Главная страница
Случайная страница
КАТЕГОРИИ:
АвтомобилиАстрономияБиологияГеографияДом и садДругие языкиДругоеИнформатикаИсторияКультураЛитератураЛогикаМатематикаМедицинаМеталлургияМеханикаОбразованиеОхрана трудаПедагогикаПолитикаПравоПсихологияРелигияРиторикаСоциологияСпортСтроительствоТехнологияТуризмФизикаФилософияФинансыХимияЧерчениеЭкологияЭкономикаЭлектроника
|
Однофазний трансформатор
Побудова та принцип дії
Фізичні явища та процеси в елементах конструкції
Завданняінформаційно-репродуктивного характеру
Таблиця 8.1
| Номер
запитання, завдання
| Запитання, завдання
| Номер
вірної відповіді
| | 1.
| Для чого призначений трансформатор?
|
| | 2.
| На якому явищі заснована робота трансформатора?
|
| | 3.
| Складіть конструктивну схему трансформатора.
|
| | 4.
| Опишіть конструктивну схему трансформатора.
|
| | 5.
| Опишіть принцип дії трансформатора.
|
| | 6.
| Що таке коефіцієнт трансформації трансформатора?
|
| | 7.
| Запишіть визначальну формулу коефіцієнта трансформації трансформатора.
|
| | 8.
| Як визначити коефіцієнт трансформації трансформатора дослідним шляхом?
|
| | 9.
| Який трансформатор називають понижуючим?
|
| | 10.
| Який трансформатор називають підвищуючим?
|
| | 11.
| Перелічте режими роботи трансформатора.
|
| | 12.
| Перелічте фізичні явища, які спостерігаються в первинній обмотці трансформатора.
|
| | 13.
| Перелічте фізичні явища, які спостерігаються у вторинній обмотці трансформатора.
|
| | 14.
| Перелічте фізичні явища, які спостерігаються в магнітопроводі трансформатора.
|
| У разі вірного виконання завдань Σ непарних – Σ парних =7.
Таблиця 8.1 а
| Номер
відповіді
| Відповіді
| | 1.
| Холостого ходу, навантаження (недовантаження, номінального навантаження, перевантаження), короткого замикання.
| | 2.
| Електричного струму, електромагнетизму, електромагнітної індукції (самоіндукції), теплової дії струму.
| | 3.
| У якогонапруга затискачах первинної обмотки більше, ніж напруга на затискачах вторинної обмотки (w 1< w 2 і k т< 1).
| | 4.
| Електромагнітної індукції (взаємної індукції), електричного струму, електромагнетизму, теплової дії струму.
| | 5.
| У якогонапруга на затискачах первинної обмотки більше, ніж напруга на затискачах вторинної обмотки (w 1> w 2 і k т> 1).
| | 6.
| Електромагнітної індукції, вихрових струмів, електромагнітної сили від дії вихрових струмів, теплової дії вихрових струмів, гістерезису, теплової дії гістерезису.
| | 7.
| Складається з магнітопроводу, виконаного з електротехнічної сталі, і двох обмоток з міді, які розташовуються на магнітопроводі (ізольовані від магнітопроводу та одна від іншої).
| | 8.
| Для перетворення електроенергії змінного електричного струму однієї напруги в електроенергію змінного струму іншої напруги при збереженні частоти струму.
| | 9.
| Електромагнітної індукції.
| | 10.
| За показаннями вольтметрів, включених на затискачі обмоток трансформатора в режимі холостого хода.
| | 11.
| .
| | 12.
| Відношення електрорушійних сил, що наводяться в обмотках, або відношення кількості витків цих обмоток.
| | 13.
|
| | 14.
| До первинної обмотки підводять змінну напругу, у результаті чого в обмотці протікає змінний струм, який створює змінний магнітний потік, що замикається по магнітопроводу, пронизує витки обмотокі наводить у нихзмінні е.р.с.
| Завданняпрактично-стереотипного характеру
Таблиця 8.2
| Номер
запитання, завдання
| Запитання, завдання
| Номер
вірної відповіді
| | Однофазний трансформатор має 2200 витків у первинній обмотці. Ця обмотка призначена для роботи з напругою 220 В. Необхідно, щоб напруга на затискачах вторинної обмотки була 22 В.
| | 1.
| Визначтекоефіцієнт трансформації трансформатора.
|
| | 2.
| Визначтекількість витків вторинної обмотки.
|
| У разі вірного виконання завдань Σ непарних – Σ парних = 1.
Таблиця 8.2 а
| Номер
відповіді
| Відповіді
| | 1.
| 220.
| | 2.
| 10.
| Енергетична діаграма
Технічні параметри
Завданняінформаційно-репродуктивного характеру
Таблиця 8.3
| Номер
запитання, завдання
| Запитання, завдання
| Номер
вірної відповіді
| | 1.
| Складіть енергетичну діаграму трансформатора.
|
| | 2.
| Запишіть вираз для визначеннявтрат потужності в обмотках трансформатора.
|
| | 3.
| Запишіть вираз для визначеннясумарних втрат потужності в трансформаторі.
|
| | 4.
| Як впливають втрати потужності в елементах конструкції трансформатора на його роботу?
|
| | 5.
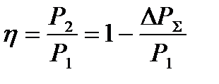
| Запишіть формулу для визначення коефіцієнта корисної дії трансформатора.
|
| | 6.
| Запишіть формулу для визначення коефіцієнта потужності трансформатора в режимі навантаження.
|
| | 7.
| Перелічте номінальні параметри трансформатора.
|
| У разі вірного виконання завдань Σ непарних – Σ парних = –2.
Таблиця 8.3 а
| Номер
відповіді
| Відповіді
| | 1.
| Повна потужність, частота живильної мережі, діючі значення напруг обмоток, діючі значення струмів в обмотках.
| | 2.
| .
| | 3.
|
| | 4.
| При їх збільшенні знижуються коефіцієнт потужності та коефіцієнт корисної дії, збільшується нагрів трансформатора, зростає спадання напруги у вторинній обмотці, знижується напруга на затискачах вторинної обмотки.
| | 5.
| D P ЕЛ = R 1∙ I 12 + R ’2∙ I ’22.
| | 6.
| .
| | 7.
|
|
Завданняпрактично-стереотипного характеру
Таблиця 8.4
| Номер
запитання, завдання
| Запитання, завдання
| Номер
вірної відповіді
| | Однофазний трансформатор включений у мережу на напругу 220 В. Первинна обмотка трансформатора має 880 витків, вторинна – 40 витків. До трансформатора підключені лампи розжарювання, які споживають струм силою 9 А. Трансформатор при цьому споживає з мережі реактивну потужність, яка дорівнює 100 ВАр, і має к.к.д. 90 %.
| | 1.
| Визначтекоефіцієнт трансформації трансформатора з точністю до одиниць.
|
| | 2.
| Визначтенапругу на затискачах вторинної обмотки трансформатора у вольтах з точністю до одиниць.
|
| | 3.
| Визначтеактивну потужність, яку споживає навантаження, у ватах з точністю до одиниць.
|
| | 4.
| Визначтеактивну потужність, яку споживає трансформатор, у ватах з точністю до одиниць.
|
| | 5.
| Визначтеповну потужність, яку споживає трансформатор, у вольт-амперах з точністю до десятих.
|
| | 6.
| Визначтесилу струму, що споживає трансформатор з мережі, в амперах з точністю до десятих.
|
| У разі вірного виконання завдань Σ непарних – Σ парних =1.
Таблиця 8.4 а
| Номер
відповіді
| Відповіді
| | 1.
| 10.
| | 2.
| 90.
| | 3.
| 1, 6.
| | 4.
| 141, 4.
| | 5.
| 22.
| | 6.
| 100.
|
|