Студопедия

Главная страница Случайная страница

КАТЕГОРИИ:

АвтомобилиАстрономияБиологияГеографияДом и садДругие языкиДругоеИнформатикаИсторияКультураЛитератураЛогикаМатематикаМедицинаМеталлургияМеханикаОбразованиеОхрана трудаПедагогикаПолитикаПравоПсихологияРелигияРиторикаСоциологияСпортСтроительствоТехнологияТуризмФизикаФилософияФинансыХимияЧерчениеЭкологияЭкономикаЭлектроника






Температура на поверхности ТВЭЛ средней мощности






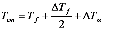
, где -средняя температура в зоне ,

максимальный температурный напор ² стенка-жидкость².

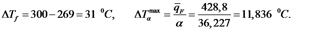
Максимальная температура стенки твэла не должна превышать температуру насыщения ТН при Р = 12, 5 МПа Тнас = 327, 8 º С, чтобы не допустить вскипание ТН. В данном случае запас до закипания составляет 15, 96º С.

; ;

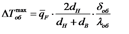
где множитель, корректирующий значение потока на средний диаметр оболочки;

толщина и коэффициент теплопроводности оболочки; диаметр топливной таблетки; λ заз – коэффициент теплопроводности газа, которым заполняется газовый зазор;

Процесс расчета максимального перепада температуры на оболочке твэла итерационный. В первом приближении примем температуру на внутренней стенке оболочки

325 . Тогда средняя температура оболочки По этой

температуре находим из [3, с.320, П31] .

 

Видим, что рассчитанное значение отличается от принятого в первом приближении, поэтому примем полученное значение в качестве истинного и повторим расчет до схождения значений.

.

Максимальный перепад температуры на оболочке твэла примем равной

Процесс расчета перепада температуры в газовом зазоре также итерационный.

В первом приближении примем температуру сердечника 500 .

Тогда средняя температура газового зазора По этой температуре при давлении 2 МПа находим из [3, с.313, П13] .

Толщину газового зазора примем 0, 065 мм. Тогда диаметр топливной таблетки

Видим, что рассчитанное значение значительно отличается от принятого в первом приближении, поэтому примем полученное значение в качестве истинного и повторим расчет до схождения значений.

425, 12 .

.

Видим, что рассчитанное значение значительно отличается от принятого в первом приближении, поэтому примем полученное значение в качестве истинного и повторим расчет до схождения значений.

430, 05 .

.

Перепад температуры в газовом зазоре примем равным

Зная эти два температуры, найдем внутреннюю температуру стенки твэла () и температуру наружной поверхности топливного сердечника ().

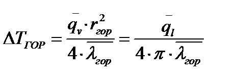
Максимальный радиальный перепад в топливном сердечнике твэла при постоянной теплопроводности и, учитывая распределение тепловыделения по радиусу цилиндрического твэла в виде модифицированной функции Бесселя , можно записать выражение:

.

Если пренебречь зависимостью профиля распределения плотности потока тепловых нейтронов, значение которого в поверхностных слоях топлива более высокое, и взять среднее значение энерговыделения, то получим:

, где средняя теплопроводность горючего при .

 

Диоксида урана :

Процесс расчета температуры топливного сердечника итерационный. В первом приближении примем температуру топливного сердечника 1500 . Тогда средняя температура сердечника

Коэффициент теплопроводности для этой температуры определим в [6, с.36, П4].

Видим, что рассчитанное значение значительно отличается от принятого в первом приближении, поэтому примем полученное значение в качестве истинного и будем повторять расчет до схождения значений.

843, 39 .

Видим, что рассчитанное значение значительно отличается от принятого во втором приближении, поэтому примем полученное значение в качестве истинного и будем повторять расчет до схождения значений.

759, 606 .

Видим, что рассчитанное значение значительно отличается от принятого в третьем приближении, поэтому примем полученное значение в качестве истинного и будем повторять расчет до схождения значений.

749, 126

Сделаем ещё одну итерацию:

747, 94

 

Температуру топливного сердечника примем равной = 747, 82 0С.


Поделиться с друзьями:

mylektsii.su - Мои Лекции - 2015-2026 год. (1.564 сек.)Все материалы представленные на сайте исключительно с целью ознакомления читателями и не преследуют коммерческих целей или нарушение авторских прав Пожаловаться на материал