Студопедия

Главная страница Случайная страница

КАТЕГОРИИ:

АвтомобилиАстрономияБиологияГеографияДом и садДругие языкиДругоеИнформатикаИсторияКультураЛитератураЛогикаМатематикаМедицинаМеталлургияМеханикаОбразованиеОхрана трудаПедагогикаПолитикаПравоПсихологияРелигияРиторикаСоциологияСпортСтроительствоТехнологияТуризмФизикаФилософияФинансыХимияЧерчениеЭкологияЭкономикаЭлектроника






Трифазний силовий трансформатор






Завданняінформаційно-репродуктивного характеру

Таблиця 8.5

Номер запитання, завдання Запитання, завдання Номер вірної відповіді
1. Опишіть конструктивну схему трансформатора.  
2. За якими схемами з'єднують первинні і вторинні обмотки трансформатора?  
3. Опишіть принцип дії трансформатора.  
4. Перелічте фізичні явища, які спостерігаються в первинних обмотках трансформатора.  
5. Перелічте фізичні явища, які спостерігаються у вторинних обмотках трансформатора.  
6. Перелічте фізичні явища, які спостерігаються в магнітопроводі трансформатора.  
7. Складіть енергетичну діаграму трансформатора.  
8. Перелічте номінальні параметри трифазного силового трансформатора.  
9. Приведіть зображення трансформатора на принциповій електричній схемі.  

У разі вірного виконання завдань Σ непарних – Σ парних =17.

Таблиця 8.5 а

Номер відповіді Відповіді
1. Електричного струму, електромагнетизму, електромагнітної індукції (самоіндукції), теплової дії струму.
2. Повна потужність, частота живильної мережі, діючі значення напруг обмоток, діючі значення струмів обмоток, напруга короткого замикання, група з'єднання.
3. Має магнітопровід, який складається із трьох стрижнів, об'єднаних зверху та знизу ярмами. На кожному стрижні розташовані первинна та вторинна обмотки однієї фази.
4. Електромагнітної індукції (взаємної індукції), електричного струму, електромагнетизму, теплової дії струму
5. За схемами зірки або трикутника.
6. Електромагнітної індукції, вихрових струмів, електромагнітної сили від дії вихрових струмів, теплової дії вихрових струмів, гістерезису, теплової дії гістерезису
7. На первинні обмоттки подається трифазна симетрична напруга, під дією якої в нихпротікають змінні електричні струми, зсунені за фазою на 120°, якіпризводять до виникнення магнітних потоків, зсунених за фазою на 120°. Магнітні потоки замикаються по магнітопроводу, пронизують витки первинних і вторинних обмоток і наводять у них змінні е.р.с.
8.
М
А
В
С
Т
а
b
с

   
9.
D Р мг
Р 1
Р 2
D Р ел1
D Р ел2

 

 

 

8.3 Вимірювальний трансформатор напруги

8.4 Вимірювальний трансформатор струму

Завданняінформаційно-репродуктивного характеру

Таблиця 8.6

Номер запитання, завдання Запитання, завдання Номер вірної відповіді
1. Для чого призначений вимірювальний трансформатор напруги?  
2. У якому режимі працює вимірювальний трансформатор напруги?  
3. Запишіть вираз для визначення коефіцієнта трансформації вимірювального трансформатора напруги.  
4. Складіть принципову електричну схему включення вольтметра у високовольтну мережу за допомогою вимірювального трансформатора напруги.  
5. Як враховується коефіцієнт трансформації вимірювального трансформатора напруги при вимірюваннях?  
6. Для чого призначений вимірювальний трансформатор струму?  
7. У якому режимі працює вимірювальний трансформатор струму?  
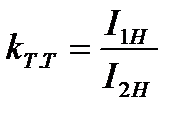
8. Запишіть вираз для визначення коефіцієнта трансформації вимірювального трансформатора струму.  
9. Складіть принципову електричну схему включення амперметра у високовольтну мережу за допомогою вимірювального трансформатора струму.  
10. Як враховується коефіцієнт трансформації вимірювального трансформатора струму при вимірюваннях?  

У разі вірного виконання завдань Σ непарних – Σ парних = –8.

Таблиця 8.6 а

Номер відповіді Відповіді
1. У режимі короткого замикання.
2.
РA
Л1
Л2
И1
И2
А
ТА
А

 

 

3. Показання вимірювальних приладів, включених у вторинне коло вимірювального трансформатора напруги, необхідно множити на його коефіцієнт трансформації.
4. Для розширення меж вимірювання амперметрів, ватметрів та інших вимірювальних приладів, а також для включення у високовольтних мережах пристроїв захисту та автоматики.
5. .
6. У режимі холостого ходу.
7. .
8. Показання вимірювальних приладів, включених у вторинне коло вимірювального трансформатора струму, необхідно множити на його коефіцієнт трансформації.
9.
FU2
ТV
А
В
FU1
РV

 

 

10. Для розширення меж вимірювань вольтметрів, ватметрів та інших вимірювальних приладів, а також для включення у високовольтних мережах пристроїв захисту та автоматики.

Завданняпрактично-стереотипного характеру

Таблиця 8.7

Номер запитання, завдання Запитання, завдання Номер вірної відповіді

Високовольтне навантаження включене в мережу. У коло навантаження через вимірювальні трансформатори струму 100/5 А и напруги 1000/100 В включені наступні прилади: амперметр (межа вимірювання – 5 А, кількість поділок на шкалі – 100), вольтметр (межа вимірювання – 150 В, кількість поділок на шкалі – 100), ватметр (межі вимірювання за струмом – 5 А, за напругою – 150 В, кількість поділок на шкалі – 150). При вимірюваннях стрілка амперметра відхилилася на 80 поділок, стрілка вольтметра відхилилася на 90 поділок, стрілка ватметра відхилилася на 70 поділок.

FU1
КV
*U
U
*I
I
РW
Л1
Л2
И1
И2
ТА1
ТV
А
В
~
РV
FU2
Л1
Л2
И1
И2
ТА2
РA

 

1. Визначтеціну поділки амперметра в амперах, поділених на полілку, з точністю до сотих.  
2. Визначтеціну поділки вольтметра у вольтах, поділених на полілку, з точністю до десятих.  
3. Визначтеціну поділки ватметра у ватах, поділених на полілку, з точністю до одиниць.  
4. Визначтекоефіцієнти трансформації вимірювальних трансформаторів струму з точністю до одиниць.  
5. Визначтекоефіцієнт трансформації вимірювального трансформатора напруги з точністю до одиниць.  
6. Визначтесилу струму, що споживає навантаження, в амперах з точністю до одиниць.  
7. Визначтенапругу на затискачах навантаження у вольтах з точністю до одиниць.  
8. Визначтеповну потужність, яку споживає навантаження, у вольт-амперах з точністю до одиниць.  
9. Визначтеактивну потужність, яку споживає навантаження, у ватах з точністю до одиниць.  
10. Визначтереактивну потужність, яку споживає навантаження, у вольт-амперах реактивних з точністю до одиниць.  
11. Визначтекоефіцієнт потужності навантаження з точністю до сотих.  

У разі вірного виконання завдань Σ непарних – Σ парних = 0.

Таблиця 8.7 а

Номер відповіді Відповіді
1. 89 800.
2. 10.
3. 0, 56.
4. 60 000.
5. 5.
6. 20.
7. 108 000.
8. 0, 05.
9. 80.
10. 1, 5.
11. 1 350.

Поделиться с друзьями:

mylektsii.su - Мои Лекции - 2015-2026 год. (1.418 сек.)Все материалы представленные на сайте исключительно с целью ознакомления читателями и не преследуют коммерческих целей или нарушение авторских прав Пожаловаться на материал