Студопедия

Главная страница Случайная страница

КАТЕГОРИИ:

АвтомобилиАстрономияБиологияГеографияДом и садДругие языкиДругоеИнформатикаИсторияКультураЛитератураЛогикаМатематикаМедицинаМеталлургияМеханикаОбразованиеОхрана трудаПедагогикаПолитикаПравоПсихологияРелигияРиторикаСоциологияСпортСтроительствоТехнологияТуризмФизикаФилософияФинансыХимияЧерчениеЭкологияЭкономикаЭлектроника






Нахождение коэффициента теплоотдачи






 

Экстраполированная высота = 3, 53 + * = 3, 67668 (м).

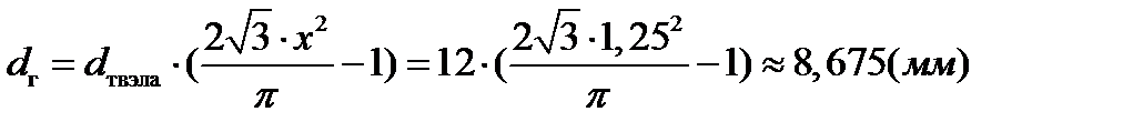
Для расчета коэффициента теплоотдачи необходимо определить характерные размеры решетки, а также некоторые критерии подобия, которые помогут выбрать на расчетную формулу для коэффициента теплоотдачи. Считаем относительный шаг решетки: . Относительный шаг говорит нам о том, что решетка сильно раздвинутая. .

Проходное сечение приходящееся на один твэл равно объему воды на 1 см активной зоны в эквивалентной ячейки (Sтн). По параметрам теплоносителя определяем его теплофизические свойства, используя для этого программу “WaterSteamPro”.

 

Коэффициент теплоотдачи в пучках стержней примем постоянным по высоте, а рассчитывать будем по упрощенным зависимостям, которые приведены в [2].

 

 


Поделиться с друзьями:

mylektsii.su - Мои Лекции - 2015-2026 год. (3.345 сек.)Все материалы представленные на сайте исключительно с целью ознакомления читателями и не преследуют коммерческих целей или нарушение авторских прав Пожаловаться на материал