Студопедия

Главная страница Случайная страница

КАТЕГОРИИ:

АвтомобилиАстрономияБиологияГеографияДом и садДругие языкиДругоеИнформатикаИсторияКультураЛитератураЛогикаМатематикаМедицинаМеталлургияМеханикаОбразованиеОхрана трудаПедагогикаПолитикаПравоПсихологияРелигияРиторикаСоциологияСпортСтроительствоТехнологияТуризмФизикаФилософияФинансыХимияЧерчениеЭкологияЭкономикаЭлектроника






до тематичного комплексного кваліфікаційного завдання. Таблиця 3.14 Варіанти Вихідні дані I , A U, B P, Bm ψu 30о






Таблиця 3.14

Варіанти Вихідні дані
I, A U, B P, Bm ψ u
        30о
        30о
        0о
        0о
        –30о
        –30о
        45о
        45о
        0о
        0о
        –45о
        –45о
        30о
        30о
        –30о

Рішення варіанту№

Вихідні дані
I, A U, B P, Bm ψ u
       

1.

*U
Складаємо принципову електричну схему описаного електричного кола. Окремі елементи кола виділити жирними лініями, а їхні з'єднуючі проводи – тонкими лініями.

 
PW
PA
PV
~
 
 
 
 
К
U
*I
I
 
 
 
A
N
 

 


Рисунок 3.3-Принципова електрична схема кола:

A, N – затиски джерела змінного синусоїдного струму;

К – котушка;

SА – вимикач;

РА – амперметр;

РV – вольтметр;

РW – ваттметр.

 

2. Складаємо розрахункову схему електричного кола при включеному вимикачеві S, прийнявши наступні допущення:

– опорами проводів, що з'єднують елементи кола, зневажити;

– опорами амперметра та струмовою обмоткою ватметра зневажити;

L
r
u L
u r
i
u
опори вольтметра та обмотки напруги ватметра вважати такими, що дорівнюють нескінченності.

 

 

3. Виконуємо розрахунок електричного кола, розглянутого в пункті 2:

– записуємо діюче значення напруги на затискачах електричного кола:

U =

– визначаємо амплітудне значення напруги на затисках електричного кола:

;

– записуємо миттєву напругу на затисках кола, прийнявши, що її початкова фаза дорівнює ψ u:

;

– записуємо діюче значення сили електричного струму в котушці:

I =

– записуємо активну потужність, яку споживає котушка з електричної мережі:

P =

– визначаємо повну потужність, яку споживає котушка з електричної мережі:

S = U × I; S =

– визначаємо реактивну потужність, яку споживає котушка з електричної мережі:

 

Þ ;

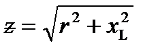
– визначаємо повний опір котушки:

Þ ;

– визначаємо активний опір котушки:

Þ ;

– визначаємо реактивний опір котушки:

Þ ;

– визначаємо індуктивність котушки:

Þ ;

– визначаємо кут зсуву фаз в електричному колі:

;

– визначаємо амплітудне значення синусоїдного електричного струму в котушці:

;

– визначаємо початкову фазу синусоїдного електричного струму в котушці:

y i = y uj; y i =

– записуємо миттєвий синусоїдний електричний струм у котушці:

;

– визначаємо діюче значення напруги на активному опорі:

 

;

– визначаємо амплітудне значення напруги на активному опорі:

;

– визначаємо початкову фазу напруги на активному опорі:

y ur= y i; y ur=

– записуємо миттєву напругу на активному опорі:

;

– визначаємо діюче значення напруги на реактивному опорі:

;

– визначаємо амплітудне значення напруги на реактивному опорі:

;

– визначаємо початкову фазу напруги на реактивному опорі:

y ul= y i + 90°; y ul=

– записуємо миттєву напругу на реактивному опорі:

;

 

– визначаємо коефіцієнт потужності даного електричного кола:

;

 

m u= В / мм
m i= А / мм
будуємо в масштабі векторну діаграму напруг і струму (для діючих значень):

 


Поделиться с друзьями:

mylektsii.su - Мои Лекции - 2015-2026 год. (1.153 сек.)Все материалы представленные на сайте исключительно с целью ознакомления читателями и не преследуют коммерческих целей или нарушение авторских прав Пожаловаться на материал