Главная страница
Случайная страница
КАТЕГОРИИ:
АвтомобилиАстрономияБиологияГеографияДом и садДругие языкиДругоеИнформатикаИсторияКультураЛитератураЛогикаМатематикаМедицинаМеталлургияМеханикаОбразованиеОхрана трудаПедагогикаПолитикаПравоПсихологияРелигияРиторикаСоциологияСпортСтроительствоТехнологияТуризмФизикаФилософияФинансыХимияЧерчениеЭкологияЭкономикаЭлектроника
|
Розрахунок нерозгалужених трифазних кіл синусоїдного струму
Переключення навантаження із зірки на трикутник
Завданняінформаційно-репродуктивного характеру
Таблиця 4.3
| Номер
запитання, завдання
| Запитання, завдання
| Номер
вірної відповіді
| | Трифазне симетричне навантаження одержує живлення від ідеального трифазного симетричного генератора за допомогою ідеальної лінії електропередачі. Генератор з'єднаний зіркою, навантаження з'єднане зіркою, лінія електропередачі трипровідна.
Діюче значення е.р.с. у фазі А генераторра дорівнює ЕА. Активний опір фази а навантаження дорівнює rа, індуктивний опір фази а навантаження дорівнює ха.
| | 1.
| Складіть розрахункову схему трифазного кола.
|
| | 2.
| Складіть розрахункову схему фази А – а трифазного кола.
|
| | 3.
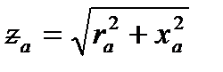
| Запишіть вираз для розрахунку повного опору фази а навантаження.
|
| | 4.
| Запишіть вираз для розрахунку коефіцієнта потужності фази а навантаження через його параметри.
|
| | 5.
| Запишіть вираз для розрахунку діючого значення сили струму фази а навантаження.
|
| | 6.
| Запишіть вираз для розрахунку діючого значення напруги фази а навантаження.
|
| | 7.
| Запишіть вираз для розрахунку діючого значення напруги між фазами а і b навантаження.
|
| | 8.
| Запишіть вираз для розрахунку активної потужності фази а навантаження.
|
| | 9.
| Запишіть вираз для розрахунку активної потужності навантаження.
|
| | 10.
| Запишіть вираз для розрахунку реактивної потужності фази а навантаження.
|
| | 11.
| Запишіть вираз для розрахунку реактивної потужності навантаження.
|
| | 12.
| Запишіть вираз для розрахунку повної потужності фази а навантаження.
|
| | 13.
| Запишіть вираз для розрахунку повної потужності навантаження.
|
| | 14.
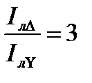
| Як зміняться споживані струми навантаження при переключенні його фаз із зірки на трикутник?
|
| | 15.
| Як зміняться споживані потужності навантаження при переключенні його фаз із зірки на трикутник?
|
| У разі вірного виконання завдань Σ непарних – Σ парних = 19.
Таблиця 4.3а
Завданняпрактично-стереотипного характеру
Таблиця 4.4
| Номер
запитання, завдання
| Запитання, завдання
| Номер
вірної відповіді
| | Трифазне симетричне навантаження одержує живлення від ідеального трифазного симетричного генератора за допомогою ідеальної лінії електропередачі. Генератор з'єднаний зіркою, навантаження з'єднане зіркою, лінія електропередачі трипровідна. Активний опір фази навантаження дорівнює 6 Ом, індуктивний опір фази навантаження дорівнює 8 Ом. Вольтметр, включений між початками фаз А і В генератора, показав 346 В.
| | 1.
| Складіть розрахункову схему кола.
|
| | 2.
| Визначте діючі значення лінійних напруг генератора в вольтах.
|
| | 3.
| Визначтедіючі значення фазних напруг генератора в вольтах.
|
| | 4.
| Визначтедіючі значення фазних напруг навантаження.
|
| | 5.
| Запишіть вирази миттєвих значень фазних напруг навантаження, прийнявши yu.a = 0.
|
| | 6.
| Визначтедіючі значення лінійних напруг навантаження.
|
| | 7.
| Запишіть вирази миттєвих значень лінійних напруг навантаження.
|
| | 8.
| Визначтеповні опори фаз навантаження в омах.
|
| | 9.
| Визначтедіючі значення сил фазних струмів навантаження в амперах.
|
| | 10.
| Визначтедіючі значення сил лінійних струмів.
|
| | 11.
| Визначтекут зсуву фаз між фазним струмом і фазною напругою навантаження.
|
| | 12.
| Запишіть вирази миттєвих сил фазних струмів навантаження.
|
| | 13.
| Побудуйте векторну діаграму напруг навантаження (для діючих значень).
|
| | 14.
| Визначтекоефіцієнт потужності навантаження.
|
| | 15.
| Визначтеактивну потужність навантаження в ватах.
|
| | 16.
| Визначтереактивну потужність навантаження в вольт-амперах реактивних.
|
| | 17.
| Визначтеповну потужність навантаження в вольтамперах.
|
| У разі вірного виконання завдань Σ непарних – Σ парних = 1.
Таблиця 4.4а
| Номер
відповіді
| Відповіді
| | 1.
| 20.
| | 2.
| 0, 6.
| | 3.
| +
+
|
| | 4.
| 53°.
| | 5.
| 9 600.
| | 6.
| 28, 2sіn(wt – 53°);
28, 2sіn(wt – 173°);
28, 2sіn(wt – 293°).
| | 7.
| 7 200.
| | 8.
| 12 000.
| | 9.
|
| | 10.
| 346 В.
| | 11.
| 20 А.
| | 12.
| 200 В.
| | 13.
| 488sіn(wt + 30°);
488sіn(wt – 90°);
488sіn(wt – 210°).
| | 14.
| 200.
| | 15.
| 10.
| | 16.
| 282sіn wt;
282sіn(wt – 120°);
282sіn(wt – 240°).
| | 17.
| 346.
| Завданняінформаційно-репродуктивного характеру
Таблиця 4.5
| Номер
запитання, завдання
| Запитання, завдання
| Номер
вірної відповіді
| | Трифазне симетричне навантаження одержує живлення від ідеального трифазного симетричного генератора за допомогою ідеальної лінії електропередачі. Генератор з'єднаний зіркою, навантаження з'єднане трикутником, лінія електропередачі трипровідна.
Діюче значення е.р.с. у фазі А генератора дорівнює ЕА. Активний опір фази аb навантаження дорівнює rаb, індуктивний опір фази аb навантаження дорівнює хаb.
| | 1.
| Складіть розрахункову схему трифазного кола.
|
| | 2.
| Запишіть вираз для розрахунку повного опору фази аb навантаження.
|
| | 3.
| Запишіть вираз для розрахунку коефіцієнта потужності фази аb навантаження через його параметри.
|
| | 4.
| Запишіть вираз для розрахунку діючого значення фазної (лінійної) напруги на затискачах а і b навантаження.
|
| | 5.
| Запишіть вираз для розрахунку діючого значення сили струму фази аb навантаження.
|
| | 6.
| Запишіть вираз для розрахунку діючого значення лінійного струмуу проводі А – а кола.
|
| | 7.
| Запишіть вираз для розрахунку активної потужності фази аb навантаження.
|
| | 8.
| Запишіть вираз для розрахунку активної потужності навантаження.
|
| | 9.
| Запишіть вираз для розрахунку реактивної потужності фази аb навантаження.
|
| | 10.
| Запишіть вираз для розрахунку реактивної потужності навантаження.
|
| | 11.
| Запишіть вираз для розрахунку повної потужності фази аb навантаження.
|
| | 12.
| Запишіть вираз для розрахунку повної потужності навантаження.
|
| | 13.
| Як зміняться споживані струми навантаження при переключенні його фаз з трикутникана зірку?
|
| | 14.
| Як зміняться споживані потужності навантаження при переключенні його фаз з трикутникана зірку?
|
| У разі вірного виконання завдань Σ непарних – Σ парних = –3.
Таблиця 4.5а
Завданняпрактично-стереотипного характеру
Таблиця 4.6
| Номер
запитання, завдання
| Запитання, завдання
| Номер
вірної відповіді
| | Трифазне симетричне навантаження одержує живлення від ідеального трифазного симетричного генератора за допомогою ідеальної лінії електропередачі. Генератор з'єднаний зіркою, навантаження з'єднане трикутником, лінія електропередачі трипровідна. Активний опір фази навантаження дорівнює 8 Ом, індуктивний опір фази навантаження дорівнює 6 Ом. Вольтметр, включений між початками фаз А і В генератора, показав 200 В.
| | 1.
| Складіть розрахункову схему кола.
|
| | 2.
| Визначіть діючі значення лінійних напруг генератора в вольтах.
|
| | 3.
| Визначтедіючі значення фазних напруг генератора в вольтах.
|
| | 4.
| Визначтедіючі значення фазних (лінійних) напруг навантаження.
|
| | 5.
| Запишіть вирази миттєвих значень фазних напруг навантаження, прийнявши yu.ab = 45°.
|
| | 6.
| Визначтеповні опори фаз навантаження в омах.
|
| | 7.
| Визначтедіючі значення сил фазних струмів навантаження в амперах.
|
| | 8.
| Визначтекут зсуву фаз між фазним струмом і фазною напругою навантаження.
|
| | 9.
| Запишіть вирази миттєвих сил фазних струмів навантаження.
|
| | 10.
| Визначтедіючі значення сил лінійних струмів.
|
| | 11.
| Запишіть вирази миттєвих сил фазних струмів навантаження.
|
| | 12.
| Побудуйте векторну діаграму напруг навантаження (для діючих значень).
|
| | 13.
| Визначтекоефіцієнт потужності навантаження.
|
| | 14.
| Визначтеактивну потужність навантаження в ватах.
|
| | 15.
| Визначтереактивну потужність навантаження в вольт-амперах реактивних.
|
| | 16.
| Визначтеповну потужність навантаження в вольтамперах.
|
| У разі вірного виконання завдань Σ непарних – Σ парних = 2.
Таблиця 4.6а
| Номер
відповіді
| Відповіді
| | 1.
| 200.
| | 2.
|
| | 3.
| 0, 8.
| | 4.
| 48, 8sіn(wt –22°);
48, 8sіn(wt – 142°);
48, 8sіn(wt – 262°).
| | 5.
|
| | 6.
| 282sіn(wt +45°);
282sіn(wt – 75°);
282sіn(wt – 195°).
| | 7.
| 12 000.
| | 8.
| 10.
| | 9.
| 200 В.
| | 10.
| 20.
| | 11.
| 7 200.
| | 12.
| 37°.
| | 13.
| 9 600.
| | 14.
| 28, 2sіn(wt +8°);
28, 2sіn(wt – 112°);
28, 2sіn(wt – 232°).
| | 15.
| 34, 6.
| | 16.
| 115, 6.
| Завданнялогічно-понятійного характеру
Таблиця4.7
| Номер
запитання, завдання
| Запитання, завдання
| Номер
вірної відповіді
| | Трифазне симетричне електричне коло змінного синусоїдного струму містить ідеальний генератор, з’єднаний зіркою, ідеальну трипровіду лінію електропередачі і трифазне навантаження, з’єднане зіркою, з регульованими опорами.
Провести порівняльний аналіз режимів роботи генератора іприймача (реальної котушки) за наступним алгоритмом, вибравши відповіді з таблиці 4.7 а.
| | 1.
| Яким загальним поняттям можна об'єднати генератор і приймач електричної енергії?
|
| | 2.
| Приведіть десять ознаки подібності режимів роботи генератора і приймачаелектричної енергії.
|
| | 3.
| Приведіть ознаку розходження режимів роботи генератора і приймачаелектричної енергії.
|
| | 4.
| Виділіть головну ознаку подібності режимів роботи генератора і приймача електричної енергії.
|
| | 5.
| Обґрунтуйте головну ознаку подібності режимів роботи генератора і приймача електричної енергії.
|
| | 6.
| Виділіть головну ознаку розходження режимів роботи генератора і приймача електричної енергії.
|
| | 7.
| Обґрунтуйте головну ознаку розходження режимів роботи генератора і приймача електричної енергії.
|
| | 8.
| Виділіть три шляхи взаємодії генератора і приймача електричної енергіїміж собою.
|
| | 9.
| Установіть причинно-наслідковий зв'язок режимів роботи генератора і приймача електричної енергії.
|
| У разі вірного виконання завдань Σ непарних – Σ парних = –110.
Таблиця4.7 а
| Номер
відповіді
| Відповіді
| -
| За допомогою електричного поля.
| -
| Перетворювачі енергії.
| -
| Зміною е.р.с.
| -
| Однакові фазні струми.
| -
| Різні фазні струми.
| -
| Однакові лінійні струми.
| -
| Різні лінійні струми.
| -
| Зміною опору навантаження.
| -
| Різні перетворювання енергії.
| -
| Причиною зміни режиму роботи може бути як джерело, так і приймач.
| -
| Функціональне призначення.
| -
| Різні фазні напруги на затискачах.
| -
| Однакові фазні напруги на затискачах.
| -
| Різні лінійні напруги на затискачах.
| -
| Однакові лінійні напруги на затискачах.
| -
| Елемент електричного кола.
| -
| Є вільні заряди.
| -
| Різні активні потужності.
| -
| Однакові активні потужності.
| -
| Різні реактивні потужності.
| -
| Однакові реактивні потужності.
| -
| Різні повні потужності.
| -
| Однакові повні потужності.
| -
| Однакові коефіцієнти потужності.
| -
| Різні коефіцієнти потужності.
|
|