Студопедия

Главная страница Случайная страница

КАТЕГОРИИ:

АвтомобилиАстрономияБиологияГеографияДом и садДругие языкиДругоеИнформатикаИсторияКультураЛитератураЛогикаМатематикаМедицинаМеталлургияМеханикаОбразованиеОхрана трудаПедагогикаПолитикаПравоПсихологияРелигияРиторикаСоциологияСпортСтроительствоТехнологияТуризмФизикаФилософияФинансыХимияЧерчениеЭкологияЭкономикаЭлектроника






Завдання. 1. Для заданого значення сили струму визначити напруженість магнітного поля.






1. Для заданого значення сили струму визначити напруженість магнітного поля.

2. З кривої намагнічування визначити магнітну індукцію в магнітопроводі.

3. Визначити магнітний потік у магнітопроводі.

4. Визначити магнітну проникність матеріалу магнітопроводу
для заданого значення сили струму.

5. Розрахувати і побудувати h = f (i),
задавшись частковими значеннями сили струму від заданого.

6. Розрахувати і побудувати в = f (i),
задавшись частковими значеннями сили струму від заданого.

7. Розрахувати і побудувати m с = f (i),
задавшись частковими значеннями сили струму від заданого.

 

Варіанти вихідних даних

до тематичного комплексного кваліфікаційного завдання

Таблиця 5.8

Варіанти Вихідні дані
I, A w l, см S, см 2
         
         
         
         
         
  1, 5      
         
  1, 2      
         
         
         
         
         
         
  3, 2      

 

Рішення варіанту №

Вихідні дані
I, A w l, см S, см 2
       

 

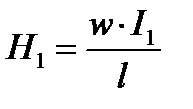
1. Для заданого значення сили струму визначаємо напруженість
магнітного поля:

Þ ;

 

2. З кривої намагнічування визначаємо магнітну індукцію в магнітопроводі:

Н = Þ В =

 

3. Визначаємо магнітний потік у магнітопроводі:

Ф = В × S; Ф =

 

4. Визначаємо магнітну проникність матеріалу магнітопроводу для заданого значення сили струму:

 

Þ ;

 

5. Розраховуємо і будуємо Н = f (І),
задавшись частковими значеннями сили струму від заданого:

;

;

;

;

;

;

;

Результати розрахунків зводимо у таблицю 5.9.

Таблиця 5.9

Н, А/м              
I, А              

 

Представимо графічно залежність Н = f (І) на рисунку 5.3.

 

Н
I
А/м
А

 

 


Рис.5.3. Залежність Н = f (І).

 

6. Розраховуємо і будуємо В = f (І),
задавшись частковими значеннями сили струму від заданого:

 

Значення магнітної індукції знаходимо з кривої намагнічування для визначених вище значень напруженості магнітного поля

 

Н 1 = Þ В 1 =

Н 2 = Þ В 2 =

Н 3 = Þ В 3 =

Н 4 = Þ В 4 =

Н 5 = Þ В =

Н 6 = Þ В 6 =

Н 7 = Þ В 7 =

Результати розрахунків зводимо у таблицю 5.10.

Таблиця 5.10

В, Тл              
I, А              

 

Представимо графічно залежність В = f (І) на рисунку 5.4.

В
I
Тл
А

 


Рис.5.4. Залежність В = f (І).

7. Розраховуємо і будуємо m с = f (І),
задавшись частковими значеннями сили струму від заданого:

;

;

;

;

;

;

;

Результати розрахунків зводимо у таблицю 5.11.

Таблиця 5.11

m с, Гн/м              
I, А              

m с
I
Гн/м
А
Представимо графічно залежність m с = f (І) на рисунку 5.5.

 

 

Рис.5.5. Залежність m с = f (І).

 


Поделиться с друзьями:

mylektsii.su - Мои Лекции - 2015-2026 год. (3.204 сек.)Все материалы представленные на сайте исключительно с целью ознакомления читателями и не преследуют коммерческих целей или нарушение авторских прав Пожаловаться на материал