Студопедия

Главная страница Случайная страница

КАТЕГОРИИ:

АвтомобилиАстрономияБиологияГеографияДом и садДругие языкиДругоеИнформатикаИсторияКультураЛитератураЛогикаМатематикаМедицинаМеталлургияМеханикаОбразованиеОхрана трудаПедагогикаПолитикаПравоПсихологияРелигияРиторикаСоциологияСпортСтроительствоТехнологияТуризмФизикаФилософияФинансыХимияЧерчениеЭкологияЭкономикаЭлектроника






Завдання. 1. Скласти принципову електричну схему зазначеного електричного кола






1. Скласти принципову електричну схему зазначеного електричного кола. Окремі елементи кола виділити жирними лініями, а їх з’єднуючі проводи – тонкими лініями. Позначити номери проводів.

2. Скласти розрахункову схему електричного кола, прийнявши наступні припущення:

– опори прямого і зворотнього проводів лінії електропередачі
зосередити в одному місці;

– опорами проводів, що з’єднують елементи кола, знехтувати;

– опором амперметра знехтувати;

– опір вольтметра прийняти дорівнюючим нескінченності.

3. Виконати розрахунок електричного кола:

– визначити електрорушійну силу генератора;

– визначити внутрішній опір генератора;

– визначити опір проводів лінії електропередачі;

– визначити опір електроосвітлювального пристрою;

– визначити силу електричного струму в колі;

– визначити напругу на затисках генератора;

– визначити спадання напруги в лінії електропередачі;

– визначити напругу на затисках електроосвітлювального пристрою;

– визначити потужність, яку розвиває генератор;

– визначити втрати потужності в генераторі;

– визначити втрати потужності в лінії електропередачі;

– визначити потужність, яку споживає електроосвітлювальний
пристрій;

– скласти баланс потужностей електричного кола;

– визначити коефіцієнт корисної дії лінії електропередачі;

– визначити коефіцієнт корисної дії генератора;

– визначити коефіцієнт корисної дії всієї електроустановки;

– визначити кількість електричної енергії, яку споживе
електроосвітлювальний пристрій за 1000 год. роботи.

Варіанти вихідних даних
до тематичного кваліфікаційного комплексного завдання

Таблиця 1.19

Варіанти Вихідні дані
U н.г, В I н.г, А U х, В S, мм 2 l, м r, Р н.о, Вт U н.о, В
            0, 017    
            0, 017    
            0, 029    
            0, 017    
            0, 017    
            0, 029    
            0, 017    
            0, 017    
            0, 029    
            0, 017    
            0, 017    
            0, 029    
            0, 017    
            0, 017    
            0, 029    

Рішення варіанту №

Вихідні дані
U н.г, В I н.г, А U х, В S, мм 2 l, м r, Р н.о, Вт U н.о, В
               

1.

Рисунок 1.5 - Принципова електрична схема кола: G – генератор постійного струму; ЛЕП – лінія електропередачі; ЕL – електроосвітлювальний пристрій; SА – вимикач; РА – амперметр; РV – вольтметр.
РV
РA
+
ЛЕП
ЛЕП
 
 
G
 
 
 
 
 
 
 
ЕL
Складаємо принципову електричну схему зазначеного електричного кола. Окремі елементи кола виділяємо жирними лініями, а їх з’єднуючі проводи – тонкими лініями. Позначаємо номери проводів.

 

2. Складаємо розрахункову схему електричного кола, прийнявши наступні припущення:

– опори прямого і зворотнього проводів лінії електропередачі зосередити в одному місці;

– опорами проводів, що з’єднують елементи кола, знехтувати;

– опором амперметра знехтувати;

I
опір вольтметра прийняти дорівнюючим нескінченності.

R л
R н
Е
R в
 
 
 
 
U в
U г
U л
U н

 

 


Рисунок 1.6 - Розрахункова схема електричного кола:

Е – е.р.с., що розвиває генератор;

R в – внутрішній опір генератора;

R л – опір лінії електропередачі;

R н – опір навантаження (освітлювального пристрою);

I – сила струму в колі;

U в – спадання напруги в генераторі;

U г – напруга на затискачах генератора;

U л – спадання напруги в лінії електропередачі;

U н – напруга на затискачах навантаження (освітлювального пристрою).

 

 

3. Виконуємо розрахунок електричного кола:

– визначаємо електрорушійну силу генератора:

Е = U х, (1)

где Е – е.р.с., що розвиває генератор, В;

U х – напруга на затискачах генератора при холостому ході, В;

Е =

– визначаємо внутрішній опір генератора:

, (2)

де R в – внутрішній опір генератора, Ом;

U в.н.г – спадання напруги в генераторі при номинальному струмі, В;

U н.г – номінальна напруга генератора, В;

I н.г – номинальная сила тока генератора, А;

 

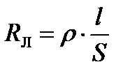
– визначаємо опір проводів лінії електропередачі:

, (3)

де R л – опір проводів лінії електропередачі, Ом;

r – питомий опір проводів лінії електропередачі, ;

l – загальна довжина проводів лінії електропередачі, м;

S – площа поперечного перерізу проводу лінії електропередачі, мм 2;

 

– визначаємо опір електроосвітлювального пристрою:

Þ , (4)

де R н – опір навантаження (освітлювального пристрою), Ом;

U н.о – номінальна напруга на затискачах освітлювального пристрою, В;

 

– визначаємо силу електричного струму в колі:

, (5)

де I – сила струму в колі, А;

 

– визначаємо напругу на затискачах генератора:

, (6)

де U г – напруга на затискачах генератора, В;

– визначаємо спадання напруги в лінії електропередачі:

, (7)

де U л – спадання напруги в лінії електропередачі, В;

 

– визначаємо напругу на затискачах електроосвітлювального пристрою:

, (8)

де U н – напруга на затисках освітлювального пристрою
(навантаження), В;

 

– визначаємо потужність, яку розвиває генератор:

, (9)

де Р – потужність, що розвиває генератор, Вт;

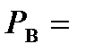
– визначаємо втрати потужності в генераторі:

, (10)

де Р в – втрати потужності в генераторі, Вт;

 

– визначаємо втрати потужності в лінії електропередачі:

, (11)

де Р л – втрати потужності в лінії електропередачі, Вт;

 

– визначаємо потужність, яку споживає електроосвітлювальний пристрій:

, (12)

де Р н – потужність, що споживає освітлювальний пристрій, Вт;

– складаємо баланс потужностей електричного кола:

; (13)

 

 

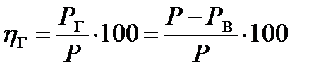
– визначаємо коефіцієнт корисної дії лінії електропередачі:

, (14)

де h л – коефіцієнт корисної дії лінії електропередачі, %;

Р г – потужність, що генератор віддає в лінію електропередачі, Вт;

 

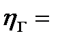
– визначаємо коефіцієнт корисної дії генератора:

, (15)

де h г – коефіцієнт корисної дії генератора, %;

– визначаємо коефіцієнт корисної дії всієї електроустановки:

, (16)

де h у – коефіцієнт корисної дії всієї електроустановки, %;

 

– визначаємо кількість електричної енергії, яку споживе електроосвітлювальний пристрій за 1000 год. роботи:

, (17)

де W н – кількість електричної енергії, що споживе навантаження за 1000 годин роботи, кВт× год.;


Поделиться с друзьями:

mylektsii.su - Мои Лекции - 2015-2026 год. (5.477 сек.)Все материалы представленные на сайте исключительно с целью ознакомления читателями и не преследуют коммерческих целей или нарушение авторских прав Пожаловаться на материал