Студопедия

Главная страница Случайная страница

КАТЕГОРИИ:

АвтомобилиАстрономияБиологияГеографияДом и садДругие языкиДругоеИнформатикаИсторияКультураЛитератураЛогикаМатематикаМедицинаМеталлургияМеханикаОбразованиеОхрана трудаПедагогикаПолитикаПравоПсихологияРелигияРиторикаСоциологияСпортСтроительствоТехнологияТуризмФизикаФилософияФинансыХимияЧерчениеЭкологияЭкономикаЭлектроника






Лабораторна робота № 7. 1.Опис експериментальної установки






1.Опис експериментальної установки

Експериментальна установка містить однофазний трансформатор Т, для якого відома кількість витків первинної обмотки w1, джерело однофазної змінної напруги частотою 50 Гц і реостат навантаження РН. У первинному колі трансформатора для захисту і комутації передбачений однофазний автоматичний вимикач SF. У вторинному колі трансформатора для комутації передбачений вимикач SА. Для вимірювання напруги передбачений вольтметр зі щупами РV.

Т
А
N
~
SF
РН
РV
 
 
 
 
 
 
 
 
 
Принципова електрична схема експериментальної установки наведена на рисунку 8.1.

 

 

Рисунок 8.1 - Принципова електрична схема експериментальної установки.

Для складання схеми необхідно мати 9 провідників (на схемі позначені номерами 1-9).

 

2. Завдання з виконання експериментального дослідження

2.1 Зібрати схему експериментальної установки.

2.2 Включити трансформатор на холостому ході (вимикач SF замкнений, вимикачSАрозімкнений).

 

2.3 Виміряти напруги на затискачах первинної і вторинної обмоток
(U 1х.х, U 2х.х).

 

 

2.4 Виключити трансформатор (розімкнути вимикач SF).

2.5 Підключити до трансформатора навантаження (замкнути вимикач ,
а реостат РН виставити у середнє положення).

 

2.6 Включити трансформатор у режимі навантаження (замкнути вимикач SF).

 

2.7 Виміряти напруги на затискачах первинної і вторинної обмоток
(U 1нав, U 2нав).

 

 

2.8 Виключити трансформатор (розімкнути вимикач SF).

 

2.9 Визначити коефіцієнт трансформації трансформатора, використовуючи рівняння:

.

 

2.10 Визначити кількість витків вторинної обмотки трансформатора, використовуючи рівняння:

.

 

 

2.11 Визначити втрату напруги у вторинній обмотці трансформатора в режимі навантаження, використовуючи рівняння:

.

 

 

2.12 Занести отримані значення в таблицю 8.8.

 

Таблиця 8.8

№ п/п Фізичні величини, що характеризують установку
w 1 U 1х.х, В U 2х.х, В U 1нав, В U 2нав, В k т w 2
               

ТЕМАТИЧНЕ КОМПЛЕКСНЕ КВАЛІФІКАЦІЙНЕ ЗАВДАННЯ

Умова

Споживча трансформаторна підстанція живиться лінійною напругою 10 кВ. Схема з'єднання первинних обмоток трифазного трансформатора – «зірка». Схема з'єднання вторинних обмоток трифазного трансформатора – «зірка з виведеним нулем». Лінійна напруга на вторинній стороні трансформатора 380 В. Первинні обмотки трансформатора живляться через роз'єднувач і плавкі запобіжники. На вторинній стороні трансформатора встановлені автоматичний вимикач і три трансформатори струму. Напруга подається на збірні шини. Через автоматичний вимикач і магнітний пускач живиться трифазний електродвигун насосної станції. Через інший автоматичний вимикач живиться шість освітлювальних ламп насосної станції – по дві лампи на кожну фазу. Технічні дані електродвигуна: номінальна потужність Р , номінальний к.к.д. h н, номінальний коефіцієнт потужності cos j н, номінальна фазна напруга 220 В, схема з'єднання – Y. Технічні дані освітлювальної лампи: номінальна потужність Р н, номінальна напруга 220 В. Для вимірювання сил струмів передбачені амперметри, включені у вторинні обмотки трансформаторів струму. Для вимірювання фазних напруг передбачені три вольтметри.

Завдання

1. Скласти принципову електричну схему описаного трифазного кола.

2. Визначити активну потужність, споживану електродвигуном.

3. Визначити реактивну потужність, споживану електродвигуном.

4. Визначити активну потужність, споживану освітлювальними лампами.

5. Визначити сумарну активну потужність, споживану електродвигуном і лампами.

6. Визначити повну потужність, споживану електродвигуном і лампами.

7. Визначити коефіцієнт потужності всього навантаження.

8. Вибрати потужність трансформатора.

9. Визначити лінійний (фазний) струм трансформатора на вторинній стороні.

Варіанти вихідних даних

до тематичного комплексного кваліфікаційного завдання

Таблиця 8.9

Варіанти Вихідні дані
Р , кВт cos j н h н Р н, кВт
  0, 75 0, 88 0, 79 1, 5
  1, 1 0, 87 0, 815 1, 0
  0, 55 0, 88 0, 84 0, 8
  0, 75 0, 88 0, 855 0, 4
  0, 37 0, 89 0, 870 0, 6
  0, 55 0, 89 0, 875 0, 8
  1, 5 0, 9 0, 875 1, 0
  2, 2 0, 76 0, 885 1, 2
  1, 1 0, 79 0, 740 1, 5
  1, 5 0, 82 0, 785 1, 0
  0, 75 0, 84 0, 815 0, 8
  1, 1 0, 86 0, 835 0, 6
    0, 88 0, 855 0, 4
  2, 2 0, 88 0, 870 0, 5
  1, 5 0, 72 0, 870 0, 8

 

Рішення варіанту№

Вихідні дані
Р , кВт cos j н h н Р н, кВт
       

 

1. Складаємо принципову електричну схему описаного трифазного кола:

А
В
С
Т
а
b
с
n
Л1
Л2
И1
И2
РA 1
ТА1 … ТА3
 
ЕL2
 
ЕL1
QF1
Л1
Л2
И1
И2
РA 2
Л1
Л2
И1
И2
РA 3
 
ЕL4
 
ЕL3
 
ЕL6
 
ЕL5
QS
А
В
С
FU1…FU3
SB1
QF3
КМ
КМ
SB2
FU4
М
КМ
 
 
 
 
 
 
 
 
 
 
 
 
 
РМ
w
 
 
 
 
 
 
 
 
 
 
 
 
 
 
 
 
 
 
 
 
 
 
 
 
 
 
 
 
 
 
 
 
 
 
 
 
 
 
 
ХА
 
 
 
 
 
 
 
QF2

 

 


2. Визначаємо активну потужність, споживану електродвигуном:

;

3. Визначаємо реактивну потужність, споживану електродвигуном:

;

4. Визначаємо активну потужність, споживану освітлювальними лампами:

,

де n – кількість освітлювальних ламп у фазі навантаження;

5. Визначаємо сумарну активну потужність, споживану електродвигуном і лампами:

;

6. Визначаємо повну потужність, споживану електродвигуном і лампами:

;

7. Визначаємо коефіцієнт потужності всього навантаження:

;

8. Вибираємо потужність трансформатора:

умова вибору наступна: .

Вибираємо силовий трансформатор марки

з наступними характеристиками:

повна номінальна потужність –

номінальна напруга на первинній стороні –

номінальна напруга на вторинній стороні –

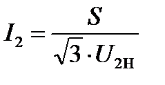
9. Визначаємо лінійний (фазний) струм трансформатора на вторинній стороні:

;


Поделиться с друзьями:

mylektsii.su - Мои Лекции - 2015-2026 год. (1.591 сек.)Все материалы представленные на сайте исключительно с целью ознакомления читателями и не преследуют коммерческих целей или нарушение авторских прав Пожаловаться на материал