Студопедия

Главная страница Случайная страница

КАТЕГОРИИ:

АвтомобилиАстрономияБиологияГеографияДом и садДругие языкиДругоеИнформатикаИсторияКультураЛитератураЛогикаМатематикаМедицинаМеталлургияМеханикаОбразованиеОхрана трудаПедагогикаПолитикаПравоПсихологияРелигияРиторикаСоциологияСпортСтроительствоТехнологияТуризмФизикаФилософияФинансыХимияЧерчениеЭкологияЭкономикаЭлектроника






Методические указания к работе. Задание № 2. Даны две матрицы А и В






Задание № 2. Даны две матрицы А и В. Найти :

.

Решение. Произведение имеет смысл, т.к. число строк первой матрицы равно числу столбцов второй:

. По такому же правилу находится

.

Транспонирование матрицы А:

.

 

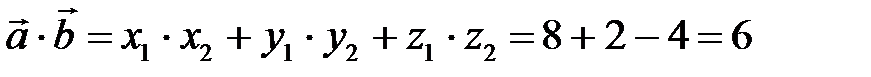
Задание № 3. Даны координаты точек А, В, С. Найти а) ,

б) , в) , г) скалярное произведение векторов .

Решение.

,

,

Если , то .

Если , то

.

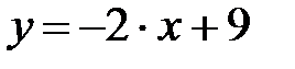
Задание № 4. Даны координаты точек А, В на плоскости. Найти

А) уравнение прямой, проходящей через две данные точки,

Б) угловой коэффициент прямой.

Г) Нарисовать прямую.

Решение. . Через две различные точки прямой можно провести единственную прямую. Запишем уравнение прямой, проходящей через две различные точки, :

.

Угловой коэффициент прямой .

 

 

Литература

Литература дана в электронном виде и есть в библиотеке университета


Поделиться с друзьями:

mylektsii.su - Мои Лекции - 2015-2026 год. (1.247 сек.)Все материалы представленные на сайте исключительно с целью ознакомления читателями и не преследуют коммерческих целей или нарушение авторских прав Пожаловаться на материал