Студопедия

Главная страница Случайная страница

КАТЕГОРИИ:

АвтомобилиАстрономияБиологияГеографияДом и садДругие языкиДругоеИнформатикаИсторияКультураЛитератураЛогикаМатематикаМедицинаМеталлургияМеханикаОбразованиеОхрана трудаПедагогикаПолитикаПравоПсихологияРелигияРиторикаСоциологияСпортСтроительствоТехнологияТуризмФизикаФилософияФинансыХимияЧерчениеЭкологияЭкономикаЭлектроника






Г) Нарисовать прямую.






КОНТРОЛЬНАЯ РАБОТА № 1

«ОСНОВЫ ЛИНЕЙНОЙ АЛГЕБРЫ И АНАЛИТИЧЕСКОЙ ГЕОМЕТРИИ»

Направление подготовки бакалавров 080400.62 " Управление персоналом", 100700 «Торговое дело (коммерция)».

Форма обучения: заочная

Курс, 2 семестр.

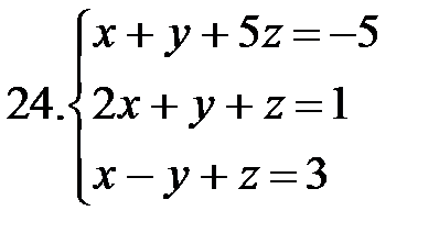
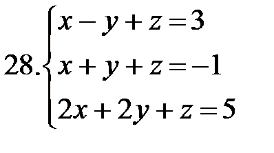
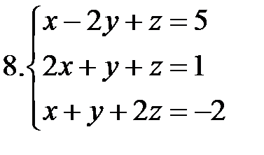
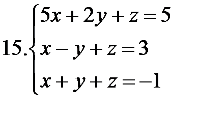
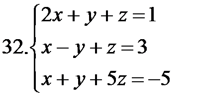
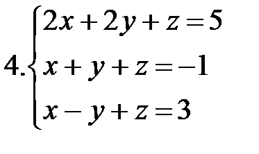
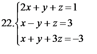
Задание № 1. Проверить совместность системы линейных алгебраических уравнений (кратко СЛАУ) и решить её следующими 4-мя способами:

А) по формулам Крамера, б) методом обратной матрицы, в) методом Гаусса, г) с помощью пакета прикладных математических программ MathCAD(Excel).

 

 

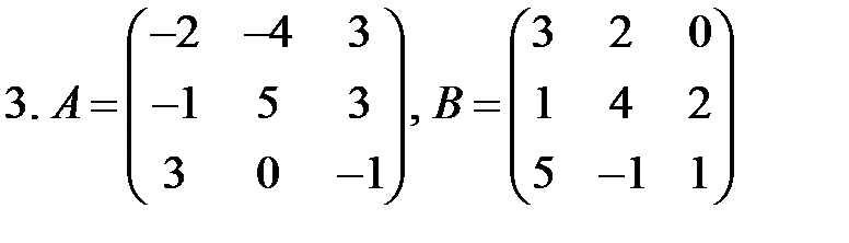
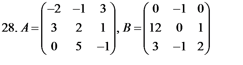
Задание № 2. Даны две матрицы А и В. Найти :

 

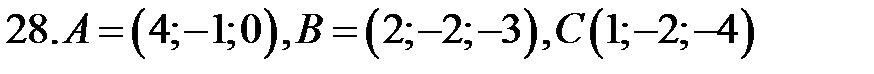
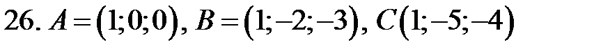
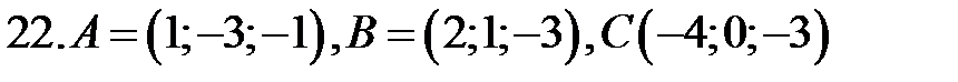
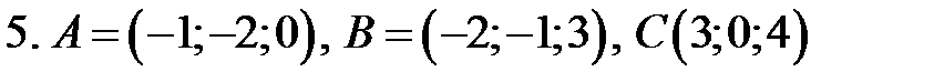
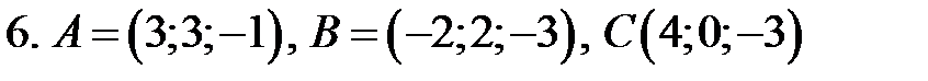
Задание № 3. Даны координаты точек А, В, С. Найти а) ,

б) , в) , г) скалярное произведение векторов .

 

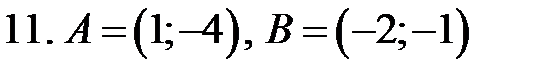
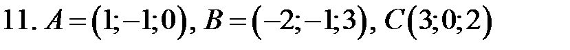
Задание № 4. Даны координаты точек А, В на плоскости. Найти

А) уравнение прямой, проходящей через две данные точки,

Б) угловой коэффициент прямой.

г) Нарисовать прямую.

Задание № 5 (дополнительное). Методом понижения порядка вычислить определители 4-го порядка:

 


Поделиться с друзьями:

mylektsii.su - Мои Лекции - 2015-2026 год. (3.363 сек.)Все материалы представленные на сайте исключительно с целью ознакомления читателями и не преследуют коммерческих целей или нарушение авторских прав Пожаловаться на материал