останній день не відбувалось торгів з акціями підприємства заданого варіантом, тоді необхідно переглянути дані за попередні дні.)

5. stockmarket.gov.ua (Даний сайт вимагає реєстрації – зареєструватись можна самостійно або ввійти під логіном dani_kr пароль danidljakr. Далі для пошуку необхідно перейти на вкладку «Регулярна інформація» і у формах пошуку ввести «Ідентифікаційний код за ЄДРПОУ емітента»).

 


6. РОЗПОДІЛ ВАРІАНТІВ

Таблиця 6.1

Код (Тікер) Назва підприємства ЄДРПОУ Варіанти показників
  MSICH Мотор Січ, АТ   1, 3; 1, 7; 1, 9; 1, 1; 1, 4; 1.5; 2.1; 2, 3; 2, 4; 2, 5; 3.1; 3, 2; 3, 15; 3, 3; 3, 10; 3, 11; 3, 12; 4, 13; 4, 15; 4, 16; 4, 9; 4, 10; 5, 10; 5, 11; 5, 12; 6, 1; 6, 2; 6, 4; 6, 7; 6, 3
  LUAZ АК Богдан Моторс, АТ   1, 3; 1, 7; 1, 9; 1, 2; 1, 6; 1, 8; 2, 1; 2, 3; 2, 4; 2, 2; 3.1; 3, 2; 3, 15; 3, 5; 3, 6; 3, 7; 4, 13; 4, 15; 4, 11; 4, 12; 4, 8; 5, 10; 5, 11; 5, 12; 6, 1; 6, 2; 6, 4; 6, 7; 6, 8
  AZST МК Азовсталь, ПАТ   1, 3; 1, 7; 1, 9; 1, 10; 1, 11; 1, 12; 2.1; 2, 3; 2, 4; 2, 6; 3.1; 3, 2; 3, 15; 3, 4; 3, 8; 3, 9; 4, 13; 4, 15; 4, 14; 4, 17; 4, 9; 5, 10; 5, 11; 5, 12; 6, 1; 6, 2; 6, 4; 6, 7; 6, 9
  CGOK Центральний гiрничо-збагачувальний комбiнат ПАТ   1, 3; 1, 7; 1, 9; 1, 1; 1, 2; 1, 10; 2.1; 2, 3; 2, 4; 2, 5; 3.1; 3, 2; 3, 15; 3, 13; 3, 14; 4, 1-4, 6; 4, 13; 5, 1-5, 8; 5, 12; 6, 1; 6, 2; 6, 4; 6, 7; 6, 10
  KRAZ АвтоКрАЗ, ПАТ   1, 3; 1, 7; 1, 9; 1, 1; 1, 4; 1.5; 2.1; 2, 3; 2, 4; 2, 5; 3.1; 3, 2; 3, 15; 3, 3; 3, 10; 3, 11; 3, 12; 4, 13; 4, 15; 4, 16; 4, 9; 4, 10; 5, 10; 5, 11; 5, 12; 6, 1; 6, 2; 6, 4; 6, 7; 6, 11
  TATM Турбоатом, ВАТ   1, 3; 1, 7; 1, 9; 1, 2; 1, 6; 1, 8; 2, 1; 2, 3; 2, 4; 2, 2; 3.1; 3, 2; 3, 15; 3, 5; 3, 6; 3, 7; 4, 13; 4, 15; 4, 11; 4, 12; 4, 8; 5, 10; 5, 11; 5, 12; 6, 1; 6, 2; 6, 4; 6, 7; 6, 12
  HRTR Харцизький трубний завод, ПАТ   1, 3; 1, 7; 1, 9; 1, 10; 1, 11; 1, 12; 2.1; 2, 3; 2, 4; 2, 6; 3.1; 3, 2; 3, 15; 3, 4; 3, 8; 3, 9; 4, 13; 4, 15; 4, 14; 4, 17; 4, 9; 5, 10; 5, 11; 5, 12; 6, 1; 6, 2; 6, 4; 6, 7; 6, 13
  MMKI Маріупольський металургійний комбінат ім. Ілліча, ПАТ   1, 3; 1, 7; 1, 9; 1, 1; 1, 2; 1, 10; 2.1; 2, 3; 2, 4; 2, 5; 3.1; 3, 2; 3, 15; 3, 13; 3, 14; 4, 1-4, 6; 4, 13; 5, 1-5, 8; 5, 12; 6, 1; 6, 2; 6, 4; 6, 7; 6, 14
  SGOK Пiвнiчний гiрничо-збагачувальний комбiнат, ПАТ   1, 3; 1, 7; 1, 9; 1, 1; 1, 4; 1.5; 2.1; 2, 3; 2, 4; 2, 5; 3.1; 3, 2; 3, 15; 3, 3; 3, 10; 3, 11; 3, 12; 4, 13; 4, 15; 4, 16; 4, 9; 4, 10; 5, 10; 5, 11; 5, 12; 6, 1; 6, 2; 6, 4; 6, 7; 6, 15
  UNAF Укрнафта, ПАТ   1, 3; 1, 7; 1, 9; 1, 1; 1, 2; 1, 10; 2.1; 2, 3; 2, 4; 2, 5; 3.1; 3, 2; 3, 15; 3, 3; 3, 10; 3, 11; 3, 12; 4, 13; 4, 15; 4, 16; 4, 9; 4, 10; 5, 10; 5, 11; 5, 12; 6, 1; 6, 3; 6, 5; 6, 6; 6, 7
  KMED Київмедпрепарат, ПАТ   1, 3; 1, 7; 1, 9; 1, 1; 1, 4; 1.5; 2.1; 2, 3; 2, 4; 2, 5; 3.1; 3, 2; 3, 15; 3, 3; 3, 10; 3, 11; 3, 12; 4, 13; 4, 15; 4, 16; 4, 9; 4, 10; 5, 10; 5, 11; 5, 12; 6, 1; 6, 2; 6, 4; 6, 7; 6, 3
  UTLM Укртелеком, ПАТ   1, 3; 1, 7; 1, 9; 1, 2; 1, 6; 1, 8; 2, 1; 2, 3; 2, 4; 2, 2; 3.1; 3, 2; 3, 15; 3, 5; 3, 6; 3, 7; 4, 13; 4, 15; 4, 11; 4, 12; 4, 8; 5, 10; 5, 11; 5, 12; 6, 1; 6, 2; 6, 4; 6, 7; 6, 8
  ALKZ Алчевський коксохімічний завод, ПАТ   1, 3; 1, 7; 1, 9; 1, 10; 1, 11; 1, 12; 2.1; 2, 3; 2, 4; 2, 6; 3.1; 3, 2; 3, 15; 3, 4; 3, 8; 3, 9; 4, 13; 4, 15; 4, 14; 4, 17; 4, 9; 5, 10; 5, 11; 5, 12; 6, 1; 6, 2; 6, 4; 6, 7; 6, 9
  KSTL АрселорМіттал Кривий Ріг, ПАТ   1, 3; 1, 7; 1, 9; 1, 1; 1, 2; 1, 10; 2.1; 2, 3; 2, 4; 2, 5; 3.1; 3, 2; 3, 15; 3, 13; 3, 14; 4, 1-4, 6; 4, 13; 5, 1-5, 8; 5, 12; 6, 1; 6, 2; 6, 4; 6, 7; 6, 10
  ALMK Алчевський металургійний комбінат, ПАТ   1, 3; 1, 7; 1, 9; 1, 1; 1, 4; 1.5; 2.1; 2, 3; 2, 4; 2, 5; 3.1; 3, 2; 3, 15; 3, 3; 3, 10; 3, 11; 3, 12; 4, 13; 4, 15; 4, 16; 4, 9; 4, 10; 5, 10; 5, 11; 5, 12; 6, 1; 6, 2; 6, 4; 6, 7; 6, 11
  AZGM Азовзагальмаш, ПАТ   1, 3; 1, 7; 1, 9; 1, 2; 1, 6; 1, 8; 2, 1; 2, 3; 2, 4; 2, 2; 3.1; 3, 2; 3, 15; 3, 5; 3, 6; 3, 7; 4, 13; 4, 15; 4, 11; 4, 12; 4, 8; 5, 10; 5, 11; 5, 12; 6, 1; 6, 2; 6, 4; 6, 7; 6, 12
  BKOK Євраз Баглійкокс, ПАТ   1, 3; 1, 7; 1, 9; 1, 10; 1, 11; 1, 12; 2.1; 2, 3; 2, 4; 2, 6; 3.1; 3, 2; 3, 15; 3, 4; 3, 8; 3, 9; 4, 13; 4, 15; 4, 14; 4, 17; 4, 9; 5, 10; 5, 11; 5, 12; 6, 1; 6, 2; 6, 4; 6, 7; 6, 13
  PGOK Полтавський ГЗК, ВАТ   1, 3; 1, 7; 1, 9; 1, 1; 1, 2; 1, 10; 2.1; 2, 3; 2, 4; 2, 5; 3.1; 3, 2; 3, 15; 3, 13; 3, 14; 4, 1-4, 6; 4, 13; 5, 1-5, 8; 5, 12; 6, 1; 6, 2; 6, 4; 6, 7; 6, 14
  CEEN Центренерго, ПАТ   1, 3; 1, 7; 1, 9; 1, 1; 1, 4; 1.5; 2.1; 2, 3; 2, 4; 2, 5; 3.1; 3, 2; 3, 15; 3, 3; 3, 10; 3, 11; 3, 12; 4, 13; 4, 15; 4, 16; 4, 9; 4, 10; 5, 10; 5, 11; 5, 12; 6, 1; 6, 2; 6, 4; 6, 7; 6, 15
  SLAV Карлсберг Україна, ПАТ   1, 3; 1, 7; 1, 9; 1, 1; 1, 2; 1, 10; 2.1; 2, 3; 2, 4; 2, 5; 3.1; 3, 2; 3, 15; 3, 3; 3, 10; 3, 11; 3, 12; 4, 13; 4, 15; 4, 16; 4, 9; 4, 10; 5, 10; 5, 11; 5, 12; 6, 1; 6, 3; 6, 5; 6, 6; 6, 7
  DMKD Дніпровський металургійний комбінат ім.Ф.Е.Дзержинського, ПАТ   1, 3; 1, 7; 1, 9; 1, 1; 1, 4; 1.5; 2.1; 2, 3; 2, 4; 2, 5; 3.1; 3, 2; 3, 15; 3, 3; 3, 10; 3, 11; 3, 12; 4, 13; 4, 15; 4, 16; 4, 9; 4, 10; 5, 10; 5, 11; 5, 12; 6, 1; 6, 2; 6, 4; 6, 7; 6, 3
  DMZP Євраз - Дніпропетровський металургійний завод ім. Петровського, ПАТ   1, 3; 1, 7; 1, 9; 1, 2; 1, 6; 1, 8; 2, 1; 2, 3; 2, 4; 2, 2; 3.1; 3, 2; 3, 15; 3, 5; 3, 6; 3, 7; 4, 13; 4, 15; 4, 11; 4, 12; 4, 8; 5, 10; 5, 11; 5, 12; 6, 1; 6, 2; 6, 4; 6, 7; 6, 8
  DNEN Дніпроенерго, ПАТ   1, 3; 1, 7; 1, 9; 1, 10; 1, 11; 1, 12; 2.1; 2, 3; 2, 4; 2, 6; 3.1; 3, 2; 3, 15; 3, 4; 3, 8; 3, 9; 4, 13; 4, 15; 4, 14; 4, 17; 4, 9; 5, 10; 5, 11; 5, 12; 6, 1; 6, 2; 6, 4; 6, 7; 6, 9
  DNON ДТЕК Дніпрообленерго, ПАТ   1, 3; 1, 7; 1, 9; 1, 1; 1, 2; 1, 10; 2.1; 2, 3; 2, 4; 2, 5; 3.1; 3, 2; 3, 15; 3, 13; 3, 14; 4, 1-4, 6; 4, 13; 5, 1-5, 8; 5, 12; 6, 1; 6, 2; 6, 4; 6, 7; 6, 10
  DNSS Дніпроспецсталь, ПАТ   1, 3; 1, 7; 1, 9; 1, 1; 1, 4; 1.5; 2.1; 2, 3; 2, 4; 2, 5; 3.1; 3, 2; 3, 15; 3, 3; 3, 10; 3, 11; 3, 12; 4, 13; 4, 15; 4, 16; 4, 9; 4, 10; 5, 10; 5, 11; 5, 12; 6, 1; 6, 2; 6, 4; 6, 7; 6, 11
  DRMZ Дружківський машинобудівний завод, ПАТ   1, 3; 1, 7; 1, 9; 1, 2; 1, 6; 1, 8; 2, 1; 2, 3; 2, 4; 2, 2; 3.1; 3, 2; 3, 15; 3, 5; 3, 6; 3, 7; 4, 13; 4, 15; 4, 11; 4, 12; 4, 8; 5, 10; 5, 11; 5, 12; 6, 1; 6, 2; 6, 4; 6, 7; 6, 12
  DTRZ Дніпропетровський трубний завод, ПАТ   1, 3; 1, 7; 1, 9; 1, 10; 1, 11; 1, 12; 2.1; 2, 3; 2, 4; 2, 6; 3.1; 3, 2; 3, 15; 3, 4; 3, 8; 3, 9; 4, 13; 4, 15; 4, 14; 4, 17; 4, 9; 5, 10; 5, 11; 5, 12; 6, 1; 6, 2; 6, 4; 6, 7; 6, 13
  DVRB Дніпропетровський завод з ремонту та будівництва пасажирських вагонів, ПАТ   1, 3; 1, 7; 1, 9; 1, 1; 1, 2; 1, 10; 2.1; 2, 3; 2, 4; 2, 5; 3.1; 3, 2; 3, 15; 3, 13; 3, 14; 4, 1-4, 6; 4, 13; 5, 1-5, 8; 5, 12; 6, 1; 6, 2; 6, 4; 6, 7; 6, 14
  ENMA Енергомашспецсталь, ПАТ   1, 3; 1, 7; 1, 9; 1, 1; 1, 4; 1.5; 2.1; 2, 3; 2, 4; 2, 5; 3.1; 3, 2; 3, 15; 3, 3; 3, 10; 3, 11; 3, 12; 4, 13; 4, 15; 4, 16; 4, 9; 4, 10; 5, 10; 5, 11; 5, 12; 6, 1; 6, 2; 6, 4; 6, 7; 6, 15
  FARM Фармак, ПАТ   1, 3; 1, 7; 1, 9; 1, 1; 1, 2; 1, 10; 2.1; 2, 3; 2, 4; 2, 5; 3.1; 3, 2; 3, 15; 3, 3; 3, 10; 3, 11; 3, 12; 4, 13; 4, 15; 4, 16; 4, 9; 4, 10; 5, 10; 5, 11; 5, 12; 6, 1; 6, 3; 6, 5; 6, 6; 6, 7
  GFARM Галичфарм, АТВТ   1, 3; 1, 7; 1, 9; 1, 1; 1, 4; 1.5; 2.1; 2, 3; 2, 4; 2, 5; 3.1; 3, 2; 3, 15; 3, 3; 3, 10; 3, 11; 3, 12; 4, 13; 4, 15; 4, 16; 4, 9; 4, 10; 5, 10; 5, 11; 5, 12; 6, 1; 6, 2; 6, 4; 6, 7; 6, 3
  GLNG Концерн Галнафтогаз, ПАТ   1, 3; 1, 7; 1, 9; 1, 2; 1, 6; 1, 8; 2, 1; 2, 3; 2, 4; 2, 2; 3.1; 3, 2; 3, 15; 3, 5; 3, 6; 3, 7; 4, 13; 4, 15; 4, 11; 4, 12; 4, 8; 5, 10; 5, 11; 5, 12; 6, 1; 6, 2; 6, 4; 6, 7; 6, 8
  HAON Харківобленерго, АК   1, 3; 1, 7; 1, 9; 1, 10; 1, 11; 1, 12; 2.1; 2, 3; 2, 4; 2, 6; 3.1; 3, 2; 3, 15; 3, 4; 3, 8; 3, 9; 4, 13; 4, 15; 4, 14; 4, 17; 4, 9; 5, 10; 5, 11; 5, 12; 6, 1; 6, 2; 6, 4; 6, 7; 6, 9
  HGAZ Хмельницькгаз, ПАТ   1, 3; 1, 7; 1, 9; 1, 1; 1, 2; 1, 10; 2.1; 2, 3; 2, 4; 2, 5; 3.1; 3, 2; 3, 15; 3, 13; 3, 14; 4, 1-4, 6; 4, 13; 5, 1-5, 8; 5, 12; 6, 1; 6, 2; 6, 4; 6, 7; 6, 10
  HLPR Концерн Хлібпром, ПАТ   1, 3; 1, 7; 1, 9; 1, 1; 1, 4; 1.5; 2.1; 2, 3; 2, 4; 2, 5; 3.1; 3, 2; 3, 15; 3, 3; 3, 10; 3, 11; 3, 12; 4, 13; 4, 15; 4, 16; 4, 9; 4, 10; 5, 10; 5, 11; 5, 12; 6, 1; 6, 2; 6, 4; 6, 7; 6, 11
  HMBZ Харківський машинобудівний завод Світло шахтаря, ПАТ   1, 3; 1, 7; 1, 9; 1, 2; 1, 6; 1, 8; 2, 1; 2, 3; 2, 4; 2, 2; 3.1; 3, 2; 3, 15; 3, 5; 3, 6; 3, 7; 4, 13; 4, 15; 4, 11; 4, 12; 4, 8; 5, 10; 5, 11; 5, 12; 6, 1; 6, 2; 6, 4; 6, 7; 6, 12
  HMON Хмельницькобленерго, ПАТ   1, 3; 1, 7; 1, 9; 1, 10; 1, 11; 1, 12; 2.1; 2, 3; 2, 4; 2, 6; 3.1; 3, 2; 3, 15; 3, 4; 3, 8; 3, 9; 4, 13; 4, 15; 4, 14; 4, 17; 4, 9; 5, 10; 5, 11; 5, 12; 6, 1; 6, 2; 6, 4; 6, 7; 6, 13
  KIEN Київенерго, ПАТ   1, 3; 1, 7; 1, 9; 1, 1; 1, 2; 1, 10; 2.1; 2, 3; 2, 4; 2, 5; 3.1; 3, 2; 3, 15; 3, 13; 3, 14; 4, 1-4, 6; 4, 13; 5, 1-5, 8; 5, 12; 6, 1; 6, 2; 6, 4; 6, 7; 6, 14
  KION Кіровоградобленерго, ПАТ   1, 3; 1, 7; 1, 9; 1, 1; 1, 4; 1.5; 2.1; 2, 3; 2, 4; 2, 5; 3.1; 3, 2; 3, 15; 3, 3; 3, 10; 3, 11; 3, 12; 4, 13; 4, 15; 4, 16; 4, 9; 4, 10; 5, 10; 5, 11; 5, 12; 6, 1; 6, 2; 6, 4; 6, 7; 6, 15
  MTBD Мостобуд, ПАТ   1, 3; 1, 7; 1, 9; 1, 1; 1, 2; 1, 10; 2.1; 2, 3; 2, 4; 2, 5; 3.1; 3, 2; 3, 15; 3, 3; 3, 10; 3, 11; 3, 12; 4, 13; 4, 15; 4, 16; 4, 9; 4, 10; 5, 10; 5, 11; 5, 12; 6, 1; 6, 3; 6, 5; 6, 6; 6, 7
  MZVM Маріупольський завод важкого машинобудування, ПАТ   1, 3; 1, 7; 1, 9; 1, 1; 1, 4; 1.5; 2.1; 2, 3; 2, 4; 2, 5; 3.1; 3, 2; 3, 15; 3, 3; 3, 10; 3, 11; 3, 12; 4, 13; 4, 15; 4, 16; 4, 9; 4, 10; 5, 10; 5, 11; 5, 12; 6, 1; 6, 2; 6, 4; 6, 7; 6, 3
  NITR ІНТЕРПАЙП Нижньодніпровський трубопрокатний завод, ВАТ   1, 3; 1, 7; 1, 9; 1, 2; 1, 6; 1, 8; 2, 1; 2, 3; 2, 4; 2, 2; 3.1; 3, 2; 3, 15; 3, 5; 3, 6; 3, 7; 4, 13; 4, 15; 4, 11; 4, 12; 4, 8; 5, 10; 5, 11; 5, 12; 6, 1; 6, 2; 6, 4; 6, 7; 6, 8
  NVTR Iнтерпайп Новомосковський трубний завод, ПАТ   1, 3; 1, 7; 1, 9; 1, 10; 1, 11; 1, 12; 2.1; 2, 3; 2, 4; 2, 6; 3.1; 3, 2; 3, 15; 3, 4; 3, 8; 3, 9; 4, 13; 4, 15; 4, 14; 4, 17; 4, 9; 5, 10; 5, 11; 5, 12; 6, 1; 6, 2; 6, 4; 6, 7; 6, 9
  ODEN ЕК Одесаобленерго, ПАТ   1, 3; 1, 7; 1, 9; 1, 1; 1, 2; 1, 10; 2.1; 2, 3; 2, 4; 2, 5; 3.1; 3, 2; 3, 15; 3, 13; 3, 14; 4, 1-4, 6; 4, 13; 5, 1-5, 8; 5, 12; 6, 1; 6, 2; 6, 4; 6, 7; 6, 10
  SELM НВП Смілянський електромеханічний завод, ПАТ   1, 3; 1, 7; 1, 9; 1, 1; 1, 4; 1.5; 2.1; 2, 3; 2, 4; 2, 5; 3.1; 3, 2; 3, 15; 3, 3; 3, 10; 3, 11; 3, 12; 4, 13; 4, 15; 4, 16; 4, 9; 4, 10; 5, 10; 5, 11; 5, 12; 6, 1; 6, 2; 6, 4; 6, 7; 6, 11
  SMASH Сумське машинобудівне НВО ім.Фрунзе, ПАТ   1, 3; 1, 7; 1, 9; 1, 2; 1, 6; 1, 8; 2, 1; 2, 3; 2, 4; 2, 2; 3.1; 3, 2; 3, 15; 3, 5; 3, 6; 3, 7; 4, 13; 4, 15; 4, 11; 4, 12; 4, 8; 5, 10; 5, 11; 5, 12; 6, 1; 6, 2; 6, 4; 6, 7; 6, 12
  STIR Концерн Стирол, ПАТ   1, 3; 1, 7; 1, 9; 1, 10; 1, 11; 1, 12; 2.1; 2, 3; 2, 4; 2, 6; 3.1; 3, 2; 3, 15; 3, 4; 3, 8; 3, 9; 4, 13; 4, 15; 4, 14; 4, 17; 4, 9; 5, 10; 5, 11; 5, 12; 6, 1; 6, 2; 6, 4; 6, 7; 6, 13
  SUNI САН ІнБев Україна, ПАТ   1, 3; 1, 7; 1, 9; 1, 1; 1, 2; 1, 10; 2.1; 2, 3; 2, 4; 2, 5; 3.1; 3, 2; 3, 15; 3, 13; 3, 14; 4, 1-4, 6; 4, 13; 5, 1-5, 8; 5, 12; 6, 1; 6, 2; 6, 4; 6, 7; 6, 14
  CHEON Чернігівобленерго, ПАТ   1, 3; 1, 7; 1, 9; 1, 1; 1, 4; 1.5; 2.1; 2, 3; 2, 4; 2, 5; 3.1; 3, 2; 3, 15; 3, 3; 3, 10; 3, 11; 3, 12; 4, 13; 4, 15; 4, 16; 4, 9; 4, 10; 5, 10; 5, 11; 5, 12; 6, 1; 6, 2; 6, 4; 6, 7; 6, 15
  CHON Черкасиобленерго, ПАТ   1, 3; 1, 7; 1, 9; 1, 1; 1, 2; 1, 10; 2.1; 2, 3; 2, 4; 2, 5; 3.1; 3, 2; 3, 15; 3, 3; 3, 10; 3, 11; 3, 12; 4, 13; 4, 15; 4, 16; 4, 9; 4, 10; 5, 10; 5, 11; 5, 12; 6, 1; 6, 3; 6, 5; 6, 6; 6, 7
  DGRM Донецькгірмаш, ПАТ   1, 3; 1, 7; 1, 9; 1, 1; 1, 4; 1.5; 2.1; 2, 3; 2, 4; 2, 5; 3.1; 3, 2; 3, 15; 3, 3; 3, 10; 3, 11; 3, 12; 4, 13; 4, 15; 4, 16; 4, 9; 4, 10; 5, 10; 5, 11; 5, 12; 6, 1; 6, 2; 6, 4; 6, 7; 6, 3
  DKOK Донецьккокс, ПАТ   1, 3; 1, 7; 1, 9; 1, 2; 1, 6; 1, 8; 2, 1; 2, 3; 2, 4; 2, 2; 3.1; 3, 2; 3, 15; 3, 5; 3, 6; 3, 7; 4, 13; 4, 15; 4, 11; 4, 12; 4, 8; 5, 10; 5, 11; 5, 12; 6, 1; 6, 2; 6, 4; 6, 7; 6, 8
  VIEN Вінницяобленерго, ПАТ   1, 3; 1, 7; 1, 9; 1, 10; 1, 11; 1, 12; 2.1; 2, 3; 2, 4; 2, 6; 3.1; 3, 2; 3, 15; 3, 4; 3, 8; 3, 9; 4, 13; 4, 15; 4, 14; 4, 17; 4, 9; 5, 10; 5, 11; 5, 12; 6, 1; 6, 2; 6, 4; 6, 7; 6, 9
  YASK Ясинівський коксохімічний завод, ПАТ   1, 3; 1, 7; 1, 9; 1, 1; 1, 2; 1, 10; 2.1; 2, 3; 2, 4; 2, 5; 3.1; 3, 2; 3, 15; 3, 13; 3, 14; 4, 1-4, 6; 4, 13; 5, 1-5, 8; 5, 12; 6, 1; 6, 2; 6, 4; 6, 7; 6, 10
  HOEN ЕК Херсонобленерго, ПАТ   1, 3; 1, 7; 1, 9; 1, 1; 1, 4; 1.5; 2.1; 2, 3; 2, 4; 2, 5; 3.1; 3, 2; 3, 15; 3, 3; 3, 10; 3, 11; 3, 12; 4, 13; 4, 15; 4, 16; 4, 9; 4, 10; 5, 10; 5, 11; 5, 12; 6, 1; 6, 2; 6, 4; 6, 7; 6, 11
  KFTP Слов'янські шпалери КФТП, ПАТ   1, 3; 1, 7; 1, 9; 1, 2; 1, 6; 1, 8; 2, 1; 2, 3; 2, 4; 2, 2; 3.1; 3, 2; 3, 15; 3, 5; 3, 6; 3, 7; 4, 13; 4, 15; 4, 11; 4, 12; 4, 8; 5, 10; 5, 11; 5, 12; 6, 1; 6, 2; 6, 4; 6, 7; 6, 12
  ZACO Запоріжкокс, ПАТ   1, 3; 1, 7; 1, 9; 1, 10; 1, 11; 1, 12; 2.1; 2, 3; 2, 4; 2, 6; 3.1; 3, 2; 3, 15; 3, 4; 3, 8; 3, 9; 4, 13; 4, 15; 4, 14; 4, 17; 4, 9; 5, 10; 5, 11; 5, 12; 6, 1; 6, 2; 6, 4; 6, 7; 6, 13
  ZAEN ДТЕК Західенерго, ПАТ   1, 3; 1, 7; 1, 9; 1, 1; 1, 2; 1, 10; 2.1; 2, 3; 2, 4; 2, 5; 3.1; 3, 2; 3, 15; 3, 13; 3, 14; 4, 1-4, 6; 4, 13; 5, 1-5, 8; 5, 12; 6, 1; 6, 2; 6, 4; 6, 7; 6, 14
  ZALK Запорізький виробничий алюмінієвий комбінат, ПАТ   1, 3; 1, 7; 1, 9; 1, 1; 1, 4; 1.5; 2.1; 2, 3; 2, 4; 2, 5; 3.1; 3, 2; 3, 15; 3, 3; 3, 10; 3, 11; 3, 12; 4, 13; 4, 15; 4, 16; 4, 9; 4, 10; 5, 10; 5, 11; 5, 12; 6, 1; 6, 2; 6, 4; 6, 7; 6, 15
  ZATR Запоріжтрансформатор, ПАТ   1, 3; 1, 7; 1, 9; 1, 1; 1, 2; 1, 10; 2.1; 2, 3; 2, 4; 2, 5; 3.1; 3, 2; 3, 15; 3, 3; 3, 10; 3, 11; 3, 12; 4, 13; 4, 15; 4, 16; 4, 9; 4, 10; 5, 10; 5, 11; 5, 12; 6, 1; 6, 3; 6, 5; 6, 6; 6, 7
  SVGZ Стахановський вагонобудівний завод, ПАТ   1, 3; 1, 7; 1, 9; 1, 1; 1, 4; 1.5; 2.1; 2, 3; 2, 4; 2, 5; 3.1; 3, 2; 3, 15; 3, 3; 3, 10; 3, 11; 3, 12; 4, 13; 4, 15; 4, 16; 4, 9; 4, 10; 5, 10; 5, 11; 5, 12; 6, 1; 6, 2; 6, 4; 6, 7; 6, 3
  ZFER Запорізький завод феросплавів, ПАТ   1, 3; 1, 7; 1, 9; 1, 2; 1, 6; 1, 8; 2, 1; 2, 3; 2, 4; 2, 2; 3.1; 3, 2; 3, 15; 3, 5; 3, 6; 3, 7; 4, 13; 4, 15; 4, 11; 4, 12; 4, 8; 5, 10; 5, 11; 5, 12; 6, 1; 6, 2; 6, 4; 6, 7; 6, 8
  ZHEN ЕК Житомиробленерго, ПАТ   1, 3; 1, 7; 1, 9; 1, 10; 1, 11; 1, 12; 2.1; 2, 3; 2, 4; 2, 6; 3.1; 3, 2; 3, 15; 3, 4; 3, 8; 3, 9; 4, 13; 4, 15; 4, 14; 4, 17; 4, 9; 5, 10; 5, 11; 5, 12; 6, 1; 6, 2; 6, 4; 6, 7; 6, 9
  ZHMZ Житомирський маслозавод, ПАТ   1, 3; 1, 7; 1, 9; 1, 1; 1, 2; 1, 10; 2.1; 2, 3; 2, 4; 2, 5; 3.1; 3, 2; 3, 15; 3, 13; 3, 14; 4, 1-4, 6; 4, 13; 5, 1-5, 8; 5, 12; 6, 1; 6, 2; 6, 4; 6, 7; 6, 10
  ZOEN Закарпаттяобленерго, ПАТ   1, 3; 1, 7; 1, 9; 1, 1; 1, 4; 1.5; 2.1; 2, 3; 2, 4; 2, 5; 3.1; 3, 2; 3, 15; 3, 3; 3, 10; 3, 11; 3, 12; 4, 13; 4, 15; 4, 16; 4, 9; 4, 10; 5, 10; 5, 11; 5, 12; 6, 1; 6, 2; 6, 4; 6, 7; 6, 11
  DMPZ Донецький металопрокатний завод, ПАТ   1, 3; 1, 7; 1, 9; 1, 2; 1, 6; 1, 8; 2, 1; 2, 3; 2, 4; 2, 2; 3.1; 3, 2; 3, 15; 3, 5; 3, 6; 3, 7; 4, 13; 4, 15; 4, 11; 4, 12; 4, 8; 5, 10; 5, 11; 5, 12; 6, 1; 6, 2; 6, 4; 6, 7; 6, 12
  GDGZ Гадячгаз, ПАТ   1, 3; 1, 7; 1, 9; 1, 10; 1, 11; 1, 12; 2.1; 2, 3; 2, 4; 2, 6; 3.1; 3, 2; 3, 15; 3, 4; 3, 8; 3, 9; 4, 13; 4, 15; 4, 14; 4, 17; 4, 9; 5, 10; 5, 11; 5, 12; 6, 1; 6, 2; 6, 4; 6, 7; 6, 13
  ZPRK Запорізький рибокомбінат, ПАТ   1, 3; 1, 7; 1, 9; 1, 1; 1, 2; 1, 10; 2.1; 2, 3; 2, 4; 2, 5; 3.1; 3, 2; 3, 15; 3, 13; 3, 14; 4, 1-4, 6; 4, 13; 5, 1-5, 8; 5, 12; 6, 1; 6, 2; 6, 4; 6, 7; 6, 14
  YAGT Яготинське, ПАТ   1, 3; 1, 7; 1, 9; 1, 1; 1, 4; 1.5; 2.1; 2, 3; 2, 4; 2, 5; 3.1; 3, 2; 3, 15; 3, 3; 3, 10; 3, 11; 3, 12; 4, 13; 4, 15; 4, 16; 4, 9; 4, 10; 5, 10; 5, 11; 5, 12; 6, 1; 6, 2; 6, 4; 6, 7; 6, 15
  UGRA Український графіт, ПАТ   1, 3; 1, 7; 1, 9; 1, 1; 1, 2; 1, 10; 2.1; 2, 3; 2, 4; 2, 5; 3.1; 3, 2; 3, 15; 3, 3; 3, 10; 3, 11; 3, 12; 4, 13; 4, 15; 4, 16; 4, 9; 4, 10; 5, 10; 5, 11; 5, 12; 6, 1; 6, 3; 6, 5; 6, 6; 6, 7
  PHMSH Полтавхіммаш, ПАТ   1, 3; 1, 7; 1, 9; 1, 1; 1, 4; 1.5; 2.1; 2, 3; 2, 4; 2, 5; 3.1; 3, 2; 3, 15; 3, 3; 3, 10; 3, 11; 3, 12; 4, 13; 4, 15; 4, 16; 4, 9; 4, 10; 5, 10; 5, 11; 5, 12; 6, 1; 6, 2; 6, 4; 6, 7; 6, 3
  NKMZ Новокраматорський машинобудівний завод, ПАТ   1, 3; 1, 7; 1, 9; 1, 2; 1, 6; 1, 8; 2, 1; 2, 3; 2, 4; 2, 2; 3.1; 3, 2; 3, 15; 3, 5; 3, 6; 3, 7; 4, 13; 4, 15; 4, 11; 4, 12; 4, 8; 5, 10; 5, 11; 5, 12; 6, 1; 6, 2; 6, 4; 6, 7; 6, 8
  MGRA Маркограф, ПАТ   1, 3; 1, 7; 1, 9; 1, 10; 1, 11; 1, 12; 2.1; 2, 3; 2, 4; 2, 6; 3.1; 3, 2; 3, 15; 3, 4; 3, 8; 3, 9; 4, 13; 4, 15; 4, 14; 4, 17; 4, 9; 5, 10; 5, 11; 5, 12; 6, 1; 6, 2; 6, 4; 6, 7; 6, 9
  LSHP Трест Луганськшахтопроходка, ПАТ   1, 3; 1, 7; 1, 9; 1, 1; 1, 2; 1, 10; 2.1; 2, 3; 2, 4; 2, 5; 3.1; 3, 2; 3, 15; 3, 13; 3, 14; 4, 1-4, 6; 4, 13; 5, 1-5, 8; 5, 12; 6, 1; 6, 2; 6, 4; 6, 7; 6, 10
  ENMZ Єнакієвський металургійний завод, ПАТ   1, 3; 1, 7; 1, 9; 1, 1; 1, 4; 1.5; 2.1; 2, 3; 2, 4; 2, 5; 3.1; 3, 2; 3, 15; 3, 3; 3, 10; 3, 11; 3, 12; 4, 13; 4, 15; 4, 16; 4, 9; 4, 10; 5, 10; 5, 11; 5, 12; 6, 1; 6, 2; 6, 4; 6, 7; 6, 11
  SHCHZ Шахтоуправління Покровське, ПАТ   1, 3; 1, 7; 1, 9; 1, 2; 1, 6; 1, 8; 2, 1; 2, 3; 2, 4; 2, 2; 3.1; 3, 2; 3, 15; 3, 5; 3, 6; 3, 7; 4, 13; 4, 15; 4, 11; 4, 12; 4, 8; 5, 10; 5, 11; 5, 12; 6, 1; 6, 2; 6, 4; 6, 7; 6, 12
  SHKD ДТЕК Шахта Комсомолець Донбасу, ПАТ   1, 3; 1, 7; 1, 9; 1, 10; 1, 11; 1, 12; 2.1; 2, 3; 2, 4; 2, 6; 3.1; 3, 2; 3, 15; 3, 4; 3, 8; 3, 9; 4, 13; 4, 15; 4, 14; 4, 17; 4, 9; 5, 10; 5, 11; 5, 12; 6, 1; 6, 2; 6, 4; 6, 7; 6, 13
  DOEN Донбасенерго, ПАТ   1, 3; 1, 7; 1, 9; 1, 1; 1, 2; 1, 10; 2.1; 2, 3; 2, 4; 2, 5; 3.1; 3, 2; 3, 15; 3, 13; 3, 14; 4, 1-4, 6; 4, 13; 5, 1-5, 8; 5, 12; 6, 1; 6, 2; 6, 4; 6, 7; 6, 14
  KIOL Кіровоградолія, ПАТ   1, 3; 1, 7; 1, 9; 1, 1; 1, 4; 1.5; 2.1; 2, 3; 2, 4; 2, 5; 3.1; 3, 2; 3, 15; 3, 3; 3, 10; 3, 11; 3, 12; 4, 13; 4, 15; 4, 16; 4, 9; 4, 10; 5, 10; 5, 11; 5, 12; 6, 1; 6, 2; 6, 4; 6, 7; 6, 15
  DOON ДТЕК Донецькобленерго, ПАТ   1, 3; 1, 7; 1, 9; 1, 1; 1, 2; 1, 10; 2.1; 2, 3; 2, 4; 2, 5; 3.1; 3, 2; 3, 15; 3, 3; 3, 10; 3, 11; 3, 12; 4, 13; 4, 15; 4, 16; 4, 9; 4, 10; 5, 10; 5, 11; 5, 12; 6, 1; 6, 3; 6, 5; 6, 6; 6, 7
  CHER Черкаський, ПАТ   1, 3; 1, 7; 1, 9; 1, 1; 1, 4; 1.5; 2.1; 2, 3; 2, 4; 2, 5; 3.1; 3, 2; 3, 15; 3, 3; 3, 10; 3, 11; 3, 12; 4, 13; 4, 15; 4, 16; 4, 9; 4, 10; 5, 10; 5, 11; 5, 12; 6, 1; 6, 2; 6, 4; 6, 7; 6, 3
  PREN Прикарпаттяобленерго, ПАТ   1, 3; 1, 7; 1, 9; 1, 2; 1, 6; 1, 8; 2, 1; 2, 3; 2, 4; 2, 2; 3.1; 3, 2; 3, 15; 3, 5; 3, 6; 3, 7; 4, 13; 4, 15; 4, 11; 4, 12; 4, 8; 5, 10; 5, 11; 5, 12; 6, 1; 6, 2; 6, 4; 6, 7; 6, 8
  BROM Бром, ПАТ   1, 3; 1, 7; 1, 9; 1, 10; 1, 11; 1, 12; 2.1; 2, 3; 2, 4; 2, 6; 3.1; 3, 2; 3, 15; 3, 4; 3, 8; 3, 9; 4, 13; 4, 15; 4, 14; 4, 17; 4, 9; 5, 10; 5, 11; 5, 12; 6, 1; 6, 2; 6, 4; 6, 7; 6, 9
  DOGZ Донецькоблгаз, ПAT   1, 3; 1, 7; 1, 9; 1, 1; 1, 2; 1, 10; 2.1; 2, 3; 2, 4; 2, 5; 3.1; 3, 2; 3, 15; 3, 13; 3, 14; 4, 1-4, 6; 4, 13; 5, 1-5, 8; 5, 12; 6, 1; 6, 2; 6, 4; 6, 7; 6, 10
  ETEH Енергетичні технології, ПАТ   1, 3; 1, 7; 1, 9; 1, 1; 1, 4; 1.5; 2.1; 2, 3; 2, 4; 2, 5; 3.1; 3, 2; 3, 15; 3, 3; 3, 10; 3, 11; 3, 12; 4, 13; 4, 15; 4, 16; 4, 9; 4, 10; 5, 10; 5, 11; 5, 12; 6, 1; 6, 2; 6, 4; 6, 7; 6, 11
  EXPN Експо нафта продукт, ПАТ   1, 3; 1, 7; 1, 9; 1, 2; 1, 6; 1, 8; 2, 1; 2, 3; 2, 4; 2, 2; 3.1; 3, 2; 3, 15; 3, 5; 3, 6; 3, 7; 4, 13; 4, 15; 4, 11; 4, 12; 4, 8; 5, 10; 5, 11; 5, 12; 6, 1; 6, 2; 6, 4; 6, 7; 6, 12
  GRIU Гранітна індустрія України, ПАТ   1, 3; 1, 7; 1, 9; 1, 10; 1, 11; 1, 12; 2.1; 2, 3; 2, 4; 2, 6; 3.1; 3, 2; 3, 15; 3, 4; 3, 8; 3, 9; 4, 13; 4, 15; 4, 14; 4, 17; 4, 9; 5, 10; 5, 11; 5, 12; 6, 1; 6, 2; 6, 4; 6, 7; 6, 13
  HEMO Гемопласт, ПАТ   1, 3; 1, 7; 1, 9; 1, 1; 1, 2; 1, 10; 2.1; 2, 3; 2, 4; 2, 5; 3.1; 3, 2; 3, 15; 3, 13; 3, 14; 4, 1-4, 6; 4, 13; 5, 1-5, 8; 5, 12; 6, 1; 6, 2; 6, 4; 6, 7; 6, 14
  HRGZ Херсонгаз, ПАТ   1, 3; 1, 7; 1, 9; 1, 1; 1, 4; 1.5; 2.1; 2, 3; 2, 4; 2, 5; 3.1; 3, 2; 3, 15; 3, 3; 3, 10; 3, 11; 3, 12; 4, 13; 4, 15; 4, 16; 4, 9; 4, 10; 5, 10; 5, 11; 5, 12; 6, 1; 6, 2; 6, 4; 6, 7; 6, 15
  KMOL Ковельмолоко, ПАТ   1, 3; 1, 7; 1, 9; 1, 1; 1, 2; 1, 10; 2.1; 2, 3; 2, 4; 2, 5; 3.1; 3, 2; 3, 15; 3, 3; 3, 10; 3, 11; 3, 12; 4, 13; 4, 15; 4, 16; 4, 9; 4, 10; 5, 10; 5, 11; 5, 12; 6, 1; 6, 3; 6, 5; 6, 6; 6, 7
  KVTZ Кіндратівський вогнетривкий завод, ПАТ   1, 3; 1, 7; 1, 9; 1, 1; 1, 4; 1.5; 2.1; 2, 3; 2, 4; 2, 5; 3.1; 3, 2; 3, 15; 3, 3; 3, 10; 3, 11; 3, 12; 4, 13; 4, 15; 4, 16; 4, 9; 4, 10; 5, 10; 5, 11; 5, 12; 6, 1; 6, 2; 6, 4; 6, 7; 6, 3
  MZKK Миронівський завод по виготовленню круп та комбікормів, ПАТ   1, 3; 1, 7; 1, 9; 1, 2; 1, 6; 1, 8; 2, 1; 2, 3; 2, 4; 2, 2; 3.1; 3, 2; 3, 15; 3, 5; 3, 6; 3, 7; 4, 13; 4, 15; 4, 11; 4, 12; 4, 8; 5, 10; 5, 11; 5, 12; 6, 1; 6, 2; 6, 4; 6, 7; 6, 8
  POBL Полтавський Облагропостач, ПАТ   1, 3; 1, 7; 1, 9; 1, 10; 1, 11; 1, 12; 2.1; 2, 3; 2, 4; 2, 6; 3.1; 3, 2; 3, 15; 3, 4; 3, 8; 3, 9; 4, 13; 4, 15; 4, 14; 4, 17; 4, 9; 5, 10; 5, 11; 5, 12; 6, 1; 6, 2; 6, 4; 6, 7; 6, 9
  SUBA Євраз Суха Балка, ПАТ   1, 3; 1, 7; 1, 9; 1, 1; 1, 2; 1, 10; 2.1; 2, 3; 2, 4; 2, 5; 3.1; 3, 2; 3, 15; 3, 13; 3, 14; 4, 1-4, 6; 4, 13; 5, 1-5, 8; 5, 12; 6, 1; 6, 2; 6, 4; 6, 7; 6, 10
  TODK Тодак, ПАТ   1, 3; 1, 7; 1, 9; 1, 1; 1, 4; 1.5; 2.1; 2, 3; 2, 4; 2, 5; 3.1; 3, 2; 3, 15; 3, 3; 3, 10; 3, 11; 3, 12; 4, 13; 4, 15; 4, 16; 4, 9; 4, 10; 5, 10; 5, 11; 5, 12; 6, 1; 6, 2; 6, 4; 6, 7; 6, 11
  TRGT Трест-Житлобуд-1, AT   1, 3; 1, 7; 1, 9; 1, 2; 1, 6; 1, 8; 2, 1; 2, 3; 2, 4; 2, 2; 3.1; 3, 2; 3, 15; 3, 5; 3, 6; 3, 7; 4, 13; 4, 15; 4, 11; 4, 12; 4, 8; 5, 10; 5, 11; 5, 12; 6, 1; 6, 2; 6, 4; 6, 7; 6, 12
  UMGK Виробниче об'єднання Укрміжгоспкомбікорм, ПАТ   1, 3; 1, 7; 1, 9; 1, 10; 1, 11; 1, 12; 2.1; 2, 3; 2, 4; 2, 6; 3.1; 3, 2; 3, 15; 3, 4; 3, 8; 3, 9; 4, 13; 4, 15; 4, 14; 4, 17; 4, 9; 5, 10; 5, 11; 5, 12; 6, 1; 6, 2; 6, 4; 6, 7; 6, 13
  VOEN Волиньобленерго, ПАТ   1, 3; 1, 7; 1, 9; 1, 1; 1, 2; 1, 10; 2.1; 2, 3; 2, 4; 2, 5; 3.1; 3, 2; 3, 15; 3, 13; 3, 14; 4, 1-4, 6; 4, 13; 5, 1-5, 8; 5, 12; 6, 1; 6, 2; 6, 4; 6, 7; 6, 14
  AVDK Авдіївський коксохімічний завод, ПАТ   1, 3; 1, 7; 1, 9; 1, 1; 1, 4; 1.5; 2.1; 2, 3; 2, 4; 2, 5; 3.1; 3, 2; 3, 15; 3, 3; 3, 10; 3, 11; 3, 12; 4, 13; 4, 15; 4, 16; 4, 9; 4, 10; 5, 10; 5, 11; 5, 12; 6, 1; 6, 2; 6, 4; 6, 7; 6, 15
  VORN ШФ Воронін, ПАТ   1, 3; 1, 7; 1, 9; 1, 1; 1, 2; 1, 10; 2.1; 2, 3; 2, 4; 2, 5; 3.1; 3, 2; 3, 15; 3, 3; 3, 10; 3, 11; 3, 12; 4, 13; 4, 15; 4, 16; 4, 9; 4, 10; 5, 10; 5, 11; 5, 12; 6, 1; 6, 3; 6, 5; 6, 6; 6, 7
  ZBKK Завод залізобетонних конструкцій ім. С. Ковальскої, ПАТ   1, 3; 1, 7; 1, 9; 1, 1; 1, 4; 1.5; 2.1; 2, 3; 2, 4; 2, 5; 3.1; 3, 2; 3, 15; 3, 3; 3, 10; 3, 11; 3, 12; 4, 13; 4, 15; 4, 16; 4, 9; 4, 10; 5, 10; 5, 11; 5, 12; 6, 1; 6, 2; 6, 4; 6, 7; 6, 3
  PANK Пантек, ПАТ   1, 3; 1, 7; 1, 9; 1, 2; 1, 6; 1, 8; 2, 1; 2, 3; 2, 4; 2, 2; 3.1; 3, 2; 3, 15; 3, 5; 3, 6; 3, 7; 4, 13; 4, 15; 4, 11; 4, 12; 4, 8; 5, 10; 5, 11; 5, 12; 6, 1; 6, 2; 6, 4; 6, 7; 6, 8
  MGZC Марганецький ГЗК, ПАТ   1, 3; 1, 7; 1, 9; 1, 10; 1, 11; 1, 12; 2.1; 2, 3; 2, 4; 2, 6; 3.1; 3, 2; 3, 15; 3, 4; 3, 8; 3, 9; 4, 13; 4, 15; 4, 14; 4, 17; 4, 9; 5, 10; 5, 11; 5, 12; 6, 1; 6, 2; 6, 4; 6, 7; 6, 9
  AVTR Виробниче Об'єднання Автотранспортник, ПАТ   1, 3; 1, 7; 1, 9; 1, 1; 1, 2; 1, 10; 2.1; 2, 3; 2, 4; 2, 5; 3.1; 3, 2; 3, 15; 3, 13; 3, 14; 4, 1-4, 6; 4, 13; 5, 1-5, 8; 5, 12; 6, 1; 6, 2; 6, 4; 6, 7; 6, 10
  CHOF Чортківська швейна фабрика, ПАТ   1, 3; 1, 7; 1, 9; 1, 1; 1, 4; 1.5; 2.1; 2, 3; 2, 4; 2, 5; 3.1; 3, 2; 3, 15; 3, 3; 3, 10; 3, 11; 3, 12; 4, 13; 4, 15; 4, 16; 4, 9; 4, 10; 5, 10; 5, 11; 5, 12; 6, 1; 6, 2; 6, 4; 6, 7; 6, 11
  COMF Комфорт-Сервіс, ПАТ   1, 3; 1, 7; 1, 9; 1, 2; 1, 6; 1, 8; 2, 1; 2, 3; 2, 4; 2, 2; 3.1; 3, 2; 3, 15; 3, 5; 3, 6; 3, 7; 4, 13; 4, 15; 4, 11; 4, 12; 4, 8; 5, 10; 5, 11; 5, 12; 6, 1; 6, 2; 6, 4; 6, 7; 6, 12
  DZKZ Євраз Дніпродзержинський коксохімічний завод, ПАТ   1, 3; 1, 7; 1, 9; 1, 10; 1, 11; 1, 12; 2.1; 2, 3; 2, 4; 2, 6; 3.1; 3, 2; 3, 15; 3, 4; 3, 8; 3, 9; 4, 13; 4, 15; 4, 14; 4, 17; 4, 9; 5, 10; 5, 11; 5, 12; 6, 1; 6, 2; 6, 4; 6, 7; 6, 13
  GSKZ Ветропак Гостомельський Склозавод, АТ   1, 3; 1, 7; 1, 9; 1, 1; 1, 2; 1, 10; 2.1; 2, 3; 2, 4; 2, 5; 3.1; 3, 2; 3, 15; 3, 13; 3, 14; 4, 1-4, 6; 4, 13; 5, 1-5, 8; 5, 12; 6, 1; 6, 2; 6, 4; 6, 7; 6, 14
  IGOK Інгулецький гірничо-збагачувальний комбінат, ПАТ   1, 3; 1, 7; 1, 9; 1, 1; 1, 4; 1.5; 2.1; 2, 3; 2, 4; 2, 5; 3.1; 3, 2; 3, 15; 3, 3; 3, 10; 3, 11; 3, 12; 4, 13; 4, 15; 4, 16; 4, 9; 4, 10; 5, 10; 5, 11; 5, 12; 6, 1; 6, 2; 6, 4; 6, 7; 6, 15
  KIZV Кисневий завод, ПАТ   1, 3; 1, 7; 1, 9; 1, 1; 1, 2; 1, 10; 2.1; 2, 3; 2, 4; 2, 5; 3.1; 3, 2; 3, 15; 3, 3; 3, 10; 3, 11; 3, 12; 4, 13; 4, 15; 4, 16; 4, 9; 4, 10; 5, 10; 5, 11; 5, 12; 6, 1; 6, 3; 6, 5; 6, 6; 6, 7
  KOEN АЕС Київобленерго, ПАТ   1, 3; 1, 7; 1, 9; 1, 1; 1, 4; 1.5; 2.1; 2, 3; 2, 4; 2, 5; 3.1; 3, 2; 3, 15; 3, 3; 3, 10; 3, 11; 3, 12; 4, 13; 4, 15; 4, 16; 4, 9; 4, 10; 5, 10; 5, 11; 5, 12; 6, 1; 6, 2; 6, 4; 6, 7; 6, 3
  KORB Корчуватський комбінат будівельних матеріалів, ПАТ   1, 3; 1, 7; 1, 9; 1, 2; 1, 6; 1, 8; 2, 1; 2, 3; 2, 4; 2, 2; 3.1; 3, 2; 3, 15; 3, 5; 3, 6; 3, 7; 4, 13; 4, 15; 4, 11; 4, 12; 4, 8; 5, 10; 5, 11; 5, 12; 6, 1; 6, 2; 6, 4; 6, 7; 6, 8
  KRGZ Кременчукгаз, ПАТ   1, 3; 1, 7; 1, 9; 1, 10; 1, 11; 1, 12; 2.1; 2, 3; 2, 4; 2, 6; 3.1; 3, 2; 3, 15; 3, 4; 3, 8; 3, 9; 4, 13; 4, 15; 4, 14; 4, 17; 4, 9; 5, 10; 5, 11; 5, 12; 6, 1; 6, 2; 6, 4; 6, 7; 6, 9
  KVPR ПBП Кривбасвибухпром, ПАТ   1, 3; 1, 7; 1, 9; 1, 1; 1, 2; 1, 10; 2.1; 2, 3; 2, 4; 2, 5; 3.1; 3, 2; 3, 15; 3, 13; 3, 14; 4, 1-4, 6; 4, 13; 5, 1-5, 8; 5, 12; 6, 1; 6, 2; 6, 4; 6, 7; 6, 10
  KYAN Кияни, ПАТ   1, 3; 1, 7; 1, 9; 1, 1; 1, 4; 1.5; 2.1; 2, 3; 2, 4; 2, 5; 3.1; 3, 2; 3, 15; 3, 3; 3, 10; 3, 11; 3, 12; 4, 13; 4, 15; 4, 16; 4, 9; 4, 10; 5, 10; 5, 11; 5, 12; 6, 1; 6, 2; 6, 4; 6, 7; 6, 11
  LTPL Луганськтепловоз, ПАТ   1, 3; 1, 7; 1, 9; 1, 2; 1, 6; 1, 8; 2, 1; 2, 3; 2, 4; 2, 2; 3.1; 3, 2; 3, 15; 3, 5; 3, 6; 3, 7; 4, 13; 4, 15; 4, 11; 4, 12; 4, 8; 5, 10; 5, 11; 5, 12; 6, 1; 6, 2; 6, 4; 6, 7; 6, 12
  MYCE Миколаївцемент, ПАТ   1, 3; 1, 7; 1, 9; 1, 10; 1, 11; 1, 12; 2.1; 2, 3; 2, 4; 2, 6; 3.1; 3, 2; 3, 15; 3, 4; 3, 8; 3, 9; 4, 13; 4, 15; 4, 14; 4, 17; 4, 9; 5, 10; 5, 11; 5, 12; 6, 1; 6, 2; 6, 4; 6, 7; 6, 13
  OCEA МСЗ Океан, ПАТ   1, 3; 1, 7; 1, 9; 1, 1; 1, 2; 1, 10; 2.1; 2, 3; 2, 4; 2, 5; 3.1; 3, 2; 3, 15; 3, 13; 3, 14; 4, 1-4, 6; 4, 13; 5, 1-5, 8; 5, 12; 6, 1; 6, 2; 6, 4; 6, 7; 6, 14
  PAAZ Полтавський автоагрегатний завод, ПАТ   1, 3; 1, 7; 1, 9; 1, 1; 1, 4; 1.5; 2.1; 2, 3; 2, 4; 2, 5; 3.1; 3, 2; 3, 15; 3, 3; 3, 10; 3, 11; 3, 12; 4, 13; 4, 15; 4, 16; 4, 9; 4, 10; 5, 10; 5, 11; 5, 12; 6, 1; 6, 2; 6, 4; 6, 7; 6, 15
  KREN ДТЕК Крименерго, ПАТ   1, 3; 1, 7; 1, 9; 1, 1; 1, 2; 1, 10; 2.1; 2, 3; 2, 4; 2, 5; 3.1; 3, 2; 3, 15; 3, 3; 3, 10; 3, 11; 3, 12; 4, 13; 4, 15; 4, 16; 4, 9; 4, 10; 5, 10; 5, 11; 5, 12; 6, 1; 6, 3; 6, 5; 6, 6; 6, 7
  KVBZ Крюківський вагонобудівний завод, ПАТ   1, 3; 1, 7; 1, 9; 1, 1; 1, 4; 1.5; 2.1; 2, 3; 2, 4; 2, 5; 3.1; 3, 2; 3, 15; 3, 3; 3, 10; 3, 11; 3, 12; 4, 13; 4, 15; 4, 16; 4, 9; 4, 10; 5, 10; 5, 11; 5, 12; 6, 1; 6, 2; 6, 4; 6, 7; 6, 3
  DOMZ Донецький металургiйний завод, ПАТ   1, 3; 1, 7; 1, 9; 1, 2; 1, 6; 1, 8; 2, 1; 2, 3; 2, 4; 2, 2; 3.1; 3, 2; 3, 15; 3, 5; 3, 6; 3, 7; 4, 13; 4, 15; 4, 11; 4, 12; 4, 8; 5, 10; 5, 11; 5, 12; 6, 1; 6, 2; 6, 4; 6, 7; 6, 8
  LVON Львівобленерго, ПАТ   1, 3; 1, 7; 1, 9; 1, 10; 1, 11; 1, 12; 2.1; 2, 3; 2, 4; 2, 6; 3.1; 3, 2; 3, 15; 3, 4; 3, 8; 3, 9; 4, 13; 4, 15; 4, 14; 4, 17; 4, 9; 5, 10; 5, 11; 5, 12; 6, 1; 6, 2; 6, 4; 6, 7; 6, 9
  MOEN Миколаївобленерго, ПАТ   1, 3; 1, 7; 1, 9; 1, 1; 1, 2; 1, 10; 2.1; 2, 3; 2, 4; 2, 5; 3.1; 3, 2; 3, 15; 3, 13; 3, 14; 4, 1-4, 6; 4, 13; 5, 1-5, 8; 5, 12; 6, 1; 6, 2; 6, 4; 6, 7; 6, 10
  PMK20 Пересувна механізована колона №20, ПАТ   1, 3; 1, 7; 1, 9; 1, 1; 1, 4; 1.5; 2.1; 2, 3; 2, 4; 2, 5; 3.1; 3, 2; 3, 15; 3, 3; 3, 10; 3, 11; 3, 12; 4, 13; 4, 15; 4, 16; 4, 9; 4, 10; 5, 10; 5, 11; 5, 12; 6, 1; 6, 2; 6, 4; 6, 7; 6, 11
  ENUG ДТЕК ПЕМ-Енерговугiлля, ПАТ   1, 3; 1, 7; 1, 9; 1, 2; 1, 6; 1, 8; 2, 1; 2, 3; 2, 4; 2, 2; 3.1; 3, 2; 3, 15; 3, 5; 3, 6; 3, 7; 4, 13; 4, 15; 4, 11; 4, 12; 4, 8; 5, 10; 5, 11; 5, 12; 6, 1; 6, 2; 6, 4; 6, 7; 6, 12
  POLP Полтавська птахофабрика, ПАТ   1, 3; 1, 7; 1, 9; 1, 10; 1, 11; 1, 12; 2.1; 2, 3; 2, 4; 2, 6; 3.1; 3, 2; 3, 15; 3, 4; 3, 8; 3, 9; 4, 13; 4, 15; 4, 14; 4, 17; 4, 9; 5, 10; 5, 11; 5, 12; 6, 1; 6, 2; 6, 4; 6, 7; 6, 13
  PPRD Івано-Франківський завод Промприлад, ПАТ   1, 3; 1, 7; 1, 9; 1, 1; 1, 2; 1, 10; 2.1; 2, 3; 2, 4; 2, 5; 3.1; 3, 2; 3, 15; 3, 13; 3, 14; 4, 1-4, 6; 4, 13; 5, 1-5, 8; 5, 12; 6, 1; 6, 2; 6, 4; 6, 7; 6, 14
  RAZT Рівнеазот, ПАТ   1, 3; 1, 7; 1, 9; 1, 1; 1, 4; 1.5; 2.1; 2, 3; 2, 4; 2, 5; 3.1; 3, 2; 3, 15; 3, 3; 3, 10; 3, 11; 3, 12; 4, 13; 4, 15; 4, 16; 4, 9; 4, 10; 5, 10; 5, 11; 5, 12; 6, 1; 6, 2; 6, 4; 6, 7; 6, 15
  SHMK Бель Шостка Україна, ПАТ   1, 3; 1, 7; 1, 9; 1, 1; 1, 2; 1, 10; 2.1; 2, 3; 2, 4; 2, 5; 3.1; 3, 2; 3, 15; 3, 3; 3, 10; 3, 11; 3, 12; 4, 13; 4, 15; 4, 16; 4, 9; 4, 10; 5, 10; 5, 11; 5, 12; 6, 1; 6, 3; 6, 5; 6, 6; 6, 7
  SLVT Славутич, ПАТ   1, 3; 1, 7; 1, 9; 1, 1; 1, 4; 1.5; 2.1; 2, 3; 2, 4; 2, 5; 3.1; 3, 2; 3, 15;

Поделиться с друзьями:

mylektsii.su - Мои Лекции - 2015-2026 год. (0.326 сек.)Все материалы представленные на сайте исключительно с целью ознакомления читателями и не преследуют коммерческих целей или нарушение авторских прав Пожаловаться на материал